Элементы гидродинамики
2. Элементы гидродинамики.
Кровь – несжимаемая жидкость. Во всяком случае, в диапазоне условий, в котором она функционирует, это бесспорно. Несжимаемость жидкости означает, что объем любой ее порции остается неизменным (DV = Const) в условиях повышения или понижения давления, но жидкость свободно принимает форму сосуда, трубы, в которых она находится.
2.1. Уравнение неразрывности.
Следствием несжимаемости жидкости является ее хорошо известное свойство: чем уже русло, тем больше скорость течения. Это свойство описывается следующим уравнением:
S1 V1 = S2 V2 , или SV = Const (1)
Здесь S – площадь поперечного сечения потока, V - средняя скорость жидкости в этом сечении.
Уравнение (1) называется уравнением неразрывности. В порядке его обоснования и иллюстрации рассмотрим схему потока жидкости на рис.1, в его сечениях 1 и 2.
![]() |
Рис.1
Рекомендуемые материалы
За интервал времени Dt = 1с частицы жидкости, оказавшиеся в его начале, на заштрихованном сечении S1, сместятся вправо на расстояние, равное скорости V1. Объем цилиндрика S1 V1 – это объем жидкости, прошедшей через сечение S1 за Dt = 1с. Точно такой же объем, но представленный сомножителями S2 V2, пройдет и через сечение 2, поскольку:
а) жидкость несжимаема,
б) поток не разветвлялся.
Величина Q = SV имеет размерность
, имеет смысл количества жидкости, протекающей через поперечное сечение потока в единицу времени. В гемодинамике для системы кровообращения в целом, эта величина называется общим объемом кровотока. Для взрослого человека в спокойном его состоянии 
С помощью уравнения неразрывности увяжем значения скорости кровотока в аорте и в капиллярах. В спокойном состоянии человека скорость кровотока в аорте – порядка V1 = 0,4 м/с. Измерения под микроскопом показывают, что скорость в капиллярах – V2 = 0,5 мм/с = 5×10-4 м/с. Эти значения отличаются друг от друга в 800 раз. Следовательно, если площадь сечения аорты S1 = 4 см2, то общая площадь поперечных сечений системы капилляров большого или малого круга кровообращения составляет S2 = 3200 см2 = 3,2×103 см2.
Получив эти данные, оценим степень ветвления общего потока крови в системе капилляров. Диаметр капилляра d = 10 мкм = 0,01 мм = 10-3 см; следовательно, площадь его сечения S = pd2/4 = 0,78×10-6 см2. Стало быть, кровь из аорты разветвляется в системе капилляров на
штук. Такая фантастическая степень ветвления достигается поэтапно, в системе «артерии – артериолы – капилляры».
Можно прикинуть суммарную протяженность этих параллельно работающих капилляров. Принимая среднее значение их длины l = 0,7 мм, получаем суммарную протяженность капилляров:
L = Nl = 4,1×109×0,7 = 2,9×109 мм = 2,9×106 м = 2900 км.
Этот результат следует удвоить: в системе кровообращения – две последовательные системы капилляров. Получаем, что общая протяженность всех капилляров нашего организма – порядка 5800 км.
Мы рассмотрели предельно упрощенную расчетную схему, давшую впечатляющий, но – заниженный результат. Истинная общая протяженность всех капилляров нашего организма – порядка 100000 км, что достаточно, чтобы опоясать Землю 2,5 раза!
2.2. Уравнение Бернулли.
Уравнение Бернулли, знакомое Вам по средней школе, справедливо для стационарных потоков жидкости, в которой отсутствуют силы вязкого трения.
Стационарным называется режим течения, в котором значения скоростей жидкости во всех точках потока установились на неизменном уровне, т.е. постоянны во времени. Применительно к системе кровообращения, стационарным является течение крови в функционально основной части этой системы – во всей совокупности капиллярных сосудов. В них скорость V » 0,5 мм/с = Const. Во всей остальной части кровеносной системы течение крови нестационарно.
Кроме того, вся энергия, вносимая в систему сердечными сокращениями, постепенно расходуется на преодоление трения, а в уравнении Бернулли потери энергии не учитываются. Тем не менее, уравнение Бернулли представляет определенный интерес, если применять его для близких сечений кровеносной системы и при этом подставлять в него усредненные по времени величины.
