Экспертное оценивание важности объектов
Экспертное оценивание важности объектов.
Очень часто в процессе экспертизы суждение экспертов представляется в количественной форме (в виде чисел). Примерами могут служить оценка качества изделия в некоторой шкале (например, десятибальной), оценка уровня мастерства спортсменов на соревнованиях и т.п.. Важно, что в экспертизах с количественными оценками необходима определенная математическая обработка экспертных оценок, например, выставление среднего балла. Иногда в целях защиты от возможной некомпетентности или предвзятости экспертов используется более сложная обработка – например, отбрасывание наибольшей и наименьшей оценок и расчет среднего балла по оставшимся оценкам. В данном разделе мы рассмотрим некоторые вычислительные процедуры обработки экспертных оценок при определении важности некоторых объектов. В качестве объектов такого рода могут, например, рассматриваться показатели эффективности в многокритериальных задачах выбора решений.
А. Усреднение экспертных оценок
Пусть экспертам необходимо сравнить
объектов. Предположим, что существует набор чисел
, характеризующих истинные значения важности исследуемых объектов. При этом предполагается, что наиболее важному объекту соответствует наибольшее по величине число из набора
, а наименее важному – наименьшее. Естественно, числа
неизвестны экспертам и ЛПР. При оценке важности объектов абсолютные значения чисел не имеют значения и ранжирование объектов по важности определяются относительными величинами чисел совокупности
. В связи с этим, будем считать, что

