Часть 1
ЭНЕРГЕТИКА ЖИЗНИ.
ПОЛУЧЕНИЕ ЭНЕРГИИ ИЗ ГЛЮКОЗЫ
Это довольно сложный предмет. Проблемы начинаются с самого названия – как ни назови, все равно будет ассоциироваться с «биоэнергией», которая сейчас в большой моде. Никто не знает, что это такое, но большинство убеждено, что это могучая сила, влияющая фактически на все, нечто вроде нечистой силы или божественного провидения, кому как больше нравится. Между тем, как мы уже уяснили, живые организмы получают, преобразуют и используют самую обычную энергию. Предмет этот по-своему красивый, но речь пойдет об очень сложных процессах, ясное понимание которых требует определенного образования – это самая что ни есть биохимия, причем достаточно сложная. И поскольку дело касается энергии, для ее понимания необходимы знания по физхимии. Тем не менее, необходимо ознакомить вас с наиболее важными процессами хотя бы поверхностно, с тем чтобы вы представляли в общих чертах, как это происходит, и в то же время почувствовали объем предмета. Для усиления вашего собственного интереса к нему попробуйте прочувствовать тот факт, что то, с чем мы сейчас познакомимся, равно как и все, с чем мы познакомились до сих пор, происходит не в какой-то пробирке в некоей лаборатории (хотя именно там выяснялось, как именно оно происходит), но непосредственно внутри нас, в каждой клетке нашего тела, в том числе и в клетках мозга, при помощи которого мы пытаемся что-то понять, в любую минуту и с огромной скоростью.
Мы начали наше знакомство с биологией с химии, затем перейдем к клетке, а потом – к организму. По мере того как мы будем переходить ко все более крупным структурам, т. е. по мере удаления от молекул и приближения к объектам, наполняющим нашу обыденную жизнь, понимание станет даваться все легче и легче. И это неудивительно, так как наши мозги создавались эволюцией для того, чтобы руководить нами в макромире. Процессы же на микроуровне протекают автоматически и самопроизвольно, без нашего на то соизволения. Но и они точно так же создавались в ходе эволюции, только это происходило на гораздо более ранних ее этапах.
Биохимические процессы в организме представляют собой сложнейшие пути превращений веществ одни в другие и их транспорта из одних мест в другие. Эти пути можно изобразить схематически, получаются схемы чудовищной сложности, иногда изображаемые на весьма поучительных плакатах. Для того чтобы ознакомиться с этими путями, нужно выбрать ниточку, с которой начать путешествие по этому лабиринту, и тот пункт, к которому нам следует прийти. Начнем с конца.
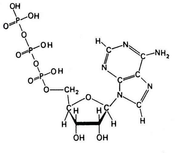
Для чего организму нужна энергия? Почти все процессы в нем осуществляются путем ферментативных реакций, многие из которых идут с затратами энергии. Как мы помним, подавляющее большинство ферментативных реакций, протекающих с затратой энергии, требует для своего протекания молекулу АТФ (аденозинтрифосфат), являющуюся универсальным энергоносителем внутри клетки.Напомним ее структуру снова:

Энергия накоплена в связях между тремя последовательно соединенными остатками фосфорной кислоты (их называют макроэргическими связями). В ходе «затратных» ферментативных реакций молекула АТФ дефосфорилируется и преобразуется в АДФ (аденозиндифосфат – почти та же самая молекула, что и один из мономеров РНК). Нужно пояснить, что на самом деле разрыв любой химической связи требует затраты какого-то количества энергии. Однако гидролиз макроэргической связи дает энергетический выигрыш, который составляет около 30 кДж / моль (а моль – это число Авогадро молекул, т. е. 6 1023 штук). Кроме того, реакция расщепления макроэргической связи идет только в том случае, если концентрация АТФ значительно превышает концентрацию продуктов ее гидролиза, поэтому живые клетки вынуждены поддерживать ее на высоком уровне.
Мышечное сокращение – первое, что приходит нам как мощным механическим устройствам на ум в связи с вопросом о затратах энергии – также требует молекул АТФ. Хотя действие сократительных белков не является ферментативной реакцией, сущность его остается та же – определенное изменение конформации белка при гидролизе фосфодиэфирных связей в молекуле АТФ. Почему-то редко вспоминают об энергозатратах в связи с высшей нервной деятельностью (наверное, мы все же в большей степени атлеты и механизмы, чем мыслители). А они не маленькие – вспомните, как хочется есть в процессе учебы. И расходуется здесь та же самая АТФ.
Рекомендуемые материалы
Итак, нам сейчас нужно рассмотреть, каким путем организм синтезирует свою АТФ. Конечным пунктом нашего путешествия будет именно эта молекула.
С чего мы начнем? Давайте начнем с молекулы глюкозы. Это вещество является энергоносителем нашей крови. Именно оно образуется при переваривании углеводов и жиров пищи и расходовании запасов жиров под кожей и гликогена в печени. Опятьтаки глюкоза – это то самое первое органическое вещество, которое образуется растениями в результате фотосинтеза из углекислого газа и воды. У растений глюкоза и фруктоза так же служат переносчиками вещества и энергии – они образуются в листьях и транспортируются к стеблям, корням, цветам, плодам. И наконец, та же глюкоза является питательным веществом для большинства бактерий.
Итак, мы намерены путешествовать по биохимическим путям от глюкозы к АТФ. Первая – это универсальный энергоноситель в многоклеточном организме, а второе – универсальный (причем счетный) энергоноситель в клетке. Немного сменив аналогию, мы можем сказать, что собираемся рассмотреть механизм конвертации валют – с межнациональной на национальную (хотя у людей все национальные валюты разные, а у клеток – одна и та же).
При раскручивании биохимической цепочки следует иметь в виду, что все процессы получения энергии живыми организмами происходят в результате окислительно-восстановительных реакций, при которых происходит перенос электрона с одной молекулы (восстановитель, донор электронов) на другую (окислитель, акцептор электронов). При этом роль акцептора электронов играют либо органические молекулы, либо кислород. На выбранном нами пути встретятся оба способа
Итак, начнем с момента, когда глюкоза попадает в клетку и используется именно в качестве источника энергии (а не для построения полисахаридов, к примеру). Конечными химическими продуктами этого процесса являются углекислый газ и вода. То же самое получилось бы, если бы мы просто сжигали глюкозу. Однако, в отличие от горения, энергетический выигрыш от такой перекомбинации атомов не уходит в окружающую среду в виде тепловой энергии, а аккумулируется в виде энергии определенных химических связей. Сам же процесс отличается большой сложностью и включает множество органических веществ определенной структуры. Среди всей этой сложности отрадно, что механизм этого процесса – один и тот же у большинства живых существ.
А первая его стадия, которая может проходить в отсутствие кислорода, – одинакова у всех. Она называется гликолиз. Общая последовательность гликолиза такова. К молекуле глюкозы присоединяются два остатка фосфорной кислоты. Связь фосфор–кислород в фосфорной кислоте энергетически насыщена, что дестабилизирует молекулу и облегчает ее расщепление на два фосфорилированных трисахарида. Дефосфорилирование трисахаридов сопровождается сопряженным фосфорилированием аденозина с образованием АТФ. Хитрость заключается в том, что двойное фосфорилирование одной молекулы глюкозы требует затраты двух молекул АТФ, которые дефосфорилируются до АДФ. Однако дальнейшее преобразование каждого из трисахаридов приводит к образованию двух молекул АТФ, а так как глюкоза распадается на два трисахарида, то в сумме образуется четыре молекулы АТФ. Это означает выигрыш в две молекулы АТФ на одну молекулу глюкозы. Мы наблюдаем прямо таки молекулярный бизнес, где капитал в две АТФ приносит 100 %-ю прибыль. Но если клетка жива, у нее всегда найдутся свободные оборотные средства. (Еще раз напомним, что АТФ может служить источником энергии только при высоких концентрациях.)
В процессе гликолиза есть еще один энергетический выигрыш. Есть такое вещество – никотинамидадениндинуклеотид (НАД). Он является коферментом нескольких ферментов.

Если Вам понравилась эта лекция, то понравится и эта - 6. Итальянская журналистика в 1943 - 45.

Это действительно динуклеотид, одна из его составляющих – хорошо знакомый нам аденин. Другой же нуклеотид содержит новое для нас азотистое основание – никотиновую кислоту (это не совсем то же, что никотин, но очень близко по строению). Как и большинство коферментов и их составляющих, никотиновая кислота является одним из витаминов – РР. НАД существует в двух формах – восстановленной (НАД-H, в здесь в русской записи приходится комбинировать русскую аббревиатуру и латинский символ для атома водорода) и окисленной (НАД+), последняя образуется путем отнятия от НАД-Н атома водорода и дополнительного электрона и представляет собой положительно заряженный ион (рис. 5.1). Восстановленная форма является энергонасыщенным состоянием, поэтому восстановление НАД+ до НАД-Н требует затраты энергии.
Восстановленная форма HАД-Н является сильным восстановителем, то есть донором электронов. При этом она же является донором атомов водорода. Далее мы увидим, что НАД-H играет важную роль в синтезе АТФ, т. е. в процессах получения энергии. Но участием в качестве посредника в процессах расщепления органики в целях получения энергии его функция не ограничивается. Как мы убедимся на следующей лекции, та же молекула в немного модифицированной форме является важнейшим ресурсом при синтезе органики, в качестве донора водорода, электронов и энергии. органики.
Процесс гликолиза включает восстановление молекулы НАД+ до НАД-H. В анаэробном варианте гликолиза, который идет в отсутствие кислорода, эта молекула в дальнейшем снова окисляется.
Гликолиз – это достаточно сложная последовательность ферментативных реакций. Здесь представлена его принципиальная схема:























