Организация роста производительности и оплаты труда
Лекция 7. Организация роста производительности и оплаты труда
7.1.Сущность производительности, ее показатели и методы измерения.
7.2.Факторный метод анализа и измерения уровня производительности
7.3.Современные теории и модели мотивации трудовой деятельности
7.4. Нормативно-правовые основы организации оплаты труда
7.5 Применяемые формы и системы оплаты труда на предприятиях
7.1. Сущность производительности, ее показатели и методы измерения.
Производительность вообще – есть результативная, полезная деятельность, т.е. конкретным трудом создается продукт или услуга в единицу времени. Общая формула такая: Пр. = П / Т.
Уровень производительности труда определяется количеством продукции (объемом работы или услуг), которую производит один работник за единицу рабочего времени (час, смену, сутки, месяц, квартал, год), или количеством рабочего времени, расходуемого на производство единицы продукции (выполнения работы или услуги).
Рекомендуемые материалы
Разнообразные подходы к определению уровня производительности труда зависят от специфики деятельности тех или иных предприятий или их подразделений, от цели расчетов и базируются на методических особенностях, перечень которых приведен на рис. 7.1.
Если показатели выработки имеют более обобщенный, универсальный характер, то показатели трудоемкости можно рассчитать по отдельным видам продукции (услуг) и использовать для определения необходимой численности рабочих, выявления конкретных резервов повышения производительности труда. Достоверность расчетов возрастает при определении полной трудоемкости (технологической, обслуживания и управления производством).
Натуральные показатели выработки наиболее точно отражают динамику производительности труда, но могут быть применены лишь на предприятиях, выпускающих однородную продукцию. Использование так называемых условно-натуральных измерителей (например, условных консервных банок) позволяет расширить возможности применения этих показателей.

Рис. 7.1. Методы измерения и показатели уровня производительности труда на предприятиях
Трудовые показатели требуют хорошо налаженной работы по техническому нормированию и учету труда. Преимущественно их используют на рабочих местах, участках, в цехах, выпускающих разнородную продукцию, при наличии значительных объемов незавершенного производства, которое невозможно измерять натуральными денежными единицами
Наиболее универсальными и поэтому наиболее распространенными являются стоимостные показатели выработки. Они могут применяться для определения уровня и динамики производительности труда на предприятиях с разнообразной продукцией (услугами). При этом для обеспечения точности измерения производительности труда (особенно ее динамики) по стоимостным показателям следует учитывать влияние на ее уровень прежде всего ценового фактора.
7.2.Факторный метод измерения уровня производительности
Все факторы, способствующие повышению производительности труда, делятся на две группы — внешние и внутренние.
К группе внешних факторов относятся, те что объективно существуют вне контроля отдельного предприятия (т. е. факторы общегосударственные и общеэкономические — законодательство, политика и стратегия, рыночная инфраструктура; макроструктурные сдвиги в обществе; природные ресурсы).К внутренним — те, которые непосредственно влияют на уровень производительности труда (характер продукции, технология и оборудование, материалы, энергия; персонал, организация производства и труда, система мотивации и т. п.).
Все факторы, существенно влияющие на производительность труда, можно объединить в такие группы:
• материально-технические (совершенствование техники и технологии, применение новых видов сырья и материалов и т. п.);
• организационные (углубление специализации, комбинирование, совершенствование системы управления, организации труда и т. п.);
• экономические (совершенствование методов планирования, система оплаты труда, участие работников в прибыли предприятия и т. п.);
• социальные (создание надлежащего материально-психологического климата, нематериальное поощрение, улучшение системы подготовки и переподготовки персонала и т. п.);
• природные условия и географическое размещение предприятий (эту группу факторов выделяют и анализируют преимущественно на предприятиях добывающей и в некоторых перерабатывающих отраслях промышленности).
В практике реального управления предприятием всегда остается актуальной необходимость количественного определения влияния отдельных факторов на уровень производительности труда. Расчеты базируются на выявлении резервов (неиспользованных возможностей) роста производительности труда, что проявляется как в пространстве (для всех звеньев производства), так и во времени (по календарному графику их возможного использования).
Количественное влияние отдельных факторов детализируется по общепринятой схеме (рис. 7.2). Их общее влияние на изменение уровня производительности труда определяется в таком порядке:
• во-первых, рассчитывается исходная численность промышленно-производственного персонала в расчетном периоде (Чисх) т. е. условная численность, необходимая для обеспечения планового (расчетного) объема производства в условиях сохранения базового уровня выработки продукции на одного работника;
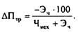
• во-вторых, определяются изменения (уменьшение «-», увеличения «+») исходной численности работников под влиянием отдельных факторов и суммарные изменения численности (Эч);
• в-третьих, рассчитывается возможный общий прирост производительности труда в расчетном периоде (Птр) по сравнению с базовым периодом по формуле:

Экономию численности работников_за счет внедрения новой техники, технологии, модернизации оборудования (Эчнт) можно рассчитать по формуле

где tc, /н—трудоемкость производства соответственно на старом и новом (модернизированном) оборудовании (по старой и новой технологиям);
Чр — удельный вес рабочих, занятых на этом оборудовании (при использовании определенной технологии) в общем количестве работников в базисном периоде, %.

Рис. 7.2. Детализированная классификация факторов для расчетов возможного роста производительности труда на предприятии
Изменения численности за счет сокращения внутрисменных простоев можно определить, пользуясь формулой

Где qр, q6— внутрисменные простои соответственно в расчетном и базисном периодах, %.
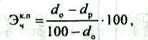
Уменьшение или увеличение численности работников из-за изменения доли покупных полуфабрикатов и кооперированных поставок можно рассчитывать укрупненно по формуле

Где do, dp — доля покупных полуфабрикатов и кооперированных поставок в общем объеме продукции в базисном и расчетном годах, %.
Экономия (увеличение) численности работников за счет изменения структуры производства определяется с использованием формулы

Где Уо р — удельный вес основных рабочих в общей численности персонала базисного периода, ед.;
Т1/То— удельная трудоемкость (в расчете на 1000 ден. ед. продукции) в нормо-часах в базисном и расчетном периодах.
При невозможности произвести расчеты по конкретным формулам (особенно это касается влияния экономических и социальных факторов) экономия численности и соответствующий рост производительности труда определяются на основе экспертных оценок ситуационного анализа, сопоставления с аналогами .
7.3.Современные теории и модели МОТИВАЦИИ ТРУДОВОЙ ДЕЯТЕЛЬНОСТИ
Социально-экономической основой активизации усилий персонала предприятий (организаций), направленных на повышение результативности их деятельности, является мотивация труда. Мотивация – это побуждение, стимулирование работника к напряженной, инициативной, добросовестной и производительной работе.
Для формирования надлежащего отношения к труду необходимо создавать такие условия, чтобы персонал воспринимал свой труд как сознательную деятельность, являющуюся источником самосовершенствования, основой профессионального и служебного роста. . Соответствующее отношение к труду и сознательное поведение определяются системой ценностей работника, условиями труда и применяемыми стимулами. При доминирующей роли социально-экономических условий в основу любой модели мотивации закладываются прежде всего психологические аспекты (рис. 7.3)

Рис. 7.3. Концептуальные основы построения моделей мотивации трудовой деятельности
Поведение работника зависит от познания элементов не только индивидуальной психологии, определяющей поступки каждого трудящегося, но и коллективной психологии определенных групп работников. Именно этим объясняется необходимость конструирования многофакторных моделей мотивации, учитывающих потребности, ожидания и восприятие различными работниками вознаграждения за свой труд.
Результативность деятельности конкретного работника определяется прежде всего индивидуальными возможностями и личной заинтересованностью, а также осознанием его собственной роли в коллективных усилиях. Объем затрат труда зависит от оценки работником достаточности уровня вознаграждения и уверенности в том, что оно будет получено.
К факторам, обуславливающим поведение работника и требующим учета в практике мотивации его трудовой деятельности, относятся: 1)физический тип личности (возраст, пол и т. п.); 2) уровень самосознания и образованности; 3) профессиональная подготовка;4) психологический климат в коллективе;5) влияние внешней среды и т. п.
Система мотивации на уровне предприятия должна базироваться на определенных требованиях. Основные из них представлены на рис.7.4.

Рис. 7.4. Современные требования к построению системы мотивации труда
В практике хозяйствования применяется общепринятая классификация методов мотивации работников, применимая к любому предприятию ( рис. 7.5).
Рис. 7.5. Общепринятая классификация методов мотивации трудовой деятельности работников
Кроме общепринятой классификации методов мотивации, их еще делят на индивидуальные и групповые, а также на внешние (вознаграждение за достигнутые успехи) и внутренние (когда вознаграждением является сам труд, дающий работнику чувство общественной значимости, самоуважения.
Заработная плата не может быть единой целью трудовой деятельности. Материальное поощрение делает мотивацию труда результативной лишь при реализации таких принципов:
• коммуникация, сотрудничество и согласие между работниками и администрацией фирмы относительно общих принципов системы;
• обоснованная система оценки работ и определения объема последних;
• хорошо обоснованные критерии измерения и оценки затраченного труда; взвешенные нормативы по труду, контроль за ними, периодический пересмотр, четкое согласование поощрения с результативностью деятельности; вознаграждение (особенно дополнительное) не за уровень результативности работы вообще, а именно за тот уровень, который связан с качеством работы и продукции.
К фундаментальным задачам менеджмента по регулированию поведения людей, относятся:
• во-первых, необходимость принимать во внимание только реально возможные в конкретных условиях деятельности поведенческие явления;
• во-вторых, использование частоты проявления этих поведенческих явлений в соответствующей группе работников в качестве основных показателей;
• в-третьих, постоянное наблюдение и контроль поведения работников в условиях конкретной ситуации на предприятии .
7.4.Нормативно-правовые основы организации оплаты труда
Оплата труда — это любой заработок, исчисленный, как правило, в денежном выражении, который по трудовому договору собственник или уполномоченный им орган выплачивает работнику за произведенную продукцию (выполненную работу, оказанные услуги).
Она состоит из основной заработной платы и дополнительной оплаты труда. Размеры оплаты наемного работника зависят от результатов его труда с учетом результатов общей хозяйственной деятельности предприятия.
Основная заработная плата работника определяется конкретными тарифными ставками, сдельными расценками, должностными окладами, а также надбавками и доплатами в размерах, не превышающих установленные действующим в стране законодательством. Уровень дополнительной оплаты труда в большинстве случаев зависит от конечных результатов деятельности предприятия. Обычно к дополнительной оплате труда относят премии, другие поощрительные и компенсационные выплаты, а также надбавки и доплаты, не предусмотренные действующим законодательством или установленные свыше размеров, которые им разрешены. По расчетам на производственных предприятиях Украины в течение нескольких последних лет, основная заработная плата и дополнительная оплата труда составляют соответственно 70—80 и 20—30 % от общей величины заработка.
В условиях развития предпринимательства и существования различных форм собственности заработок работника уже не определяется размером какого-то гарантированного фонда оплаты труда, а все более зависит от конечных результатов деятельности и доходов всего предприятия. Нужно учитывать, что и сам работник все чаще становится более-менее реальным совладельцем предприятия. Поэтому вознаграждая работника-собственника (соучредителя), необходимо начислять определенный доход не только за труд, но и за вложенный в предприятие капитал. Учитывая изменения в природе и механизме формирования заработка работника, вместо понятия «заработная плата» все чаще используют термины «трудовой доход», «вознаграждение», «оплата труда», «заработок», «доход
Действенность оплаты труда определяется тем, насколько полно она выполняет свои основные функции — воспроизводственную, стимулирующую, регулирующую и социальную.
Реализация воспроизводственной функции заработной платы предусматривает установление норм оплаты труда на таком уровне, который обеспечивает нормальное воспроизводство рабочей силы соответствующей квалификации и одновременно позволяет применять обоснованные нормы труда, которые гарантируют собственнику получение необходимого результата хозяйственной деятельности. Функция стимулирования сводится к тому, что возможный уровень оплаты труда должен побуждать каждого работника к наиболее эффективным действиям на своем рабочем месте. Регулирующая функция оплаты труда реализует общеупотребляемый принцип дифференциации уровня заработка в соответствии со специальностью и квалификацией персонала, важностью и сложностью трудовых задач. Социальная функция заработной платы направлена на обеспечение одинаковой оплаты за одинаковую работу; она должна сочетать государственное и договорное ее регулирование, а также реализовать принцип социальной справедливости по отношению к получению собственного дохода.
Государственная политика оплаты труда практически реализуется как часть общего механизма реализации социально-экономической политики государства (рис. 7.6).Минимизация заработной платы регулируется с учетом уровня экономического развития страны, производительности труда, средней заработной платы, а также стоимости величины минимального потребительского бюджета («корзины» ).