Пусть важность объектов оценивают
экспертов. Обозначим через
оценку важности
- го объекта
, данную
- м экспертом
. Полученные оценки представим в виде матрицы
, (6.1)
в которой число строк соответствует числу объектов, а число столбцов – числу экспертов. Поскольку оценки важности одного и того же объекта, полученные от разных экспертов, могут не совпадать (числа в строках, вообще говоря, различны), то возникает задача определения показателей важности
, представляющих собой усредненное мнение всех
экспертов.
Рекомендуемые материалы
Определение значений
по матрице
можно осуществить, выбирая в качестве меры близости между
и элементами соответствующей строки среднеквадратическую
(6.2)
Величины
выбираются таким образом, чтобы среднее квадратическое отклонение
было минимальным. При этом необходимо обеспечить, чтобы
удовлетворяли условию нормировки
.
В результате усредненные показатели важности рассчитываются по формулам вида:
. (6.3)
Таким образом, относительные оценки важности объектов вычисляются как среднеарифметические оценок, выставленных всеми экспертами. Отметим, что полученный результат является простейшим и применяется в тех случаях, когда ЛПР уверено в одинаковой компетентности и объективности экспертов.
Если у ЛПР нет уверенности в равном уровне компетентности экспертов, то применяется более сложная процедура обработки экспертных оценок. Вводятся коэффициенты компетентности экспертов
, отвечающие условиям:
(6.4)
При этом формула (6.3) обобщается и принимает вид
. (6.5)
Представим последнее равенство в матричной форме. Для этого введем векторы-столбцы
,
где верхний символ
обозначает операцию транспонирования. В результате формула (6.5) примет следующий вид:
. (6.6)
Если компетентность экспертов известна, то расчет усредненных оценок важности следует производить по формулам (6.5) или (6.6). Очевидно, в случае одинаковой компетентности экспертов
формула (6.5) сводится к (6.3).
Более сложным (и реалистическим) является случай, когда коэффициенты компетентности неизвестны и подлежат определению. Обычно в этом случае используется рекуррентный метод расчета с использованием матрицы экспертных оценок
, который мы кратко опишем ниже.
Обозначим через
вектор коэффициентов компетентности на
- м шаге вычислений
. Примем, что на первом шаге
.
Для
- го шага оказываются справедливыми соотношения
(6.7)
, (6.8)
где
- нормирующий множитель, вычисляемый из условия
.
Подставляя (6.7) в (6.8) получим более удобное для использования соотношение
, (6.9)
где квадратная симметрическая матрица
называется матрицей взаимосвязи экспертных оценок и определяется равенством
(6.10)
Для иллюстрации работы вышеописанного алгоритма приведем простой пример.
Пример 1.
Пусть два объекта исследуется тремя экспертами (
), причем матрица экспертных оценок имеет вид:
Можно видеть, что первый и второй эксперты оценивают важность обоих объектов одинаково (при этом второй объект признается заметно более важным, чем первый (0,8 против 0,2)), тогда как третий эксперт придерживается противоположного мнения. Определим коэффициент компетентности каждого эксперта и вычислим (с учетом компетентности) оценки важности объектов. Для этого сначала по формуле (6.10) находим матрицу взаимосвязи экспертных оценок
и проводим итерационный расчет вплоть до достижения сходимости.
Проведем решение в Excel. Сначала создадим форму для решения примера в соответствии с Рис. 6.1.