Уравнение Бернулли соответствует закону сохранения механической энергии при движении жидкости или газа и верно в той степени, в которой потери на трение малы. Оно имеет следующий вид:
p + rgh + rV2/2 = p0 = Const (2)
Здесь p0 – величина, называемая полным давлением. В левой части равенства – слагаемые этого полного давления, сумма которых в идеальном случае одинакова во всех сечениях потока. Величина p – это давление, которое поток оказывает на стенки; его называют статическим давлением. Слагаемое rV2/2 называется динамическим давлением; оно на стенки не передается, и может быть обнаружено и измерено только если трубку для измерения этого давления поместить в поток и непременно так, чтобы эта трубка была направлена и открыта навстречу потоку. Слагаемое rgh соответствует тому вкладу в общее давление p0, которое создается участками потока, приподнятыми на высоту h, если таковые имеются. r - плотность жидкости; V – ее скорость.
С помощью уравнения Бернулли проанализируем качественно ряд ситуаций в системе кровообращения.
l Рассмотрим статическое давление в последовательной гидравлической линии, участки которой находятся на различной высоте. На схеме рис.2 – это сечения 1, 2 и 3.
Положим для простоты, что скорость жидкость V во всех сечениях одинакова. Уравнение Бернулли для сечений 1 и 2 запишется:
p1 + rV2/2 + 0 = p2 + rV2/2 + rgh2
Отсюда, после сокращения динамических давлений, получаем:
p2 = p1 - rgh2
Аналогично, для сечений 1 и 3:
p1 = p3 - rgh3,
Отсюда следует, что
p3 = p1 + rgh3
![]() |
Мы убедились, что статическое давление в приподнятых участках: p2 < p1, а в опущенных – наоборот, p3 > p1.
Рис. 3
Применительно к системе кровообращения, если p1 – давление, создаваемое сердцем, работающим на высоте h = 0, то все, что находится выше этого уровня, имеет пониженное давление (а это, в частности, мозг), а все, что ниже (ноги, например) – давление выше, чем то, которое создает работающее сердце. Для мозга слагаемое rgh имеет величину порядка –30 мм рт. столба, а для ног – порядка +110 мм рт. столба. Система кровообращения имеет механизмы регулирования, вносящие поправки на снабжение кровью органов, находящихся в неравных условиях; об этом – в разделе 3. И все же:
А.) Наиболее полноценным является ночной сон в лежачем положении, а не в автобусных и самолетных креслах.
Б.) Знакомое многим ощущение тяжести в ногах после длительной ходьбы (отекание ног) снимается отдыхом в лежачем или полулежащем положении. В американской неприличной традиции – это ноги на столе.
l Слагаемое rgh полного давления крови становится особо актуальным в условиях экстремальных перегрузок, действующих на тело летчиков, космонавтов, автогонщиков. В условиях больших перегрузок система саморегулирования кровообращения оказывается далеко за пределами диапазона отклонений, на который она природно рассчитана. Техническое решение этой проблемы: располагать тело человека так, чтобы вектор ускорения при перегрузках, заменяющий в этих условиях вектор ускорения свободного падения
, оказался сориентированным в направлении «грудь – спина», а никак не «голова – ноги». Направление «спина – грудь» неприемлемо: возникают большие проблемы с дыханием.
l Обсудим специфику действия динамического давления rV2/2 в условиях организма. В целом, скорость движения крови в системе кровообращения невелика, и в спокойном состоянии динамическое давление составляет порядка 1% от полного. Однако при больших нагрузках скорость кровотока существенно возрастает, растет и доля динамического давления, достигая 30% и более.
Динамическая компонента давления энергетически не выгодна: какой смысл разгонять массы крови до больших скоростей, если все равно она должна будет затормозиться до скоростей движения в капиллярах? Рост скорости кровотока – это рост потерь на преодоление гидравлического сопротивления, а следовательно – рост нагрузки на сердце.
Непроизводительные расходы энергии оправданы в тех случаях, когда процессы обмена веществ должны быть интенсифицированы любой ценой, т.е. в экстремальных ситуациях.
l А теперь обсудим роль динамического давления при измерении артериального давления по методу Короткова. Воспользуемся схемой рис.1. Пусть 1 – сечение артерии перед манжетой, а сечение 2 – под манжетой.
В сечении 1 V1 » 0; а давление P1 – это максимальное давление крови в заторможенном потоке, которое мы хотим измерить как систолические.
Но в сечении 2 кровь, в момент засечки систолического давления прорывается через малый просвет артерии; V2 ¹ 0, и появление сопутствующих этому шумов – сигнал к тому, чтобы засечь давление P2; оно в манжете такое же, как в сосуде.