Рис. 7.6. Структурные элементы механизма реализации социально-экономической политики государства
Политика оплаты труда предприятий, формируется и реализуется в пределах действующего законодательства — прежде всего Закона Украины «Об оплате труда» (1995 г.)
Конкретная реализация политики заработной платы осуществляется на основании договоренности о регулировании оплаты труда наемных работников предприятия, т. е. на основе заключения тарифных соглашений на трех уровнях:
• межотраслевом (генеральное тарифное соглашение);
•отраслевом или коммунальном (соответственно отраслевые или региональные тарифные соглашения);
•производственном (тарифное соглашение как составная часть коллективного договора).
Тарифное соглашение — это договор между представителями сторон по вопросам оплаты труда и социальных гарантий. Она на каждом уровне имеет специфическую содержательную характеристику. В частности, предметом тарифного соглашения на производственном уровне (как составной части коллективного договора) являются структурные элементы, показанные на рис. 7.7.

Рис 7 7. Содержательная характеристика (предмет) тарифного соглашения на производственном уровне
В случае найма работника по контракту собственник или уполномоченный им орган могут устанавливать (с согласия работника) как предусмотренные коллективным договором, так и индивидуальные условия оплаты труда.
Практическая организация оплаты труда базируется на государственном и договорном регулировании ее абсолютного уровня и механизма определения индивидуальной заработной платы всех категорий работников (рабочих, специалистов, служащих, руководителей) предприятий и учреждений разных форм собственности. Основным организационно-правовым инструментом обоснования дифференциации заработной платы работников разных субъектов хозяйствования (деятельности) является тарифно-должностная система, включающая такие структурные элементы: 1)тарифно-квалификационные справочники; 2)квалификационные справочники должностей руководителей, специалистов и служащих; 3)тарифные сетки и ставки;4) схемы должностных окладов или единая тарифная сетка.
Тарифно-квалификационные справочники в виде единого тарифно-квалификационного справочника работ и профессий работников (ЕТКС) — это сборник нормативных актов, который содержит квалификационные характеристики работ и профессий, сгруппированные по производствам и видам работ. ЕТКС предназначен для тарификации работ, присвоения квалификационных разрядов рабочим, а также для формирования учебных программ подготовки и повышения квалификации работников.
Квалификационные справочники должностей руководителей и служащих являются нормативными документами, в которых приведены отраслевые квалификационные характеристики этих категорий работников. В них содержатся должностные обязанности, требования к знаниям и стажу работы по специальности, уровню и профилю подготовки руководителей, специалистов и служащих.
Тарифная сетка устанавливает соответствующие соотношения в оплате труда работников разной квалификации. Она является, собственно, перечнем тарифных разрядов и соответствующих им коэффициентов оплаты. Установленные в Украине параметры тарифной сетки приведены в табл. 7.1
ТИПОВАЯ ТАРИФНАЯ СЕТКА РАБОЧИХ РАЗНООТРАСЛЕВЫХ ПРЕДПРИЯТИЙ И ОРГАНИЗАЦИЙ
| Показатели | Тарифные разряды | |||||||
| 1 | 2 | 3 | 4 | 5 | 6 | 7 | 8 | |
| Тарифные коэффициенты | 1,0 | 1,088 | 1,204 | 1,350 | 1,531 | 1,800 | 1,892 | 2,0 |
| Рост тарифных коэффициентов: •абсолютный •относительный | X X | 0,088 8,8 | 0,116 10,7 | 0,146 12,1 | 0,181 13,4 | 0,269 17,6 | 0,092 5,1 | 0,108 5,7 |
Тарифный коэффициент первого разряда всегда равен единице. По первому разряду тарифицируются простые работы, выполнение которых не требует профессиональной подготовки. Коэффициенты последующих разрядов характеризуют степень сложности труда рабочих, имеющих такие разряды.
Важным элементом тарифной системы является тарифная ставка. Ее абсолютная величина определяется в соответствии с установленным государством минимальным размером заработной платы, т. е. таким, ниже которого уже нельзя платить работнику за выполненную норму рабочего времени. К этому нужно добавить, что в минимальную заработную плату не включают доплаты, надбавки и компенсационные выплаты. Поэтому размер оплаты труда не может быть ниже установленной государством минимальной заработной платы даже при невыполнении работником норм выработки или изготовлении бракованной продукции.
Оплата труда руководителей, специалистов и служащих конкретных субъектов хозяйствования осуществляется по установленным государством должностным окладам с учетом применяемой системы стимулирования высокоэффективной работы или по контрактной (договорной) системе
7.5. ПРИМЕНЯЕМЫЕ ФОРМЫ И СИСТЕМЫ ОПЛАТЫ ТРУДА
Тарифная система, названная выше основой организации оплаты труда рабочих производственного предприятия, не может, однако, обеспечить полных расчетов месячного заработка этой наибольшей по численности категории персонала, поскольку не принимает во внимание реальной результативности их деятельности за соответствующий промежуток времени. Этим и объясняется объективная необходимость проведения расчетов абсолютной величины заработной платы, исходя из фактических результатов (затрат) труда в течение одного месяца. Такие результаты можно определить с помощью конкретных форм и систем заработной платы
Основными измерителями результатов (затрат) труда являются количество изготовленной продукции, а также затраченное рабочее время, т. е. количество дней (часов), в течение которых работник фактически был занят (работал) на предприятии. Такому делению измерителей затрат труда соответствуют две формы заработной платы, базирующиеся на тарифной системе, — сдельная и повременная.
При сдельной форме оплата труда проводится по нормам и расценкам, установленным на основе разряда работника. Квалификационный (тарифный) разряд рабочего предусматривает выполнение работы соответствующей сложности.
Основными условиями применения сдельной оплаты труда является наличие количественных показателей работы, непосредственно зависящих от конкретного работника и поддающихся точному учету, а также необходимость стимулирования увеличения выпуска продукции и существования реальных возможностей для этого на конкретном рабочем месте. Использование этой формы оплаты труда требует наличия обоснованных норм выработки, четкого учета их выполнения и, что особенно важно, такая оплата не должна приводить к ухудшению качества продукции, нарушению технологических режимов, техники безопасности, к перерасходу сырья, материалов, энергии.
Повременная форма заработной платы рабочих предусматривает оплату труда по часовым (дневным) тарифным ставкам с учетом отработанного времени и уровня квалификации, определяемого тарифным разрядом. Она применяется тогда, когда нецелесообразно нормировать работу (например, операции контроля качества продукции) или они вообще не поддаются нормированию, поскольку содержание и последовательность производственных операций часто меняются (работы по ремонту и наладке оборудования, обслуживанию внутризаводского транспорта, опытно экспериментальные работы и т. п.).
Современная техника предъявляет повышенные требования к точности и чистоте обработки, качеству продукции. Именно повременная, а не сдельная оплата труда в значительно большей мере содействует соблюдению этих требований. Повременная оплата труда руководителей, специалистов и служащих осуществляется, как правило, по месячным должностным окладам (ставкам).
Системы оплаты труда. Каждая из названных форм заработной платы охватывает несколько систем оплаты труда для различных организационно-технических условий производства. Возможные и реально применяемые системы оплаты труда рабочих производственных предприятий (подразделений) и организаций показаны на рис. 7.8.