| A | B | C | D | E | F | G | H | I | J | |
| 1 | Матрица A | Матрица AT | n = | 3 | ||||||
| 2 | 0,2 | 0,2 | 0,8 |
|
| |||||
| 3 | 0,8 | 0,8 | 0,2 |
|
| |||||
| 4 |
|
| ||||||||
| 5 | ||||||||||
| 6 | ||||||||||
| 7 | 0,2 | 0,8 | 0,2 | 0,2 | 0,8 | 0,68 | 0,68 | 0,32 | ||
| 8 | 0,2 | 0,8 | X | 0,8 | 0,8 | 0,2 | = | 0,68 | 0,68 | 0,32 |
| 9 | 0,8 | 0,2 | 0,32 | 0,32 | 0,68 | |||||
| 10 | ||||||||||
| 11 | Матрица B | |||||||||
| 12 | ||||||||||
| 13 | g(1) |
|
|
|
|
|
|
|
| |
| 14 |
|
|
|
|
|
|
|
|
| |
| 15 |
|
|
|
|
| X |
| = |
| |
| 16 |
|
|
|
|
|
|
|
|
| |
| 17 |
|
|
|
|
|
|
|
| ||
| 18 | g(2) |
| ||||||||
| 19 |
|
|
|
|
|
|
|
|
| |
| 20 |
|
|
|
|
| X |
| = |
| |
| 21 |
|
|
|
|
|
|
|
|
| |
| 22 |
|
|
|
|
|
|
|
| ||
| 23 | g(3) |
| ||||||||
| 24 |
|
|
|
|
|
|
|
|
| |
| 25 |
|
|
|
|
| X |
| = |
| |
| 26 |
|
|
|
|
|
|
|
|
| |
| 27 |
|
|
|
|
|
|
|
| ||
| 28 |
|
| ||||||||
| 29 | a(2) |
| 0,2 | 0,2 | 0,8 | X |
| = |
| |
| 30 |
|
| 0,8 | 0,8 | 0,2 |
|
|
|
| |
| 31 |
|
|
|
|
|
|
|
|
| |
| 32 |
|
|
|
|
|
|
|
|
| |
| 33 | a(3) |
| 0,2 | 0,2 | 0,8 | X |
| = |
| |
| 34 |
|
| 0,8 | 0,8 | 0,2 |
|
|
|
| |
| 35 |
|
|
|
|
|
|
|
|
| |
| 36 |
|
|
|
|
|
|
|
|
| |
| 37 | a(4) |
| 0,2 | 0,2 | 0,8 | X |
| = |
| |
| 38 |
|
| 0,8 | 0,8 | 0,2 |
|
|
|
| |
| 39 |
|
|
|
|
|
|
|
|
|
Рис. 6.1. Форма для решения примера 1.
В ячейках E2:F4 рассчитаем матрицу
, после чего скопируем полученные элементы матрицы в диапазон ячеек A7:B9. Произведение матриц
разместим в диапазоне H7:J9, после чего также скопируем элементы данной матрицы и разместим их в диапазоне C14:E16. В диапазон A14:A16 введем значения компетентности экспертов в первом приближении (во все ячейки введем формулу =1/$I$1). Далее введем в ячейки 14-39 строк следующие формулы:
| Ячейка | Формула |
| G14 | =A14 |
| G15 | =A15 |
| G16 | =A16 |
| I14 | =$C$14*G14+$D$14*G15+$E$14*G16 |
| I15 | =$C$15*G14+$D$15*G15+$E$15*G16 |
| I16 | =$C$16*G14+$D$16*G15+$E$16*G1 |
| I17 | =СУММ(I14:I16) |
| A19 | =I14/$I$17 |
| A20 | =I15/$I$17 |
| A21 | =I16/$I$17 |
| G19 | =A19 |
| G20 | =A20 |
| G21 | =A21 |
| I19 | =$C$14*G19+$D$14*G20+$E$14*G21 |
| I20 | =$C$15*G19+$D$15*G20+$E$15*G21 |
| I21 | =$C$16*G19+$D$16*G20+$E$16*G21 |
| I22 | =СУММ(I19:I21) |
| A24 | =I19/$I$22 |
| A25 | =I20/$I$22 |
| A26 | =I21/$I$22 |
| G24 | =A24 |
| G25 | =A25 |
| G26 | =A26 |
| I24 | =$C$14*G24+$D$14*G25+$E$14*G26 |
| I25 | =$C$15*G24+$D$15*G25+$E$15*G26 |
| I26 | =$C$16*G24+$D$16*G25+$E$16*G26 |
| I27 | =СУММ(I24:I26) |
| G29 | =A14 |
| G30 | =A15 |
| G31 | =A16 |
| I29 | =$C$29*G29+$D$29*G30+$E$29*G31 |
| I30 | =$C$30*G29+$D$30*G30+$E$30*G31 |
| G33 | =A19 |
| G34 | =A20 |
| G35 | =A21 |
| I33 | =$C$29*G33+$D$29*G34+$E$29*G35 |
| I34 | =$C$30*G33+$D$30*G34+$E$30*G35 |
| G37 | =A24 |
| G38 | =A25 |
| G39 | =A26 |
| I37 | =$C$29*G37+$D$29*G38+$E$29*G39 |
| I38 | =$C$30*G37+$D$30*G38+$E$30*G39 |
Очевидно, большинство указанных формул может быть получено простым копированием.
После проведения соответствующих расчетов, получим следующий результат (Рис. 6.2).
Следует отметить, что в данном случае наблюдается достаточно быстрая сходимость (3-4 итерации).
Таким образом, получаем значения коэффициентов компетентности экспертов, а также усредненные показатели важности объектов. Следует отметить, что, несмотря на простоту используемого алгоритма, задача решается с достаточно высокой точностью и не требует использования программирования.

