Клееные балки
Лекция № 6
Клееные балки
Клееные балки из досок и фанеры, склеенные синтетическим клеем, являются основным видом составных балок заводского изготовления. Размеры и форма сечений составных клееных балок может быть практически любой не зависимо от сортамента пиломатериалов и фанеры. Клееная древесина и фанера дольше сопротивляются загниванию и имеют более высокий предел огнестойкости, чем цельная древесина. Жесткие и стойкие против увлажнения клеевые соединения обеспечивают монолитность балок.
Существующие виды клееных балок можно разделить на две основные группы:
1) дощатоклееные балки, состоящие из склеенных между собой досок;
2) клеефанерные балки, состоящие из дощатых поясов и приклеенных к ним стенок из водостойкой фанеры.
Дощатоклееные балки применяют, главным образом, в качестве основных несущих конструкций покрытия сельских, общественных и промышленных зданий, используют их также в виде прогонов, пролеты и нагрузки которых не позволяют применять прогоны цельного сечения, а также в виде главных балок перекрытий, мостов и других сооружений.
В отечественной практике строительства дощатоклееные балки находят применение в покрытиях пролетом до 18 м. За рубежом имеются примеры эффективного применения дощатоклееных балок в покрытиях пролетом до 30 м и более.
Рекомендуемые материалы
Дощатоклееные балки могут быть:
1) односкатными постоянной высоты;

Рисунок 1 – Односкатная балка постоянной высоты
2) двускатными переменного сечения, причем h0 не менее 0.4h, где h0 – высота балки у опоры, h – высота в середине пролета;

Рисунок 2 – Двускатная балка переменного сечения
3) ломаными, состоящими из двух прямолинейных элементов, соединенных в коньке зубчатым соединением;

Рисунок 3 – Ломаная балка, состоящая из двух прямолинейных элементов
4) гнутыми;

Рисунок 4 – Гнутые балки переменного и постоянного сечения
Балки склеиваются из досок толщиной не более 42 мм (для гнутоклееных – не более 33 мм). Сечения дощатоклееных балок принимают в большинстве случаев шириной не более 17 см, что позволяет изготовлять их из цельных по ширине досок. Балки большей ширины изготовляют из менее широких досок, склеенных между собой кромками с расположением стыков вразбежку, что увеличивает трудоемкость их изготовления. Формы поперечных сечений балок могут быть весьма разнообразными. Традиционными формами сечения являются прямоугольное массивное, реже двутавровое или тавровое (т.к.они не технологичны в изготовлении).

Рисунок 5 – Виды сечений дощатоклееных балок
Высота балок (h) принимается в пределах h=(1/8…1/12)l.
Для обеспечения устойчивости балок из их плоскости отношение высоты балки h к ширине b не должно быть больше 6 (h/b≤6). Дощатоклееные балки с большим отношением высоты к ширине поперечного сечения подлежат проверке на общую устойчивость.
Доски располагаются по высоте сечения балок таким образом, чтобы древесина наиболее высокого качества размещалась в наиболее напряженных нижней и верхней зонах.

Рисунок 6 – Расположение досок в балке
По длине доски дощатоклееных балок стыкуются на зубчатый шип. Стыки смежных слоев должны располагаться вразбежку на расстоянии не менее 30 см.
Расчет дощатоклееных балок покрытий.
В большинстве случаев расчет производят по схеме однопролетной свободно опертой балки на равномерную нагрузку q от собственной массы покрытия, балки и массы снега.
Дощатоклееные балки рассчитывают как балки цельного сечения. За основное расчетное сопротивление при изгибе принимается для сосны
1 сорта Ru=14 МПа
2 сорта Ru=13 МПа
3 сорта Ru=8.5 МПа
При расчете дощатоклееных балок выполняют следующие проверки.
1. Проверка прочности по нормальным напряжениям:

Здесь введены коэффициенты к моменту сопротивления:
mδ – коэффициент условий работы, учитывающий влияние размеров поперечного сечения на несущую способность балки, его значение приведено в СНиП II-25-80 в зависимости от высоты сечения h
h=70 см → mδ=1,
h<70 см → mδ >1,
h>70 см → mδ <1;
mф – коэффициент формы, для балок прямолинейной формы сечения mф =1, для балок двутавровых сечений mф даны в учебнике Г. Г. Карлсена в зависимости от отношения ширины стенки к ширине пояса.
Расчетное сечение, где действуют максимальные нормальные напряжения, в балках переменной высоты не совпадает, как в балках постоянной высоты, с местом действия максимального изгибающего момента, поскольку момент сопротивления сечений уменьшается у них от середины балки быстрее, чем изгибающий момент. Расстояние расчетных сечений от опор Х определяется путем отыскания максимума эпюры нормальных напряжений по длине балки.
Это сечение находится из общего выражения для нормальных напряжений