Рис. 7.8. Формы и основные системы оплаты труда рабочих предприятий производственной сферы
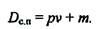
1. При прямой сдельной системе оплата произведенной продукции (выполненной работы) ведется по соответствующим расценкам. Заработок рабочего (.Д.пс) определяется путем умножения расценки за единицу продукции (р) на количество изготовленныхизделий (V), т. е.
Д.п.с=р * У
2. Косвенная сдельная система применяется для оплаты труда тех категорий вспомогательных рабочих (крановщиков, наладчиков, ремонтников), труд которых не поддается непосредственному нормированию и учету, но в значительной мере определяет уровень выработки основных производственных рабочих. Заработок рабочего по этой системе (Dкс) расчитывается по формуле:

Где: s — часовая тарифная ставка;
т— фактически отработанное за месяц количество часов рабочими;
Квн — средний коэффициент выполнения норм выработки всеми рабочими, которые обслуживаются данными вспомогательными рабочими.
3. Сдельно-премиальная система действует в условиях применения премирования рабочих за определенные достижения в труде. При ней заработок рабочего (Дc п) состоит из отдельного заработка (pv) и премии за поощряемые достигнутые результаты (т):

4. Сдельно-прогрессивная система предусматривает оплату работ, выполненных в пределах установленной нормы (по), по обычным сдельным расценкам (ро), а работ, выполненных сверх нормативного (базового) уровня (и,), — по повышенным расценкам (р,) в зависимости от степени выполнения задания. Следовательно, заработок (Dc пр) при этой системе определяется по формуле

Аккордная система отличается от других тем, что работнику или группе работников расценки устанавливаются на весь комплекс (объем) работ с указанием конечного срока их выполнения. Она поощряет сокращение сроков выполнения работ и поэтому используется преимущественно при устранении последствий аварий, срочных ремонтах, строительных работах и др. При применении этой системы нужно учитывать необходимость строгого контроля качества и соблюдения правил безопасности труда.
6. Простая повременная система базируется на отработанном времени. Заработок рабочего при такой системе (Дпп) рассчитывается умножением часовой тарифной ставки соответствующего разряда (s) на количество отработанных за месяц часов (t):

Эту систему оплаты труда применяют очень редко из-за недостаточного ее влияния на количество и качество выпускаемой продукции или выполненных работ.
7. Повременно-премиальная система устраняет недостаток простой повременной оплаты труда. По этой системе кроме тарифного заработка (st) рабочий получает премию (w) за достижение определенных количественных и качественных показателей.