Рис. 6.2. Результат рекурсивного расчета коэффициентов компетентности экспертов и усредненных оценок важности объектов для примера 1.
Дальнейшее вычисление практически не изменяет результат.
Б. Попарное сравнение объектов
Часто затруднительно напрямую оценить важность некоторого объекта среди ряда других. Подобная ситуация может иметь место при наличии объектов различной природы. Например, среди ранжируемых показателей эффективности могут быть показатели, имеющие определенное стоимостное выражение, а также показатели этического, эстетического рода и т.п. Указанное затруднение преодолевается посредством попарного сравнения объектов по степени их влияния на достижение цели. При этом эксперт должен вынести суждение о том, насколько с точки зрения достижения цели один объект важнее второго. Анализируя совокупность объектов, эксперт определяет численное предпочтение одного объекта перед другим по некоторой заранее выбранной шкале отсчета. Простым примером может служить выбор места работы выпускником ВУЗа. Выпускник должен оценить, насколько для него уровень оплаты труда, например, важнее, чем перспективы продвижения по служебной лестнице и т.д.
Пусть эксперт анализирует
объектов. Сравнивая их попарно между собой, он определяет
чисел
, каждое из которых характеризует, по мнению эксперта, относительную значимость
- го объекта по сравнению с
- м. Величина
представляет оценку (приближенное значение) истинной значимости
сравниваемых объектов. Совокупность экспертных оценок можно записать в виде квадратной матрицы

Элементы этой матрицы (относительные значимости объектов) можно рассматривать как отношения истинных важностей
(6.11)
При оценке относительных значимостей
используется обычно девятибальная шкала (см. табл. 6.1).
Таблица 6.1. Девятибалльная шкала относительной важности объектов.
| Степень важности | Определение | Пояснения |
| 1 | Объекты одинаково важны | Оба объекта вносят одинаковый вклад в достижение цели |
| 3 | Один объект немного важнее другого | Есть основания предпочесть один объект другому, но их нельзя считать неопровержимыми |
| 5 | Один объект существенно важнее другого (сильное превосходство) | Существуют веские свидетельства того, что один из объектов более важен |
| 7 | Один объект явно важнее другого | Имеются неопровержимые свидетельства превосходства одного объекта над другим |
| 9 | Один объект абсолютно важнее другого | Превосходство одного объекта над другим не вызывает сомнения |
| 2, 4, 6, 8 | Значения, приписываемые промежуточным суждениям | Используются, когда выбор между двумя соседними нечетными числами затруднителен |
Из формулы (6.11) следует, что из общего числа всех элементов матрицы попарного сравнения независимыми являются лишь
. Во-первых, диагональные элементы матрицы равны единице. Во-вторых, при изменении порядка сравнения оценка относительной значимости объекта должна меняться на обратную
. (6.12)
Это означает, что элементы матрицы попарного сравнения, расположенные симметрично относительно главной диагонали, представляют собой взаимно обратные числа.
Чрезвычайно важным является требование транзитивной согласованности элементов матрицы
, которое означает, что должны выполняться условия
. (6.13)
Данные условия могут быть доказаны с помощью определения (6.11).
Матрица попарного сравнения объектов, элементы которой удовлетворяют условиям (6.11) – (6.13), называется согласованной. Следует отметить, что при попарном сравнении объектов эксперту не всегда удается выполнить условие транзитивной согласованности. В принципе, допускается некоторая степень несогласованности матрицы попарных сравнений.
По матрице попарного сравнения
, составленной экспертом, легко могут быть оценены важности объектов
. Используя соотношение (6.11) легко показать, что в случае согласованной матрицы
справедливы соотношения:


………………

Приведем простой пример. Пусть матрица попарного сравнения имеет вид:

Легко убедиться в том, что данная матрица удовлетворяет условиям согласованности; расчет дает
.
Если матрица не является согласованной, то нахождение вектора оценок 
следует вычислять как нормированный собственный вектор матрицы
, соответствующий ее наибольшему собственному числу. Часто расчеты подобного рода проводятся рекуррентно. Пусть
- начальное приближение искомого вектора
. Итерационный процесс описывается уравнением:
(6.14)
Полагая
, получим первое приближение

где в правой части после умножения
на
получается некоторый вектор
. После нормировки он представляется в виде
, где
- нормирующая константа,
- нормированный вектор (т.е. вектор, сумма составляющих которого равна единице).
Определив
, подставим его в правую часть уравнения (3.14) и повторяем вычисления.
Как правило, итерационный процесс продолжается до тех пор, пока величины
- го приближения не будут отличаться от соответствующих величин
-го приближения не более, чем на
(обычно принимают
). Скорость сходимости итерационного процесса зависит от выбора начального приближения. Часто в качестве
выбирают первый столбец матрицы
.
Пример. Для матрицы попарного сравнения

вычислим с помощью итерационной процедуры максимальное собственное число и соответствующий ему собственный вектор. В качестве начального приближения возьмем первый столбец матрицы. Получим
.
Суммируя составляющие, найдем первое приближение для максимального собственного числа
. Тогда
.
Вычисляя второе приближение, получим
.
Суммируя компоненты этого вектора, получим
. Поэтому

Дальнейшие вычисления не меняют результат.
Приведем пример расчета в Excel матрицы попарных сравнений в случае несогласованной исходной матрицы.
Пример 2.
Исходная матрица попарных сравнений имеет вид
.
Легко убедиться в том, что данная матрица не является согласованной.
Введем расчетные формулы в соответствии с Рис. 6.3. Как и в предыдущем примере, итерационный расчет будем проводить при использовании в качестве начального приближения первого столбца исходной матрицы попарных сравнений.