Для нахождения экстремальных точек эпюры напряжений необходимо приравнять нулю выражение, полученное после дифференцирования выражения для σu.
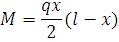
В двускатной балке переменного сечения при равномерно распределенной нагрузке
,
где hоп – высота опорного сечения,
h – высота сечения в середина пролета балки.
Изгибающий момент в этом случае равен


Рисунок 7 – Эпюра изгибающего момента М
В гнутоклееных балках дополнительно проверяется еще и напряжения растяжения в гнутой зоне.
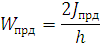
2. Расчет на устойчивость плоской формы деформирования изгибаемых элементов.
,
где М – максимальный изгибающий момент на рассматриваемом участке lp
mδ и mф – балочный коэффициент и коэффициент формы (применяются такими же, как и при расчете прочности).
3. Проверка прочности по скалывающим напряжениям в сечении с максимальной поперечной силой выполняется по формуле Журавского
,
где Q – поперечная сила, Sбр – статический момент относительно нейтральной оси той части площади сечения, которая расположена выше или ниже проверяемого шва, Jбр – момент инерции сечения, b – ширина балки, и при двутавровом сечении – ширина стенки (b=bст).
4. Расчет по прогибам.
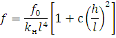
СНиП II-25-80 дает формулу для определения наибольшего прогиба шарнирно-опертых балок в виде:
,
где f0 – прогиб балки постоянного сечения высотой h без учета деформаций сдвига, для загруженной равномерно-распределенной нагрузкой
,
h – наибольшая высота сечения,
l – пролет балки,
k – коэффициент, учитывающий влияние переменности высоты сечения, для балки постоянного сечения k=1,
с – коэффициент, учитывающий влияние деформации сдвига от поперечной силы.
Значение коэффициентов k и с для основных расчетных схем балок даны в приложении СНиП.
При проверке балки по прогибам должно выполняться условие
, 
Кроме основных проверок в ряде случаев выполняются дополнительные проверки. К таким проверкам относятся проверка на смятие опорной площадки балки, проверка напряжений растяжения в гнутых балках и т.п.
Кроме однопролетных балок в ряде случаев с эффектом применяют многопролетные и консольные дощатоклееные балки. Расчет таких балок производится по общим принципам строительной механики с учетом формы и высоты сечения (коэффициентов mδ и mф).
В случае, если необходимо повысить несущую способность и жесткость балки иногда выполняют армирование дощатоклееных балок.
Дощатоклееные армированные балки представляют собой деревянные клееные балки, в которые вклеиваются стержни стальной арматуры.

Рисунок 8 – Дощатоклееная армированная балка
Целесообразно выполнять армирование двойной арматурой классов A-III и A-IV. Процесс армирования находится в пределах 2…4 %. Клей чаще всего эпоксидно-цементный.
Расчет армированных балок на изгиб производится с учетом совместной работы клееной древесины и арматуры методом приведенных сечений, учитывающим модуль упругости древесины и стали.

Расчет армированных балок по прочности производят исходя из того, что древесина разрушается раньше, чем стальная арматура:

Клеефанерные балки
По форме сечения могут быть коробчатыми, двутавровыми, двутаврово-коробчатыми (склеенными из двух или нескольких двутавров), треугольными, трапециевидными.
Однако наибольшее распространение в отечественном и зарубежном строительстве получили первые три вида балок:
1) коробчатого сечения

Рисунок 9 – Клеефанерная балка коробчатого сечения
2) двутаврового сечения

Рисунок 10 – Клеефанерная балка двутаврового сечения
3) двутаврово-коробчатого сечения

Рисунок 11 – Клеефанерная балка двутаврово-коробчатого сечения
Традиционно клеефанерные балки состоят из дощатых поясов и фанерных стенок, однако в настоящее время предпринимаются попытки создания цельнофанерных конструкций, что позволяет экономить пиломатериал. Примером таких конструкций является цельнофанерная клееная балка, изобретенная в США

Рисунок 12 – Цельнофанерная клееная балка двутаврового сечения
Предпринимаются попытки создания балок двутаврового сечения с поясами из манерных профилей (уголков), С-Петербург.
По длине клеефанерные балки могут иметь постоянное или переменное сечение.
Их высоту в середине пролета определяют расчетом на изгиб и она получается близкой к 1/10…1/12 пролета.
Высоту сечения на опоре определяют расчетом стенок на срез и устойчивость, но она должна быть не меньше 0.4 пролета.
Стенки клеефанерых балок изготавливают из водостойкой строительной фанеры толщиной 10…12 мм. Направления наружных волокон фанеры следует принимать параллельным волокном поясов и продольным осям балки. При этом стенка работает на изгиб в направлении наибольшей прочности и жесткости. Фанера стыкуется «на ус», либо встык с накладками. Как правило, в местах стыкования фанеры ставятся ребра жесткости, т.е. по длине балки ребра ставятся с шагом, равным 1/8…1/10 пролета.

