Простейшая производственная функция экономическом роста
НЕОКЛАССИЧЕСКИЕ ТЕОРИИ
1. Простейшая производственная функция экономическом роста.
2. Модель роста Кобба-Дугласа.
3. Производственная функция и экономический рост меся ного сообщества.
4. Модель экономического роста Солоу.
Неоклассические теории рассматривают экономической развитие с точки зрения количественного роста, в зависимости от величины создаваемого в экономике продукта и получаемого дохода, которые в свою очередь зависят от величины используемых факторов производства (Борте и Стейн, Карлбурм Ричардсон, Сиберт).
Теория экономического роста основана на следующий предположениях:
- во-первых, рынок является совершенно конкурентным;
Рекомендуемые материалы
- во-вторых, ресурсы мобильны, могут свободно перемещаться, а также однородны и делимы;
- в-третьих, нет недостатка и прерывности в рыночной информации;
- в-четвертых, транспортные расходы равны нулю;
- в-пятых, отсутствует эффект масштаба или укрупнения. Таким образом, можно предположить что все, что будет произведено в местном сообществе, будет продано и, следовательно, получен доход.
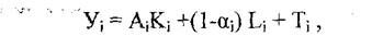
Согласно неоклассической модели роста весь созданный в экономике продукт и получаемый доход появляются в результате определенной взаимосвязи факторов производства, называемой простейшей производственной функцией. С ее помощью можно определить, посредством какой пропорции между отдельными факторами производства достигается оптимальный объем выпуска с точки зрения соотношения затрат и выпуска. Она имеет следующий вид:

где Y - уровень реального дохода или продукта; К - основной капитал, который рассматривается здесь как природный капитал (земля и другие природные ресурсы); общественный (инфраструктура); частный (инвестиции); социальный; L - труд (рабочая сила); Т - технологии, уровень которых различен в разных сообществах.
Изменение количества участвующих основных факторов -труда и капитала - различным образом влияет на величину конечного результата (продукта и дохода). Эластичность дохода по труду и капиталу можно определить в результате математического преобразования производственной функции. В результате получим производственную функцию Кобба-Дугласа:

где а и 1-а - коэффициенты эластичности объема выпуска (дохода Y) по фактору производства, т.е. по капиталу (К) и труду (L).
Значения а могут быть следующие:

Функция Кобба-Дугласа - модель с двумя переменными факторами производства. Параметр Т - коэффициент, отражающий уровень технологической производительности, в краткосрочном периоде он не изменяется. Если каждый из факторов производства (К и L) оплачивается в соответствии со своим предельным продуктом, то и 1-α показывают доли капитала и труда в совокупном доходе. Иными словами, если цена капитала равна предельному продукту капитала, а цена труда - предельному продукту труда, то параметры α и 1- α определяют пропорцию, в которой труд и капитал получают свое вознаграждение за созданный продукт, т.е. долю капитала в доходе αY и долю труда в доходе (1-α)Y. Так как доля капитала и доля труда в доходе в сумме равны единице, то мы имеем дело с постоянной отдачей от масштаба. Можно рассмотреть эмпирические значения параметров функции Кобба-Дугласа: Т=1,1; α = 1/4; 1—α = 3/4. Следовательно, доля капитала в национальном доходе составляет 25%, а доля труда - 75%.
Применительно к местному сообществу можно определи темпы экономического роста для самого местного сообществ; Функция экономического роста будет иметь следующий вид:

где У - темпы роста продукта или реального дохода в местам сообществе; К - темпы изменения объемов капитала; Т - годовые темпы роста технологического процесса; L - темпы роста труда (количества рабочей силы); α - доля капитала в конечном результате (продукте, доходе); 1-а - доля труда в доходе.
Рассмотрим, как может происходить сбалансированный экономический рост в разных местных сообществах.
Рост объема выпуска (дохода) в местных сообществах достигается за счет увеличения производства используемых фа торов производства, однако при этом крайне важно обеспечить эффективность производства. Определение оптимального объема участвующих факторов производства осуществляется я основе их предельной производительности.
Предельная производительность выражается в предельном продукте и определяется как отношение доли фактора производства в доходе к объему использованного фактора. Так, предельная производительность капитала равна

где МРК - предельная производительность капитала; а - дол капитала в доходе У; У - доход, получаемый в сообществе; К -величина используемого капитала.
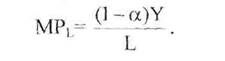
Аналогично определяется и предельный продукт трудя (МР):

Известно, что в основе механизма экономического роста в рамках различных моделей роста лежит макроэкономическое равновесие инвестиций (I) и сбережений (S):

В свою очередь рыночным механизмом, создающим их равенство, является ставка процента, если нет риска и неуверенности, что ставка процента равна норме прибыли.
Вместе с тем, для того чтобы происходил сбалансированный экономический рост в различных местных сообществах, предельный продукт капитала должен быть равен ставке процента (r), определенной на государственном уровне:
(4)
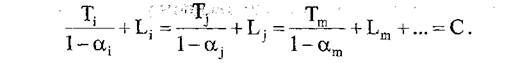
Другими словами, сбалансированный экономический рост в разных местных сообществах означает, что последняя единица капитала, использованного в каждом местном сообществе, дает такой же предельный продукт, как и в любом другом. Для этого необходимо, чтобы темпы изменения дохода (У) были равны темпам изменения капитала (К) при постоянной величине а. Это можно выразить следующим образом:

|
|
|
|
С учетом доли труда в доходе, уровня технологического прогресса сбалансированный темп экономического роста будет иметь вид
Таким образом, чтобы происходил сбалансированный экономический рост в системе местного сообщества (в рамках нескольких территорий, в регионе, в стране), темпы роста дохода
в каждом местном сообществе должны быть равны и постоянны, т.е.

