Сглаживание временных рядов с помощью скользящей средней
Тема 4: Сглаживание временных рядов с помощью скользящей средней.
Распространенным приемом при выявлении тенденции развития является сглаживание временного ряда. Суть различных приемов сглаживания сводится к замене фактических уровней временного ряда расчетными уровнями, которые подвержены колебаниям в меньшей степени. Это способствует более четкому проявлению тенденции развития. Иногда сглаживание применяют как предварительный этап перед использованием других методов выделения тенденции
Скользящие средние позволяют сгладить как случайные, так и периодические колебания, выявить имеющуюся тенденцию в развитии процесса, и поэтому, являются важным инструментом при фильтрации компонент временного ряда.
Если рассматриваемое явление носит линейный характер, то применяется простая скользящая средняя. Алгоритм сглаживания по простой скользящей средней может быть представлен в виде следующей последовательности шагов:
1. Определяют длину интервала сглаживания g, включающего в себя g последовательных уровней ряда (g<n). При этом надо иметь в виду, что чем шире интервал сглаживания, тем в большей степени взаимопогашаются колебания, и тенденция развития носит более плавный, сглаженный характер. Чем сильнее колебания, тем шире должен быть интервал сглаживания.
2. Разбивают весь период наблюдений на участки, при этом интервал сглаживания как бы скользит по ряду с шагом, равным 1.
3. Рассчитывают арифметические средние из уровней ряда, образующих каждый участок.
4. Заменяют фактические значения ряда, стоящие в центре каждого участка, на соответствующие средние значения.
При этом удобно брать длину интервала сглаживания g в виде нечетного числа: g=2p+1, т.к. в этом случае полученные значения скользящей средней приходятся на средний член интервала.
Рекомендуемые материалы
Наблюдения, которые берутся для расчета среднего значения, называются активным участком сглаживания.
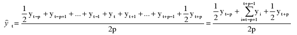
При нечетном значении g все уровни активного участка могут быть представлены в виде: yt-p, yt-p+1, ... , yt-1, yt, yt+1, ... , yt+p-1, yt+p,
а скользящая средняя определена по формуле:

Процедура сглаживания приводит к полному устранению периодических колебаний во временном ряду, если длина интервала сглаживания берется равной или кратной циклу, периоду колебаний.
Для устранения сезонных колебаний желательно было бы использовать четырех- и двенадцатичленную скользящие средние, но при этом не будет выполняться условие нечетности длины интервала сглаживания. Поэтому при четном числе уровней принято первое и последнее наблюдение на активном участке брать с половинными весами:

Тогда для сглаживания сезонных колебаний при работе с временными рядами квартальной или месячной динамики можно использовать следующие скользящие средние:

При использовании скользящей средней с длиной активного участка g=2p+1 первые и последние p уровней ряда сгладить нельзя, их значения теряются. Очевидно, что потеря значений последних точек является существенным недостатком, т.к. для исследователя последние "свежие" данные обладают наибольшей информационной ценностью. Рассмотрим один из приемов, позволяющих восстановить потерянные значения временного ряда. Для этого необходимо:
1.Вычислить средний прирост на последнем активном участке yt-p, yt-p+1, ... , yt, ... , yt+p-1, yt+p

2.Получить P сглаженных значений в конце временного ряда путем последовательного прибавления среднего абсолютного прироста к последнему сглаженному значению.
Аналогичную процедуру можно реализовать для оценивания первых уровней временного ряда.
Метод простой скользящей средней применим, если графическое изображение динамического ряда напоминает прямую. Когда тренд выравниваемого ряда имеет изгибы, и для исследователя желательно сохранить мелкие волны, применение простой скользящей средней нецелесообразно.
Если для процесса характерно нелинейное развитие, то простая скользящая средняя может привести к существенным искажениям. В этих случаях более надежным является использование взвешенной скользящей средней.
При построении взвешенной скользящей средней на каждом участке сглаживания значение центрального уровня заменяется на расчетное, определяемое по формуле средней арифметической взвешенной, т.е. уровни ряда взвешивают.
Взвешенная скользящая средняя приписывает каждому уровню вес, зависящий от удаления данного уровня до уровня, стоящего в середине участка сглаживания.
При сглаживании по взвешенной скользящей средней используются полиномы второго (парабола) или третьего порядка.
Сглаживание с помощью взвешенной скользящей средней осуществляется следующим образом: для каждого участка сглаживания подбирается полином вида:
Yi = aj + a1t
Yi = ao + a1t + a2t2+… aptp
Параметры полинома находятся по методу наименьших квадратов.
При этом начало отсчета переносится в середину участка сглаживания, например, если длина интервалов сглаживания = 5, то индексы уровней участка сглаживания будут равны: -2, -1, 0, 1, 2.
| у | t | t | t |
| у1 | -2 | 4 | 16 |
| у2 | -1 | 1 | 1 |
| у3 | 0 | 0 | 0 |
| у4 | 1 | 1 | 1 |
| у5 | 2 | 4 | 16 |
|
| 10 | 34 |
Тогда сглаживающим значением для уровня, стоящего в середине участка сглаживания, будет значение параметра а0.
Нет необходимости каждый раз заново вычислять весовые коэффициенты при уровнях ряда, входящих в участок сглаживания, поскольку они будут одинаковыми для каждого участка сглаживания, например, если в интервал сглаживания входит 5 последующих уровней ряда и выравнивание производится по параболе, то коэффициенты параболы находят по методу наименьших квадратов, учитывая, что
t = 0.
Метод наименьших квадратов в этой ситуации дает следующую систему уравнений:

Для нахождения параметра а0 используют 1 и 3 уравнение

-
34
-
=5*34а0-10*10а0
34
-
=а0(170-100)
а0=

Если длина интервала сглаживания равна 7, весовые коэффициенты следующие:

Отметим важные свойства приведенных весов:
1) Они симметричны относительно центрального уровня.
Люди также интересуются этой лекцией: 19 Гидравлические сопротивления.
2) Сумма весов с учетом общего множителя, вынесенного за скобки, равна единице.
3) Наличие как положительных, так и отрицательных весов, позволяет сглаженной кривой сохранять различные изгибы кривой тренда.
Существуют приемы, позволяющие с помощью дополнительных вычислений получить сглаженные значения для Р начальных и конечных уровней ряда при длине интервала сглаживания g=2p+1.




Весовые коэффициенты при сглаживании по полиномам второго и третьего порядка



