Рисунок 13 – Расстановка ребер жесткости
По плоскостям склеивания с фанерными стенками пояса должны иметь прорези для того, чтобы ширина клеевых швов не превосходит 10 см для предотвращения перенапряжений швов при короблении. По длине доски соединяются зубчатым стыком.
Нижние растянутые пояса должны изготовляться из досок 2 (или 1) сорта, сжатые пояса и ребра – из 2 (или 3) сорта.
Расчет ребристых клеефанерных балок производят на изгиб с учетом совместной работы дощатых поясов и фанерных стенок.
В двускатных балках переменной высоты сечения, где при равномерной нагрузке действуют максимальные напряжения изгиба, находятся не в середине пролета, а на расстоянии Х от опоры:

где γ=hоп/li , где hоп – высота опорного сечения между осями поясов,
l – пролет балки,
i – уклон верхнего пояса.
Изгибающий момент в этом сечении равен
. Геометрические характеристики сечений клеефанерных балок определяются с учетом различных модулей упругости древесины (Eg) и фанеры (Еф).
В результате определяются приведенные к древесине поясов геометрические характеристики сечения


При расчете ребристой клеефанерной балки выполняют следующие проверки.
1. Проверка нормальных напряжений в поясах из древесины и фанерной стенке балки производится на действие максимального изгибающего момента по формулам:
- для растянутого пояса
,
- для сжатого пояса
,
здесь φ – коэффициент продольного изгиба,
- для фанерной стенки
,
mф – коэффициент, учитывающий снижение сопротивления фанеры в стыке «на ус» (для обычной фанеры m=0.6, для бакелизированной 0.8)
2. Проверка прочности фанерных стенок на совместное действие касательных и нормальных напряжений с учетом анизотропии фанеры, т.е. проверка по главным напряжениям в зоне перехода от поясов к стенкам
,
σр – главные напряжения,
σст, τст – нормальные и касательные напряжения в стенке на том же уровне,
Rфα – расчетное сопротивление фанеры растяжению под углом α, определяются по графику приложения 5 СНиП,
α – угол наклона направления главного напряжения к оси балки, определяется из зависимости
.
3. Проверка на скалывание между слоями шпона в местах приклейки стенок к поясам
(0.6 МПа)
Sn – статический момент пояса относительно оси балки,
Σbш – суммарная ширина клеевых швов приклейке поясов к стенкам, Σbш=nhn (hn – высота пояса, n – число вертикальных швов)
Rфск – расчетное сопротивление фанеры скалыванию.
4. Проверка фанерной стенки на срез (у опор) по нейтральной оси

Sпрф – приведенный к фанере статический момент половины поперечного сечения балки относительно ее оси,
Σδф – суммарная толщина фанерных стенок.
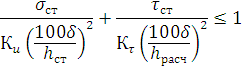
5. Проверка стенки на местную устойчивость (в середине приопорной панели)
Для обеспечения устойчивости стенки при продольном расположении волокон относительно оси балки должно быть hст/δ≤50, где hст – высота стенки в середине опорной панели, δ – толщина стенки.
Если hст/δ>50, то должна быть выполнена проверка на местную устойчивость.
Расчет устойчивости следует производить по формуле:

Здесь Кu, Кδ – коэффициенты, определяемые по графикам СНиП,
hст – высота стенки между внутренними гранями полок, hрасч= hст при а≥ hст,
hрасч= а при а< hст, а – расстояние между ребрами в свету.

Рисунок 14 – Расстановка ребер жесткости
Здесь δст, τст – нормальные и касательные напряжения в середине опорной панели, знаменатели (в формуле проверки устойчивости стенки) – это критические напряжения, при которых стенка теряет устойчивость.
6. Расчет по прогибам
, 


Обратите внимание на лекцию "3.5 Аккомодация".
Клеефанерная балка с волнистой стенкой относится к классу малогабаритных балок. Пояса состоят из одиночных досок 2-го сорта. Они располагаются горизонтально плашмя, и в их плоскостях образуется волнистые по длине клиновидного сечения.
Фанерная стенка имеет волнистую форму, вклеиваются краями в пазы.

Рисунок 15 – Клеефанерная балка с волнистой стенкой
Благодаря волнистой форме стенка лучше сопротивляется потере устойчивости, чем плоская.
Расчет плоских балок производится с учетом того, что стенка практически не работает на нормальные напряжения при изгибе и эти напряжения воспринимаются только поясами. Кроме того благодаря своей форме стенка является податливой, поэтому расчет таких балок по прочности и прогибам при изгибе производят как составных балок с податливой стенкой.





