Рис. 6.3. Формулы и исходные данные для решения примера 2.
Расчет показывает (см. ниже), что в данном случае согласованные результаты получаются (с достаточно высокой точностью) уже после 2-3 итераций. После четвертой итерации результаты практически не изменяются. Таким образом, данный простейший алгоритм позволяет существенно упростить процедуру расчета матрицы попарных сравнений в случае, когда исходная матрица является несогласованной.
Результаты расчетов для случая несогласованной
исходной матрицы попарных сравнений.
| Первое приближение |
|
| ||||||
| 1 | 4 | 9 |
| 1 |
| 3 |
| 0,661 |
| 0,25 | 1 | 7 | X | 0,25 | = | 1,278 |
| 0,282 |
| 0,111111 | 0,142857 | 1 |
| 0,111111 |
| 0,258 |
| 0,057 |
|
|
|
|
|
|
| 4,536 |
|
|
|
|
|
|
|
|
|
|
|
|
|
|
|
|
|
|
|
|
|
|
| Второе приближение |
|
|
|
|
|
| ||
|
|
|
|
| 0,661 |
| 2,300 |
| 0,694 |
|
|
|
|
| 0,282 | = | 0,845 |
| 0,255 |
|
|
|
|
| 0,057 |
| 0,171 |
| 0,051 |
|
|
|
|
|
|
|
|
|
|
|
|
|
|
|
|
|
|
| |
| Третье приближение |
|
|
|
| ||||
|
|
|
|
|
|
|
|
|
|
|
|
|
|
| 0,694 |
| 2,176 |
| 0,695 |
|
|
|
|
| 0,255 |
| 0,788 |
| 0,252 |
|
|
|
|
| 0,051 |
| 0,165 |
| 0,053 |
|
|
|
|
|
|
| 3,130 |
|
|
|
|
|
|
|
|
|
|
|
|
| Четвертое приближение |
|
|
|
|
|
| ||
|
|
|
|
| 0,695 |
| 2,177 |
| 0,694 |
|
|
|
|
| 0,252 |
| 0,795 |
| 0,253 |
|
|
|
|
| 0,053 |
| 0,166 |
| 0,053 |
|
|
|
|
|
|
| 3,138044 |
|
|
В. Сложные экспертизы. Метод дерева целей.
Сложные экспертизы находят широкое применение при прогнозировании и планировании в экономике, политике, широкомасштабных научных исследованиях и т.п. Как правило, они не дают прямых указаний о предпочтительности выбора того или иного решения и не оценивают последствия различных решений. Главным предназначением сложных экспертиз является оценка осуществимости тех или иных явлений и событий, а также определение их вероятных сроков и последовательности свершения. Располагая информацией такого рода ЛПР может найти решения, способствующие (или – при необходимости – препятствующие) появлению анализируемых событий. Вследствие чрезвычайной сложности исследуемых явлений и – как правило – их значительной удаленности во времени от проводимой экспертизы, намного более корректно говорить о вероятностях (шансах) реализации того или другого явления, а не о конкретных сроках его реализации.
Следует отметить, что к строгому математическому понятию вероятности экспертные оценки такого рода можно отнести лишь условно, т.к. речь идет не о массовых событиях, а, как правило, об уникальных. В связи с этим указанные экспертные оценки получили название интуитивных вероятностей. Интуитивные вероятности представляют собой своеобразную форму нечеткого представления экспертных оценок сложных ситуаций. Следует отметить, что нестрогость понятия интуитивной вероятности не означает ее “неполноценности” и ее использование дает результаты, хорошо согласующиеся с реальностью. Исчисление интуитивных вероятностей проводится по используемым в теории вероятностей правилам.
Использование экспертами интуитивных вероятностей вызывает необходимость формулировки самих вопросов в вероятностном смысле. Например, вместо вопроса “Когда произойдет событие?”, следует задать вопрос “Какова вероятность того, что событие произойдет до какого-то момента времени?”. Следует отметить, что часто даже в данной постановке эксперт или эксперты не в состоянии дать достаточно обоснованный ответ. В таких случаях проводят декомпозицию (расчленение) анализируемых явлений и событий на более простые, оценка которых не столь сложна. Далее обрабатывают полученные от экспертов оценки и на ее основе пытаются ответить на вопрос.
Таким образом, в основе сложных экспертиз лежит декомпозиция исходной сложной проблемы на составляющие, проведение по ним совокупности простых экспертиз с последующей обработкой полученных экспертных оценок. В настоящее время существует несколько типов сложных экспертиз, например, метод дерева целей, метод решающих матриц, метод “Дельфи” и ряд других. Мы ограничимся рассмотрением сложной экспертизы “Метод дерева целей”.
Исследуемое событие обозначим как
и назовем заключительным. Группа экспертов должна произвести декомпозицию данного события на составляющие и определить, таким образом, дерево целей. При этом каждый член экспертной группы должен указать промежуточные события
, от реализации которых зависит осуществление события
. Следует отметить, что нумерация событий при этом никак не связана с очередностью их реализации, важностью и прочими характеристиками. Неосуществление любого из них делает невозможным осуществление заключительного события. Часто для обеспечения полноты перечня событий
в состав экспертной группы привлекаются специалисты различного профиля.
Как правило, события
также оказываются сложными для непосредственной оценки экспертами и, в свою очередь, могут быть представлены как результат осуществления других, более простых событий
, где первый индекс
указывает на связь перечисленных событий с событием
, а второй
- является номером события в связке. Назовем события
промежуточными событиями первого уровня;
- промежуточными событиями второго уровня
. Если экспертные оценки промежуточных событий второго уровня получить также затруднительно, то процесс декомпозиции продолжается и вводятся события третьего, четвертого и т.д. уровней.
Полученные в результате декомпозиции исходного события результаты представляют графически, причем события изображаются кружками, а связи между событиями – стрелками. В результате получается граф событий (Рис. 6.4), по виду напоминающий перевернутое дерево (отсюда – дерево целей).

