Классификация управленческих решений
Классификация управленческих решений
Управление – целенаправленное воздействие на организованную систему, обеспечивающее сохранение ее определенных структур, поддержание режима и цели деятельности.
Управленческое решение – основной элемент воздействия управляющей системы на управляемую.
Разработка и принятие управленческого решения представляют собой вид человеческой деятельности.
Люди, участвующие в процессе разработки управленческого решения:
ЛПР-человек, осуществляющий выбор наилучшего варианта действий – лицо принимающее решение. Владелец проблемы - лицо по своему положению несущее ответственность за принятие управленческого решения, но не принимающее это решение, и ЛПР не всегда одно и тоже лицо. ЛПР может быть и руководителем активной группы – группы людей имеющих общие интересы и стремящимся оказать влияние на процесс выбора решения.
Эксперт- профессионал в той или иной области, к которому обращаются за оценками и рекомендациями.
Одно из основных допущений- человек делает рациональный выбор, т.е. решение человека являются результатом упорядоченного процесса мышления (в строго математической форме). Вводится ряд предположений о поведении человека-аксиомы рационального поведения. Если аксиомы справедливы, то поведение рационально, полезно. Полезность - величина, которую в процессе выбора максимизирует личность с рациональным экономическим мышлением.
Задачи принятия решений с рассмотрением полезностей и вероятностей событий были первыми, которые привлекли внимание исследователей. Постановка задач: человек выбирает какие-то действия в мире, где на получаемый результат действия влияют случайные события, неподвластные человеку, но, имея некоторые знания о вероятностях этих событий, человек может рассчитывать наиболее выгодную совокупность и очередность своих действий ( последовательность действий – деревья решения ). Следовать рациональному выбору – быть рациональным. Последовательность правильных решений, ведущих к максимально ожидаемой полезности.
Рекомендуемые материалы
Классификация управленческих решений:
1. по уровням управления – решения высшего уровня (федерального, муниципального, республиканского и др.);
2. по масштабу управления – отраслевые, макро- и микрорегиональные, внутрипроизводственные;
3. по сфере деятельности – экономические, социальные, технические и др.;
4. по функциональному содержанию – организационные, координирующие, контрольные и др.;
5. по объекту управления – производственные, коммерческие, социальные и др.;
6. по способу принятия решений – формализованные или неформализованные, разовые и др.;
7. по субъекту управления – законодательных, исполнительных органов, фондов, общественных организаций и др.;
8. по цели – стратегические, тактические, оперативные.
9. по продолжительности реализации – долгосрочные, срочные, плановые и др.;
10. по степени обязательности – жесткие, гибкие;
11. по степени самостоятельности – по собственной инициативе, исполнение решений вышестоящих организаций;
12. по организации разработки – коллективные, единоличные;
13. по форме – письменные, устные, графические и др.;
14. по сроку действия – на определенный срок, без ограничения срока, временные;
15. по возникновению ситуации – экстренные, текущие.
Структура процесса принятия решений
Процесс принятия решений управленческого решения – представляет собой преобразование входной информации, о состоянии управляемого объекта, в выходную результирующую информацию, на основе которой формируется решение.
Всю совокупность решений можно представить в виде последовательного решения регулярных и нерегулярных задач.
Регулярные задачи (стандартные) решаются в заданные моменты времени и с заданной периодичностью, по заранее установленным процедурам и алгоритмам.
Нерегулярные задачи (нестандартные) связаны с возникновением конкретных непредвиденных ситуаций в силу многообразия внешних и внутренних воздействий.
Процесс принятия управленческих решений
Процесс управления в любой организации заключается в том, что соответствующие работники выполняют определенную совокупность работ, обусловленную конкретными сферами производственно – хозяйственной деятельности данной организации.
Функция каждого конкретного работника определяется совокупностью работ, цель которых обеспечить в организации процесс управления, а именно:
1. планирование;
2. организация;
3. координация;
4. стимулирование;
5. контроль.
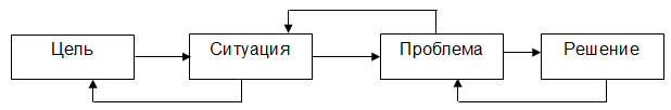
Процесс разработки управленческого решения представляет собой определенную последовательность этапов:
1. целеполагание;
2. оценка ситуации;
3. определение проблемы;
4. принятие решения.
Два этих процесса должны быть тесно взаимосвязаны, так как чем лучше осуществляется разработка решений тем более успешным будет управление.
Типы управленческих решений.
1 линейный

Данный тип характеризуется неизменной последовательностью этапов. Он используется когда есть четкая определенность целей, ситуации, проблемы и условия принятия решений.
Используется в типовых, повторяющихся ситуациях (бюрократический аппарат).
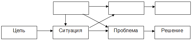
2 корректируемый