Но из уравнения Бернулли следует:
p1 + 0 = p2 + rV2/2
и следовательно, между давлением P1, которое мы хотели бы измерить, и давлением P2, которое мы фактически измеряем, есть некоторая разность:
p1 – p2 = rV2/2
Колебания стрелки манометра в такт с турбулентными шумами, которые прослушиваются на локтевом сгибе при «засечке» систолического давления, происходят в моменты появления и исчезновения разности (P1 – P2) в последней формуле. При этом максимальное давление крови в систоле – это тот максимум, который показывает колеблющаяся стрелка манометра.
Любопытная деталь: скорость кровотока, при которой он становится турбулентным (шумным), прорываясь в просвет артерии – порядка V2 = 4 м/с; и тогда при плотности крови r » 1г/см3 = 103 кг/м3 динамическое давление r2V2 = 8×105 Па, что в пересчете на ртутный столб составляет 60 мм. Между тем размах колебаний стрелки манометра при фиксации систолического давления гораздо меньше. Так проявляется нестационарность потока крови, и в первую очередь нестационарность самих сосудов. Мы соприкоснулись с тем фактом, что требования стационарности потока действительно являются серьезными при строго количественном применении уравнения Бернулли.
l Уже упоминавшаяся в разделе 1 ситуация на входе в правое предсердие может быть прокомментирована с позиций уравнения Бернулли. Подчеркнем еще раз, что все измерения давления крови в кровеносной системе – это измерения давления, избыточного над атмосферным давлением. На входе в правое предсердие этот избыток становится равным нулю. Но кровь течет, а значит динамическое давление rV2/2 ¹ 0. Полное давление как сумма статического и динамического давлений:
рполн = рст + rV2/2 = 0
Отсюда следует, что статическое давление вынуждено принимать отрицательные значения:
рст = -rV2/2
Это означает, что давление в таких венах – несколько ниже атмосферного, и при их повреждении возможна эмболия – попадание воздуха в полости сердца. На реальном сердце такое статическое давление, которое правильнее называть разрежением, составляет величину порядка рст = -3 мм рт. столба.
l В уравнении Бернулли (2) полному давлению р0 соответствует тот результат, который достигается в ходе сокращений желудочков сердца. При этом левый и правый желудочки, работая синхронно, функционально разнесены на обслуживание двух последовательных участков единой замкнутой сети. Техническим аналогом той ситуации является любой нефте- или газопровод, вдоль линии которого функционируют подкачивающие насосные станции.
Однако полное давление р0, создаваемое этой системой из двух сердец, вместо того, чтобы оставаться постоянным, как это было бы в идеальном случае, постепенно снижается, и на подходах к правому предсердию, как уже отмечалось, имеем: р + rV2/2 + rgh = 0
Вся энергия, внесенная в систему за счет мышечных сокращений сердца, оказывается полностью израсходованной на преодоление сил трения, действию которых соответствует некоторый тепловой эффект, чрезвычайно слабый, учитывая, что мощность сердца – порядка 1,2 Вт.
Вся система кровообращения жизнеспособна, если сердце сокращается снова и снова.
Работа сердца за один цикл срабатывания:
DА = p×DV,
где DV ударный объем крови; p – максимальное давление, создаваемое на выходе левого желудочка в ходе его сокращения.
2.3. Вязкость жидкостей.
Свойство жидкостей, которое мы называем вязкостью, проявляется в том, что всякое движение, возбуждаемое в жидкости, вскоре прекращается. Вязким является мед, особенно загустевший.
Вязкость жидкости можно обнаружить и изучать количественно, рассматривая взаимодействие слоев жидкости, имеющих различную скорость.
Экспериментально установлено, что сила трения, возникающая между слоями 1 и 2:
(4)
здесь
- отношение, называемое градиентом скорости в направлении, перпендикулярном потоку жидкости. S – площадь соприкосновения слоев; на схеме не показана. h – коэффициент пропорциональности, зависящий от свойств жидкости, и называемый динамическим коэффициентом вязкости.
![]() |
Примечания:
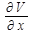
1. Конечным разностям DV и DZ и их отношению DV/DZ в более точном описании взаимодействия слоев следует предпочесть их аналог dV/dZ, имеющий математический смысл производной.
2. Производная
характеризует непостоянство скорости в направлении оси Z, перпендикулярной потоку. Кроме того, скорость непостоянна и в направлении оси потока X; с мерой непостоянства
. Такие производные по различным направлениям в математике называются частными производными, и обозначаются
;
.