Рис. 6.4. Схематическое изображение декомпозиции заключительного события.
После формирования дерева целей экспертам необходимо оценить безусловные интуитивные вероятности событий, находящихся на нижних уровнях. Эти оценки используются для расчета вероятности
того, что к назначенному сроку
реализуется заключительное событие
. Расчет осуществляется на базе основных теорем теории вероятностей.
Анализ дерева целей позволяет сделать вывод о том, что заключительное событие
является некоторой комбинацией промежуточных состояний первого уровня, что можно представить следующим равенством:
. (6.15)
Вид функции
определяется характером логической взаимосвязи заключительного события
с промежуточными
. Событие
осуществится, если реализуется каждое из промежуточных событий
. Поэтому
.
Так как события
реализуются независимо друг от друга, то, согласно теореме о вероятности произведения независимых событий получим:
. (6.16)
Далее мы можем записать систему соотношений вида
, (6.17)
в которых функция
учитывает взаимосвязь событий первого уровня
с соответствующими событиями второго уровня. Предположим, что в рассматриваемом нами случае событие
осуществится, если произойдет хотя бы одно из событий
. При этом предположении
.
Так как события
, вообще говоря, совместны, то для расчета вероятности события
удобно перейти к противоположным событиям:

где учтено, что событие, противоположное сумме событий, равно произведению противоположных событий.
Обычно работы по реализации программ, приводящих к событиям типа
, осуществляются независимо друг от друга, вследствие чего события
являются независимыми. В связи с этим на основании теоремы о вероятности произведения независимых событий получим
,
или, используя свойство вероятности противоположного события,
.
Действуя аналогичным образом, можно выразить все остальные вероятности событий первого уровня через вероятности связанных с ними событий второго уровня.
Вычисления производятся до тех пор, пока вероятность
не будет выражена через вероятности событий самых нижних уровней.
Помимо вероятностных характеристик событий с помощью дерева целей могут быть оценены временные затраты, стоимостные и другие показатели реализации соответствующих событию
программ (проектов).
Достоинством метода дерева целей является наглядность взаимосвязей между составляющими исследуемой сложной проблемы. Для реализации экспертизы необходимо привлекать большое число экспертов различных специальностей. Поэтому деятельность соответствующих экспертных групп должна быть надлежащим образом организована. С этой целью по указанию ЛПР создается специальная экспертная группа со следующими функциями:
· Осуществление предварительного анализа сложной проблемы и декомпозиция проблемы на составляющие;
· Формирование экспертных групп для уточнения первоначального варианта расчленения, формулировки вопросов для экспертов и определения методики проведения простых экспертиз по каждому из вопросов;
· Определение первоначального состава экспертных групп для проведения всех простых экспертиз;
· Проведение совокупности простых экспертиз;
· Предварительный анализ экспертных оценок и проведение в случае необходимости дополнительных туров экспертного оценивания;
· Обработка результатов и выработка рекомендаций для ЛПР.
Г. Метод анализа иерархий (МАИ)
Метод анализа иерархий, разработанный под руководством американского специалиста по исследованию операций Т. Саати, применяется в настоящее время при решении самых разнообразных проблем, среди которых, в частности:
· Проектирование транспортных систем крупных городов;
· Разработка планов обеспечения энергетическими ресурсами отраслей промышленности;
· Оценка сценария развития высшего образования;
· Определение приоритетных направлений научных исследований;
· Прогнозирование цен на различную продукцию;
· Планирование развития фирм;
· Аттестация персонала учреждений и предприятий;
· Решение эколого- экономических проблем регионов;
· Проектирование сложных технических систем.
Развитие идеи декомпозиции приводит к необходимости разработки и освоения такой концепции исследования сложных проблем, которая базировалась бы на их структурировании, упорядочении конкурирующих решений на основе оценки степени влияния всех выявленных структурных элементов: показателей эффективности, ограничений, возможных решений и т.п. Эта концепция должна органически включать человека в процесс исследования, учитывать в возможно более полном объеме роль человеческого фактора, примирять многочисленные и подчас противоречивые устремления людей, чьи интересы затрагивают те или иные решения.
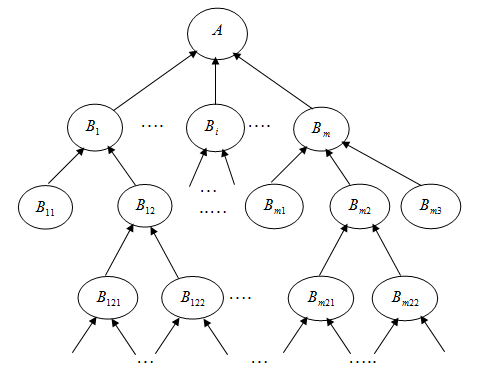
В общем случае иерархия определяет расположение некоторых объектов (элементов иерархии) в порядке от высшего к низшему, от старшего к младшему по степени подчиненности.
Существуют различные разновидности иерархий. Простейшими и наиболее распространенными являются доминантные иерархии, схематически изображаемые в виде древовидной структуры (Рис. 6.5).
Рассмотренное ранее дерево целей (Рис. 6.4) представляет собой доминантную иерархию, элементы которой являются составляющими событиями, связанными со вспомогательными целями, без достижения которых невозможно осуществление заключительного события и, следовательно, главной цели.
Доминантная иерархия называется полной, если любой ее элемент какого-либо уровня связан со всеми элементами подчиненного ему нижнего уровня. В противном случае иерархия является неполной. Например, дерево целей, изображенное на Рис. 6.4, представляет собой неполную иерархию.
Если иерархия включает
уровней, то она называется
- уровневой (на Рис. 6.5 для простоты изображены лишь три уровня).