Характеризуется необходимостью корректировки предыдущих этапов каждого или некоторых (например, сформулирована определенная цель, но в результате оценки ситуации установлено, что достигнуть эту цель невозможно В этом случае придется скорректировать цель).
3 разветвленная

Этот тип используется в случае возникновения сложных комплексных проблем, требующих детальной проработки различных аспектов и принятия серии решений, взаимосвязанных между собой.
Пример. В организации поставлена цель – освоить выпуск нового продукта. Очевидно в этом случае необходимо знать:
· Тип продукции;
· Поставщиков сырья и материалов;
· Технологию;
· Оборудование;
· Финансовые источники;
· Квалифицированные кадры;
· Систему сбыта и т. д..
По каждому из этих направлений предстоит принять соответствующие решения
4 ситуационный
За основу управления принято понятие «ситуация» как основной объект описания, анализа и принятия решений. Следовательно, необходимы соответствующие средства - описания, классификации, обучения и трансформации ситуаций в соответствии с принимаемыми решениями.
Классификации ситуаций обосновывалась существованием, исходя из анализа структуры задач управления в больших системах, на каждом уровне управления множества ситуаций, число которых несоизмеримо велико по сравнению с множеством возможных решений по управлению. Задача принятия решений трактовалась как задача поиска такого разбиения множества ситуаций на классы.

Данный тип используется в том случае, когда цель существует априори, а принять решение необходимо исходя только из сложившейся ситуации.
Пример. Число жалоб на качество обслуживания со стороны клиентов организации увеличилось. Лица, принимающие решения сразу должны определить причину этого и принять соответствующее решение, ибо цель организации – обеспечить высокое качество обслуживания клиентов.
5 поисковый

Данный тип эффективен в том случае, когда цель абсолютно ясна, но в силу ряда причин точно оценить ситуацию и определить проблему не представляется возможным, Поэтому решение принимается в условиях неопределенности, а ситуация оценивается после принятия, иногда после реализации решения.
Пример. Производители самолета «Конкор» приняли решение о его выпуске не зная твердо о намерениях потенциальных покупателей этого типа лайнеров, ибо связывали свои решения с результатами испытаний и неизвестной реакции различных стран на пролет и использование этих типов самолетов.Таким образом, решение о производстве данного типа самолетов было принято лишь на основе цели – занять доминирующее положение на рынке без четкой оценки ситуации и определения проблемы.В результате самолет не был закуплен другими компаниями, а страна-производитель понесла финансовые убытки.
Типовой процесс разработки управленческих решений
1. Предварительная формулировка задач (целей) – процесс решения должен всегда начинаться с формулировки задачи. В процессе формулировки задачи необходимо установить:
· чем вызвана постановка задачи, к какому типу задач она может быть отнесена, срочность ее решения;
· какая ситуация связанная с решением поставленной задачи существует в организации;
· какие факторы влияют на существующую ситуацию и как данная ситуация влияет на всю организацию в целом;
· цели, которые должны быть достигнуты при решении задач.
2. Выбор критериев оценки эффективности решения – критерии оценки необходим:
· для объективного сопоставления различных вариантов решения и выбора наиболее оптимального из них;
· для определения степени достижения цели.
Существует качественная и количественная оценки критериев.
* качественная – влияние решения на авторитет руководителя; оценка решения со стороны подчиненных и вышестоящих руководителей.
3. Сбор информации и данных для уточнения поставленных задач.
Информация обладает двумя свойствами:
· отображает события, процессы, явления;
· может преобразовываться, обрабатываться, храниться, многократно использоваться.
Качественные характеристики информации:
· полнота;
· полезность;
· избыточность;
· достоверность;
· точность;
· ценность;
· возраст;
· старение
4. Точное формулирование задачи должно содержать:
· достаточно полную объективную характеристику создавшейся ситуации, в том числе основные факторы, влияющие на принятие решения; конкретные причины возникновения нежелательных тенденций или явлений; реально имеющиеся или привлекаемые средства для реализации решения; условия разработки решения; (* определенность, неопределенность, риск);
· роль и значение решаемой задачи для организации в целом и ее отдельной части;
· сроки разработки и принятие решения;
· цель решения;
· количественные и качественные критерии оценки эффективности решения.
5. Разработка возможных вариантов (альтернатив) решения задачи. Существует определенная градация решений по числу альтернатив.
При этом выделяют:
Рекомендуем посмотреть лекцию "13.1. Ламинарное движение жидкости в узких щелях".
· бинарное решение, когда существуют две альтернативы: «да» и «нет»;
· стандартное решение, когда рассматривается незначительный набор альтернатив;
· многоальтернативное решение – существует значительное, но конечное число альтернатив;
· непрерывное решение – выбор делается из бесконечного числа альтернатив, возникающих вследствие постоянного изменения среды.
6. Сравнение вариантов решения по критериям эффективности.
7. Принятие решения.





