Уравнение (4) можно сформулировать так: сила вязкого трения пропорциональна градиенту скорости в направлении, перпендикулярном потоку, и площади соприкосновения слоев, с коэффициентом пропорциональности – коэффициентом вязкости жидкости.
Взаимодействие между слоями осуществляется возникающими парами сил. Любая из них соответствует уравнению (4). Эта пара сил действует так, чтобы способствовать выравниванию скоростей в слоях.
Если в формуле (4) все величины будут иметь размерность основных единиц системы СИ, то единица вязкости h будет иметь размерность 1 Па×с. У различных жидкостей коэффициент вязкости весьма различен. Приведем примеры для знакомых жидкостей, взятых при Т = 20°С.
Вода – 1,002 мПа×с
Ацетон – 0,322 мПа×с
Глицерин – 1480 мПа×с
По особенностям коэффициента вязкости жидкости делятся на две категории:
А.) Ньютоновские
Б.) Неньютоновские
У ньютоновских жидкостей коэффициент вязкости зависит только от их температуры.
У неньютоновских – коэффициент вязкости зависит не только от температуры, но и от условий протекания: градиента скорости, размеров потока, давления в нем.
Ньютоновские жидкости имеют простые молекулы, или это молекулы низкомолекулярных органических соединений.
К неньютоновским относятся жидкости с протяженными молекулами высокополимеров, суспензии, эмульсии.
Кровь – неньютоновская жидкость, представляющая собой суспензию форменных элементов в белковом «растворителе» – плазме. Форменные элементы – эритроциты, лейкоциты, тромбоциты – составляют сообща 40-50% объема крови. Поэтому если вязкость плазмы – порядка 1,7 - 2,2 мПа×с, то вязкость крови в норме – 4 - 5 мПа×с. При движении крови в спокойном (ламинарном) потоке эритроциты выстраиваются своей длинной осью вдоль потока.
В неспокойном потоке такой строй эритроцитов нарушается, меняется и коэффициент вязкости.
Значения коэффициента вязкости крови в норме и при патологии могут отличаться в несколько раз. Если в номе это 4 - 5 мПа×с, то при отклонениях от нормы – это диапазон от 1,5 до 24 мПа×с. Следовательно, коэффициент вязкости может быть важным диагностическим показателем ее состояния..
Величина, обратная коэффициенту динамической вязкости, называется текучестью жидкости.
2.4. Режимы течения жидкостей.
Если в соседних слоях жидкости значения скорости близки дуг к другу, то такие слои сосуществуют очень мирно, течение в них – ламинарное.
Положение существенно меняется, если в направлении, перпендикулярном потоку, перепады (градиенты) скоростей в соседних слоях оказываются велики. В этом случае на границах слоев возникают временные образования – вихри жидкости, и в целом течение жидкости становится неспокойным, неустойчивым. Такой режим течения называется турбулентным. Он сопровождается возникновением колебаний давления в жидкости, что приводит к появлению шумовых эффектов.
Появление турбулентных вихрей в потоке крови – это появление дополнительного вида движения в ней, на которые необходимы дополнительные затраты энергии работающего сердца.
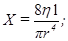
Что касается градиентов скорости, возникающих в потоке жидкости, то здесь, не вдаваясь в частности, положение таково: чем больше средняя скорость движения жидкости (в кровеносном сосуде, в водопроводной трубе), тем больше и градиенты скорости в потоке. Изучение связи этих показателей с характеристиками жидкости – ее вязкостью и плотностью, привело к созданию безразмерного критерия – числа Рейнольдса, которое можно назвать индикатором режима течения жидкости.
(5)
Здесь r - плотность жидкости; h - динамическая вязкость; V – средняя скорость; d – диаметр трубы или сосуда, по которому течет жидкость.
В очень медленных потоках течение ламинарное, чему соответствуют малые значения числа Re. Чем больше средняя скорость V, тем больше становится и значение числа Re, особенно в крупных потоках с большим диаметром d. При некотором сочетании параметров, входящих в формулу (5), число Рейнольдса принимает критическое значение Reкр, что соответствует тому факту, что спокойное ламинарное течение становится уже невозможным. Для различных жидкостей Reкр различно. Так, для воды Reкр = 2300. Для крови Reкр = 970 ± 80. В сосуде диаметром 2,5 мм значение Reкр достигается при скорости движения крови около 4 м/с.
Появление турбулентных вихрей, как уже отмечалось, приводит к нарушению «строя» эритроцитов, характерного для течения ламинарного. Эти нарушения «строя» отслеживаются и изменением величины электрического сопротивления крови: оно возрастает.