Рис. 6.5. Схематическое изображение доминантной иерархии.
Метод анализа иерархий, как метод решения сложных неформализуемых проблем, включает следующие процедуры:
· иерархическое структурирование проблемы;
· попарное сравнение элементов иерархии;
· поэтапное выявление приоритетов.
При иерархическом структурировании проблемы первый (высший) уровень соответствует цели проблемы. Элементы последующих уровней отождествляются:
· с возможными решениями (альтернативами);
· с ограничениями;
· со сторонами, заинтересованными в том или ином решении проблемы;
· с показателями (критериями) эффективности и т.п.
В простейшем случае иерархия является трехуровневой и включает (Рис.6.6):
· уровень цели – первый уровень
· уровень альтернатив (возможных решений) – второй уровень;
· уровень критериев – третий уровень.

Рис. 6.6. Простейшая трехуровневая иерархия.
В качестве иллюстрации применения технологии иерархического структурирования можно рассмотреть следующий простой пример. Менеджер по персоналу отбирает одного из нескольких претендентов на вакантную должность. Пусть имеется три претендента (
. Выбор осуществляется с учетом следующих критериев: 1) возраст, 2) образование, 3) владение современными информационными технологиями, 4) знание иностранного языка, 5) коммуникабельность, 6) психологическая устойчивость, 7) способность к самообучению.
Менеджер стремится подобрать работника, наилучшим образом отвечающего совокупности перечисленных требований. Иерархия проблемы в данном случае является трехуровневой, при этом число элементов второго уровня (уровня альтернатив) равно трем, а третьего (уровень критериев) - семи.
Следует отметить некоторые общие требования, которые необходимо соблюдать при структурировании проблемы.
· Все элементы верхних уровней должны быть попарно сравнимы по отношению ко всем связанным с ними элементами нижних. Определяя иерархию проблемы, необходимо следить, чтобы можно было получить осмысленные ответы на вопросы типа (применительно к рассмотренному выше случаю): Насколько работник
с точки зрения интересов фирмы ценнее работников
или
по показателю “владение современными информационными технологиями”?. При выполнении этого требования удается выявить приоритеты (предпочтения) среди альтернатив и тем самым определить решение, наилучшим образом отвечающее всем условиям проблемы.
· Структурирование проблемы предполагает участие на этом этапе исследования всех заинтересованных субъектов. Это обеспечивает полноту перечня возможных решений, позволяет предположить, что рассматриваемые альтернативы и введенные показатели эффективности отражают весь диапазон точек зрения и предпочтений всех участников. На этом этапе не должны, как несущественные, отбрасываться какие-либо предложения. Участники процесса выбора решения смогут позже (на следующих этапах исследования) выразить свои индивидуальные предпочтения.
· Единогласия участников следует добиваться только при определении цели – высшего уровня иерархии, так как выбор цели предопределяет характер всех суждений и оценок, необходимых для выяснения предпочтений на множестве альтернатив.
· Практика решения задач с помощью метода анализа иерархий показывает, что число элементов на любом уровне иерархии не должно превышать 7 – 9. В противном случае затрудняется сопоставление элементов иерархии между собой, усложняется получение взаимосогласованных оценок (суждений), возрастает трудоемкость расчетов и риск получения ошибочных решений.
Контрольные вопросы к теме:
1. Понятие экспертных оценок
2. Простые экспертизы
3. Усреднение экспертных оценок
4. Рекуррентный метод расчета коэффициентов компетентности экспертов
Информация в лекции "Проблемы надёжности ПО" поможет Вам.
5. Попарное сравнение объектов
6. Сформулируйте условие транзитивной согласованности матрицы попарных сравнений
7. Сложные экспертизы
8. Метод дерева целей
9. Метод анализа иерархий
10. Перечислите процедуры метода анализа иерархий






3,316






















