Часть 3
6. Третичная структура нуклеиновых кислот
Молекулы ДНК в клетках живых организмов могут достигать нескольких сантиметров (при средней толщине до 10 нм). Они образуют плотную третичную структуру, толщина и длина которой не превышает нескольких нанометров. Это достигается путем суперспирализации, при которой двухцепочечные ДНК закручены в правую или левую суперспираль.
Третичная структура тРНК представляет собой глобулу, вытянутую в форме буквы «Г».
7. Четвертичная структура нуклеиновых кислот
Четвертичная структура известная лишь для РНК. Она представляет собой блок из двух одинаковых субъединиц, связь между которыми поддерживается комплементарными взаимодействиями их азотистых соединений.
8. Локализация нуклеиновых кислот в клетке
Локализация ДНК и РНК в клетке различна. ДНК локализована в ядре клетки, РНК – в ядре и цитоплазме. Только тРНК находится преимущественно к цитоплазме в растворенном виде. Как правило, нуклеиновые кислоты (ДНК и РНК) в живой клетке находятся в форме нуклеопротеинов. Основные структуры, содержащие нуклеопротеины, - это хроматин, где локализована ДНК, и рибосомы, где локализована РНК.
Рекомендуемые материалы
В клетке встречаются также полирибосомы – образования, состоящие из вытянутой молекулы мРНК, окруженной глобулярными белками, на которую нанизаны рибосомы.
9. Нуклеотиды, не входящие в состав нуклеиновых кислот
К нуклеотидам, не входящим в состав ДНК и РНК, относятся нуклеотиды, встречающиеся в клетке или в свободном виде в качестве продуктов гидролиза или синтеза нуклеиновых кислот, или в виде компонентов многих важных соединений коферментной природы (моно- и динуклеотиды, содержащие один, два или три остатка фосфорной кислоты).
Одним из важнейших соединений нуклеотидной природы является аденозинтрифосфат (АТР) (рис. 4).

Рис. 4. Строение молекул АТР (аденозин-5'-трифосфата), АDР (аденозин-5'-дифосфата), АМР (аденозин-5'-монофосфата) и их компонентов
АТР состоит из азотистого пуринового основания – аденина, D-рибозы и трех остатков фосфорной кислоты. Вторая и третья молекулы фосфорной кислоты присоединяются друг к другу макроэргической связью, которая при гидролизе освобождает большое количество химической энергии (от 40 до 60 кДж/моль) в зависимости от локализации реакции в клетке. Таким образом, в АТР имеются две макроэргические связи. АТР выступает в роли переносчика химической энергии, связывающей клеточные процессы, сопровождающиеся выделением энергии, с теми реакциями, которые протекают с потреблением энергии. Обратный процесс – синтез АТР из АDР и неорганического фосфора – сопровождается потреблением энергии:

АDР + Р АТР
Подобная реакция называется реакцией фосфорилирования. Различают:
9.1 Фотосинтетическое фосфорилирование (в этом процессе АТР синтезируется за счет солнечной энергии, которая используется при фотосинтезе).
9.2 Гликолитическое фосфорилирование, когда синтез АТР происходит вследствие выделения энергии при окислении органических веществ без доступа кислорода воздуха (анаэробная фаза дыхания, или процесс гликолиза).
9.3 Окислительное фосфорилирование, происходящее при окислении органических веществ при потреблении кислорода воздуха (аэробная фаза дыхания, или цикл трикарбоновых кислот, цикл лимонной кислоты, или цикл Кребса).
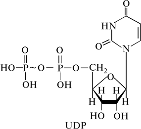
Другим соединением, у которого макроэргическая связь образуется между кислородом и фосфором, является UDP – уридиндифосфат. В состав UDP входит азотистое основание – урацил, D-рибоза и два остатка фосфорной кислоты, соединенные друг с другом макроэргической связью (рис. 5).

Рис. 5. Строение молекулы UDР (уридин-5¢-трифосфата)
UDP является коферментом гликозилтрансфераз, способных переносить глюкозу на какой-либо акцептор. Перенос глюкозы посредством UDP называется трансгликозилированием. UDP играет большую роль в превращении углеводов, в частности в синтезе сахарозы и крахмала.
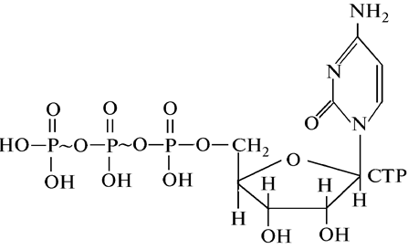
Аналогичную роль переносчика молекул выполняет СТР – цитиндинтрифосфат (цитидинтрифосфорная кислота), участвующий в синтезе фосфолипидов – переносе остатков холина, этаноламина, серина и др. на фосфатидную кислоту (рис. 6).

Если Вам понравилась эта лекция, то понравится и эта - 61. Государственный пожарный надзор.
Рис. 6. Строение молекулы СТР (цитидин-5¢-трифосфата)
Сложный нуклеозиддифосфат, называемый коферментом А (СоА), является переносчиком ацилов жирных кислот, которые в процессе синтеза связываются с концевой –SН-группой СоА макроэргической связью:

В обменных реакциях активироваться коферментом может не только уксусная кислота, но и другие органические кислоты. С образованием активированных остатков органических кислот протекают процессы аэробной фазы дыхания и распада жирных кислот и т.д.

Рис. 7. Строение молекулы кофермента А





















