Сущность и элементы оборотного капитала предприятия
Тема 2. Сущность и элементы оборотного капитала предприятия.
1. Структура денежного оборота предприятия. Классификация оборотных средств.
2. Политика формирования запасов.
3. Политика управления дебиторской задолженностью.
4. Политика управления денежными средствами
1. Структура денежного оборота предприятия. Классификация оборотных средств.
Рассмотрим общие подходы к решению вопроса, куда вложите финансовые ресурсы с наибольшей эффективностью, отражающего, как несложно заметить, инвестиционный аспект системы управления финансами. Заметим, что речь идет о расширенном понимании этого термина, т.е. о распределении общего объема финансовых ресурсов' на конкретные виды активов или, точнее, об оптимизации актива баланса. В активной стороне баланса представлены две группы активов: долгосрочные и краткосрочные. Первые, по сути, определяют политику организации в отношении вида бизнеса, ее материально– технической базы (речь идет собственно об инвестиционной деятельности, заключающейся в выборе варианта долгосрочного вложений капитала), т.е. отражают долгосрочную политику организации; вторые — политику в отношении текущего управления финансами (речь идет об управлении оборотными активами).
Оборотный капитал — это капитал организации, вложенный в оборотные активы (оборотные средства), возобновляемые с определенной регулярностью для обеспечения текущей деятельности. Оборотный капитал как минимум однократно оборачивается в течение года или одного производственного цикла, если последний превышает гол Под оборачиваемостью капитала в данном случае подразумевается трансформация финансовых ресурсов, происходящая в организации циклически (рис. 4.1).

Рекомендуемые материалы
Операционный цикл представляет собой период полного оборота всей суммы оборотного капитала, в процессе которого происходит смена отдельных их видов.
Как видно из рис. 4.1 движение оборотных средств организации в процессе операционного цикла проходит четыре основные стадии, последовательно меняя свои формы.
На первой стадии денежные средства (включая их субституты кроме краткосрочных финансовых вложений) используются для приобретения товаров, т.е. входящих запасов материальных оборотных средств,
На второй стадии входящие запасы материальных оборотных средств в результате непосредственной производственной деятельности превращаются в запасы готовой продукции.
На третьей стадии запасы готовой продукции реализуются потребителям и до наступления их оплаты преобразуются в дебиторскую задолженность.
На четвертой стадии инкассированная, т.е. оплаченная, дебиторская задолженность вновь преобразуется в денежные средства, часть которых до их производственного востребования может храниться и в виде высоколиквидных краткосрочных финансовых вложений.
Важнейшей характеристикой операционного (коммерческого) цикла, существенно влияющей на объем, структуру и эффективность использования оборотного капитала, является его продолжительность, Она включает период времени от момента расходования организацией денежных средств на приобретение входящих запасов материального оборотного капитала до поступления денег от дебиторов за реализованную им продукцию.
Принципиальная формула, по которой рассчитывается продолжительность операционного цикла организации, имеет вид [4. С. 151]:
(4.1)
где ПОЦ — продолжительность операционного цикла организации, в днях; ПОДА — период оборота среднего остатка денежного оборотного капитали (включая их субституты в форме краткосрочных финансовых вложений), в днях;
ПОМЗ – продолжительность оборота запасов сырья, материалов и других материальных факторов производства в составе оборотного капитала, в днях;
ПОГП — продолжительность оборота запасов готовой продукции, в днях; ПОДЗ — продолжительность инкассации дебиторской задолженности в днях.
В процессе управления оборотным капиталом в рамках операционного цикла выделяют две основные составляющие:
■ производственный цикл организации;
■ финансовый цикл (или цикл денежного оборота) организации
Производственный цикл организации характеризует период полного оборота материальных элементов оборотных средств, используемых для обслуживания производственного процесса, начиная с момента поступления товаров в организацию и заканчивая моментом отгрузки покупателям.
Продолжительность производственного цикла организации определяется по следующей формуле [4. С. 1521:
(4.2)1
где ППЦ — продолжительность производственного цикла организации в днях;
ПОСМ — период оборота среднего запаса сырья, материалов и полуфабрикатов, в днях;
ПОНЗ — период оборота среднего объема незавершенного производства в днях;
ПОга — период оборота среднего запаса готовой продукции, в днях.