Отметим, что обратный переход жидкости от турбулентного течения к ламинарному происходит при Re < Reкр. Это означает, что ламинарный режим течения легче разрушить, чем потом восстановить.
Разрушителями ламинарного течения жидкости при значениях Re < Reкр могут оказаться резкие изломы, выступающие в поток элементы и прочие турбулизаторы, приводящие к срыву ламинарного течения. В кровеносных сосудах это могут быть склеротические бляшки на их стенках.
2.5. Формула Пуазейля.
В тонких длинных трубках с ламинарным режимом течения жидкости выполняется соотношение, полученное Пуазейлем и Стоксом и известное как формула Пуазейля:
(6)
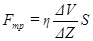
Здесь Q – объемный секундный расход жидкости; Dр – перепад давлений на трубке; l – длина трубки; r – ее радиус; h - коэффициент трения.
Формула фиксирует, прежде всего, причинно-следственную связь Q ~ Dр: есть перепад давлений Dр – есть и течение жидкости; чем больше Dр, тем больше Q.
Аналогично обстоят дела с током электрическим: I ~Dj (или I ~ U); И здесь – такая же простая логика: есть разность потенциалов Dj (она же – напряжение U) на концах проводника – есть электрический ток I; чем больше Dj, тем больше I. Эта связь силы тока и напряжения известна как закон Ома для участка цепи
, где R – электрическое сопротивление. По аналогии, величину, обратную дроби в формуле (6), называют гидравлическим сопротивлением:
(7)
Аналогия гидравлического тока с электрическим оказалась достаточно глубокой. Сопротивление последовательных и параллельных цепей электрических и гидравлических описывается одними и теми же формулами. Сложноразветвленные гидравлические цепи легко моделируются аналогичными по структуре электрическими цепями, а их создание и исследование – гораздо проще, быстрее и дешевле, чем цепей гидравлических.
Для закона Ома и формулы Пуазейля характерно, что оба эти результата, каждый в своей области, являются приближенными. Однако с поправками и оговорками они широко используются на практике.
![]() |
В формуле гидравлического сопротивления особо выделяется множитель r4: влияние радиуса сосуда на гидравлическое сопротивление сосуда чрезвычайно сильное. Во многом это объясняется тем, что в ламинарных потоках распределение скорости жидкости по поперечному сечению очень неравномерное; оно описывается параболической кривой (рис. 4А), и получается, что наибольшая по площади периферийная часть сечения, примыкающая к стенкам, используется для переноса жидкости довольно-таки неэффективно; основная часть величины Q переносится в ядре потока.
Рис. 4
При турбулентном течении распределение скоростей жидкости по поперечному сечению описывается логарифмической кривой, и является более близким к равномерному. В этом случае влияние радиуса сосуда на гидравлическое сопротивление будет описываться не множителем r4, а как-то по другому; например rx, где х < 4 и определяется опытным путем. Но и в турбулентном варианте влияние радиуса сосуда на его гидравлическое сопротивление весьма сильное.
2. Оздоровление воздушной среды - лекция, которая пользуется популярностью у тех, кто читал эту лекцию.
В связи с этим, как объяснение, так и лечение гипертонической болезни замыкаются на сосуды, их гипертонус: зажатость, уменьшение радиуса, а значит – уменьшение их пропускной способности (увеличение гидравлического сопротивления). В этих условиях для обеспечения необходимого общего объема кровотока сердце вынуждено компенсировать рост гидравлического сопротивления ростом артериального давления.
При гипотонии ситуация обратная: тонус артериол понижен.
Величина гидравлического сопротивления сосудов сильно зависит от состояния стенок сосудов и от их эластичности. Эти показатели никак не учтены в формуле гидравлического сопротивления (7), но их влияние в полной мере проявляется при нарушениях в сосудистой системе, характерных для атеросклероза. Кроме того, при этом недуге могут иметь место изменения состава крови, ведущие к росту ее вязкости, а это – снова фактор роста гидравлического сопротивления X всех сосудов и системы в целом.
Гидравлическое сопротивление не системы в целом, но его значительной части – большого круга кровообращения, принято называть общим периферическим сопротивлением сосудов (ОПСС) и оценивать по приблизительной формуле:
ОПСС =
Здесь Q – общий объем кровотока;
- среднее артериальное давление. Как показатель нормы, ОПСС = 144
, при Q=5
=80


