В условиях повременно-премиальной системы с использованием нормированных заданий заработок рабочего может состоять из трех частей:
1) повременного заработка, определяемого пропорционально отработанному времени, и доплат за профессиональное мастерство и условия (интенсивность) труда;
2) дополнительной оплаты за выполнение нормированного задания, начисляемой в процентах к повременной оплате по тарифу;
3) премии за снижение трудоемкости изделия или работ.
8. Система оплаты труда по должностным окладам является разновидностью повременно-премиальной системы и применяется на предприятиях всех отраслей экономики. По этой системе оплачивается и труд рабочих, деятельность которых имеет стабильный характер (кладовщики, весовщики, уборщики и др.).
С целью эффективного использования рабочей силы на основе активизации творческого потенциала работников всех категорий персонала широкое развитие получают коллективные формы организации и оплаты труда. Использование коллективных расценок поощряет работников к совмещению профессий, взаимозаменяемости и взаимопомощи в процессе труда, практически ликвидирует деление работ на «выгодные» и «невыгодные» и, что очень важно, значительно больше чем старые системы ориентирует на достижение конечных результатов. Коллективные формы заработной платы, с использованием коэффициентов трудового участия, заменяют тарифную индивидуализированную форму оценки труда, т.е. ведут к бестарифной оплате труда.
Зарубежный опыт участия в прибыли. В странах с развитой рыночной экономикой участие работников в получаемой прибыли является одним из сильнодействующих методов мотивации успешного хозяйствования в корпорациях (фирмах).
Если Вам понравилась эта лекция, то понравится и эта - Конституция Республики Беларусь - правовая основа идеологии белорусского государства.
Участие в прибыли широко распространено, например, в Японии. Именно оно является одной из главных причин высокого уровня трудовой мотивации работников и конкурентоспособности изготовляемой продукции. Кроме ежемесячных премий различного характера, постоянным работникам большинства предприятий выплачивается дважды в год из части прибыли так называемый бонус. В среднем он составляет свыше 1'/4 заработка, а в благоприятные для предприятия годы порой достигает суммы шестимесячной основной заработной платы работника.
В течение двух последних десятилетий в США количество фирм, практикующих распределение акций среди персонала, увеличилось почти в два, а численность персонала в них примерно в три раза и составила более 10 % общей численности занятых в экономике. В Англии за этот период количество собственников акций увеличилось втрое и превысило 8 миллионов человек (приблизительно 20 % взрослого населения).
Преобладающее количество собственников «рабочих акций» — это мелкие собственники. Они не имеют реального влияния на стратегию фирмы. Поэтому профсоюзы отдают преимущество коллективным формам финансового участия в капитале не непосредственно, а через инвестиционные фонды, кооперативные профсоюзные банки и другие формы коллективного владения акциями.
Наиболее полно и оригинально эти системы участия применяются в Швеции. Коллективное участие работников в прибыли и собственности (капитале) предприятия в форме фондов трудящихся профсоюзы используют, кроме всего прочего, как средство контроля за частной собственностью и даже за всей экономикой. В разнообразных фондах коллективного владения акциями сочетаются участие в прибыли, в акционерном капитале и в управлении. Для внедрения этой формы экономической демократии в Швеции были созданы особые предпосылки: законодательство, регулирующее участие персонала в собственности и в управлении; высокий уровень профсоюзной организованности; наличие у работников профсоюзов необходимых знаний и навыков управления; активное содействие правительства; наличие теории и программы действий, исходящих из особой шведской модели общественного развития.
В последнее время на многих предприятиях практикуется распространение опционов на акции, т. е. подписка на акции или продажа таковых на льготных условиях, но без права перепродажи в течение, например, пяти лет.
Использование применяемых в зарубежных фирмах оригинальных систем участия работников в прибыли и собственности (капитале) на отечественных предприятиях (организациях), несомненно, будет содействовать развитию высокоэффективных (финансово стабильных, прибыльных) систем хозяйствования, более интенсивному выходу на мировой рынок.