Финансовый цикл (цикл денежного оборота) организации представляет собой период полного оборота денежных средств, инвестированных в оборотный капитал, начиная с момента погашения кредиторской задолженности за полученные товары и заканчивая! инкассацией дебиторской задолженности за реализацию товаров.
Продолжительность финансового цикла (или цикла денежного оборота) организации определяется по следующей формуле [4. С. 153]:
(4.3)
Где ПФЦ — продолжительность финансового цикла (цикла денежного оборота) организации, в днях; ППЦ — продолжительность производственного цикла организации, в днях; ПОдз — средний период оборота дебиторской задолженности, в днях; ПОКЗ — средний период оборота кредиторской задолженности, в днях.
Классификация оборотных активов может быть построена по следующим основным признакам (рис. 4.2) [4].

Рассмотрим эту классификацию подробнее.
1. По характеру финансовых источников формирования:
валовые оборотные активы (или оборотные средства в целом) характеризуют общий их объем, сформированный за счет как собственного, так и заемного капитала. В составе отчетного баланса организации они отражаются как сумма второго и третьего разделов его актива;
чистые оборотные активы (или чистый рабочий капитал) — характеризуют ту часть их объема, которая сформирована за счет собственного и долгосрочного заемного капитала.
ЧОА = ОА - КФО, (4.4)
где ЧОА — сумма чистых оборотных активов организации; ОА — сумма валовых оборотных активов организации; КФО — краткосрочные текущие финансовые обязательства организации;
собственные оборотные активы (или собственные оборотные средства) —характеризуют ту их часть, которая сформирована за счет собственного капитала организации.
Сумму собственных оборотных активов организации рассчитывают по формуле [4. С. 149]:
СОА = ОА - ДЗК - КФО,
где СОА ~ сумма собственных оборотных активов организации;
ОА — сумма валовых оборотных активов организации; ДЗК — долгосрочный заемный капитал, инвестированный в оборотные активы организации; КФО — краткосрочные (текущие) финансовые обязательства организации.
Если организация не использует долгосрочный заемный капитал для финансирования оборотных средств, то суммы собственных и чистый оборотных средств совпадают.
2. По видам оборотных активов:
запасы сырья, материалов и полуфабрикатов. Этот вид оборотных активов характеризует объем входящих материальных потоков в форме запасов, обеспечивающих производственную деятельность организации;
запасы готовой продукции. Этот вид оборотных средств характеризует объем выходящих материальных потоков в форме запасов произведенной продукции, предназначенной к реализации. В практике к этому виду оборотных средств добавляют обычно объем незавершенного производства (с оценкой коэффициента его завершенности по отдельным видам продукции в целом). При значительном объеме и продолжительности цикла незавершенного производства его выделяют в процессе финансового менеджмента в отдельный вид оборотных средств;
дебиторская задолженность. Она характеризует сумму задолженности в пользу организации, представленную финансовыми обязательствами юридических и физических лиц по расчетам за товары, работы, услуги, выданные авансы и т.п.;
денежные активы. На практике к ним относят не только остатки денежных средств в национальной и иностранной валюте (во всех их формах), но и сумму краткосрочных финансовых вложений, которые рассматриваются как форма инвестиционного использования временно свободного остатка денежного оборотного капитала (так называемый спекулятивный остаток денежных средств);
прочие виды оборотных активов. К ним относятся оборотные активы, не включенные в состав вышерассмотренных, если они отражаются в общей их сумме (расходы будущих периодов и т.п.).
3. По характеру участия в операционном процессе:
оборотные активы, обслуживающие, производственный цикл организации (запасы сырья, материалов и полуфабрикатов; объем незавершенного производства; запасы готовой продукции);
оборотные активы, обслуживающие финансовый (денежный) цикл организации (дебиторская задолженность и др.).
Более подробно дифференциация оборотных активов по этому признаку будет рассмотрена при характеристике производственного и финансового (денежного) циклов организации.