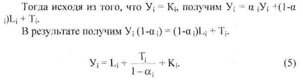
Используя равенство Уi = Кi, получим, что в рамках неоклассической модели роста для обеспечения сбалансированного роста необходимо, чтобы темпы накопления капитала местных сообществах были равны и постоянны.
Рассуждая дальше, видим, что темпы увеличения труда и изменений технологического прогресса в местных сообщества должны быть равны и постоянны:

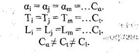
В итоге получаем, что сбалансированность темпов роста регионе, стране зависит от равенства темпов роста доходов (Уi) в местных сообществах, что в свою очередь зависит от равенства темпов накопления капитала (Кi), темпов труда и доли к питала в доходе, а также от технологического прогресса в местных сообществах. Таким образом, доля капитала, технологический процесс и рост рабочей силы равны в местных сообществах и будут постоянны с течением времени:

Для того чтобы доля капитала в доходе оставалась постоянной в рамках местного сообщества, необходимо, чтобы технология была заданной (нейтральной) по-своему воздействия на труд и капитал. Это означает, что технология изменяет лишь производственную функцию, но не предельную норму замещения между трудом и капиталом. Таким образом, либо капитал и труд должны совершенно заменять друг друга, либо (если технология не нейтральная) технологические изменения должны компенсироваться изменениями капиталоемкости ΔАК/У (величины капитала в доходе).
Рассмотренные условия обеспечения сбалансированного роста (равенство всех элементов роста) на практике встречаются крайне редко.
В разных местных сообществах имеются отличия в капиталоемкости, технологическом прогрессе, росте рабочей силы, но при этом сохраняется равенство темпов экономического роста. Ключевым элементом сбалансированности является гибкая капиталоемкость. Например, если снизить темпы роста труда, а капиталоемкость оставить неизменной, то местные сообщества с более медленным ростом труда могут сохранить темпы роста дохода, одинаковые с другими сообществами, заменив труд на технологии или внедрив технологические новшества. Можно производить и другие изменения в местных сообществах, обеспечивая при этом одинаковые темпы роста.
Существует еще одна теоретическая модель экономического роста, которая также базируется на производственной функции - это модель роста Солоу. Цель данной модели - ответить на три важнейших вопроса экономической политики: как добиться высоких и стабильных темпов роста; как одновременно с этим найти максимальный объем потребления; какое влияние на экономический рост оказывает увеличение населения и внедрение новых технологий.
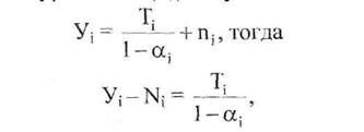
Если в местном сообществе происходит рост численности населения, то это может привести к сокращению дохода на душу населения. В данном случае величина общего дохода сообществ будет зависеть от уровня технологического прогресса и от доли труда в конечном продукте.
Преобразовав уравнение (5), получим

где N - рост населения, равный росту труда (при условии, что доля труда в доходе неизменна).
Например, если темпы роста населения не меняются в местном сообществе (Ni = Nj), то любые технологические изменения в них (Тi не равно Tj) обусловят неравенство темпов экономического роста среди сообществ. Вместе с тем равенство темпов роста среди местных сообществ (Уi = Уj) при различных уровнях технологического прогресса (Ti, > Тj) можно поддерживать, если доля капитала в местном сообществе с более медленным технологическим прогрессом превысит долю капитала в сообществе с более быстрым технологическим обновлением (аj > аi).
При этом предельный продукт капитала в двух сообществах должен быть одинаковым (МРкi = МРkj = r). Это может произойти только в том случае, если капиталоемкость в местном сообществе ΔК/У с более медленным технологическим прогрессом превысит капиталоемкость в сообществе с быстрым технологическим обновлением, т.е.

Люди также интересуются этой лекцией: 10 Кадровый потенциал предприятия.
Обобщая изложенное, следует отметить, что неоклассическая модель экономического роста предполагает, что рост дохода в местном сообществе может быть обеспечен в результате любого из экономических действий:
1) увеличения предложения капитала;
2) роста предложения труда или роста населения;
3) каких-либо технологических изменений;
4) перемещения ресурсов от использования с низкой производительностью к использованию с более высокой производительностью.
Неоклассическая модель экономического роста, являясь общей теорией роста, лежит в основе двух теорий развития: теории производительности факторов производства и теории местной ресурсной базы.
