4. По периоду функционирования оборотного капитала:
постоянная часть оборотных активов. Она представляет собой неизменную их часть, которая не зависит от сезонных и других колебаний операционной деятельности организации и не. связана с формированием запасов товарно-материальных ценностей сезонного хранения, досрочного завоза и целевого назначения;
переменная часть оборотных активов. Она представляет собой варьирующую их часть, которая связана с сезонным возрастанием объема производства и реализации продукции, необходимостью формирования в отдельные периоды хозяйственной деятельности организации запасов товарно-материальных ценностей сезонного хранения, досрочного завоза и целевого назначения. В составе этого вида оборотных средств обычно выделяют максимальную и среднюю их части.
Управление использованием оборотного капитала организации связано с конкретными особенностями формирования его операционного цикла.
2. Политика формирования запасов
В системе управления финансами этот объект понимается в более широком смысле нежели просто сырье и материалы, необходимые для производственного процесса. К нему также относятся незавершенное
производство, готовая продукция, товары для перепродажи и др. Для финансовых менеджеров и аналитиков предметно-вещественная природа запасов не имеет особого значения, важна лишь общая сумма денежных средств, «омертвленных» в запасах в течение технологического (производственного) цикла, именно поэтому можно объединить эти на первый взгляд разнородные активы в одну группу.
Управление запасами имеет огромное значение как в технологическом, так и в финансовом аспекте. С позиции управления финансами организации запасы — это иммобилизованные средства, т.е. средства, в известном смысле отвлеченные из оборота. Понятно, что без такой вынужденной иммобилизации не обойтись, однако вполне естественно желание минимизировать вызываемые этим процессом косвенные потери, с определенной долей условности численно равные доходу, который можно было бы получить, инвестировав соответствующую сумму в какой-то альтернативный проект (например, альтернативой «омертвлению» средств в запасах является размещение некоторой. их части в банке под проценты или приобретение ликвидных ценным бумаг). Кстати, эти косвенные потери при определенных обстоятельствах могут стать и прямыми. Исследования показывают, что при вынужденной реализации активов, например в случае банкротства компании, многие оборотные средства «вдруг» попадают в разряд неликвидов, а вырученная за них сумма может быть гораздо ниже учетной стоимости.
Формализация политики управления запасами требует ответа на следующие вопросы:
1) можно ли в принципе оптимизировать политику управления величиной запасов;
2) какой объем запасов является минимально необходимым;
3) когда следует заказывать очередную партию запасов;
4) каков должен быть оптимальный объем заказываемой партии?
Политика управления запасами представляет собой часть общей политики управления оборотными активами организации, заключающейся в оптимизации общего размера и структуры запасов товарно-материальных ценностей, минимизации затрат по их обслуживанию] и обеспечению эффективного контроля за их движением.
Разработка политики управления запасами охватывает ряд последовательно выполняемых этапов работ, основными из которых являются:
1) анализ запасов товарно-материальных ценностей в предшествующем периоде. Основной задачей данного анализа является выявление уровня обеспеченности производства и реализации продукции соответствующими запасами товарно-материальных ценностей в предшествующем периоде и оценка эффективности их использования. Анализ проводится в разрезе основных видов запасов;
2) определение целей формирования запасов. Ими могут быть:
■ обеспечение текущей производственной деятельности (текущие запасы сырья и материалов),
■ обеспечение текущей сбытовой деятельности (текущие запасы готовой продукции)',
■ накопление сезонных запасов, обеспечивающих хозяйственный процесс в предстоящем периоде;
3) оптимизация размера основных групп текущих запасов. С этой целью используется ряд моделей, среди которых наибольшее распространение получила модель экономически обоснованного размера заказа. Она может быть использована как для оптимизации размера производственных запасов, так и запасов готовой продукции. Расчетный механизм этой модели основан на оптимизации совокупных операционных затрат по закупке и хранению запасов в организации. Эти затраты предварительно разделяются на две группы:
а) сумма затрат по размещению заказов (включающих расходы по транспортированию и приемке товаров)

где Z2 — сумма операционных затрат по размещению заказов;
О — объем производственного потребления товаров в рассматриваемом периоде;
Q — средний размер одной партии поставки товаров. S — средняя стоимость размещения одного заказа;
Из приведенной формулы видно, что при неизменном объеме производственного потребления и средней стоимости размещения одного заказа общая сумма операционных затрат по размещению заказов минимизируется с ростом среднего размера одной партии поставки товаров;
б) сумма затрат по хранению товаров на складе:
где Zj — сумма операционных затрат по хранению товаров на складе;
С — стоимость хранения единицы товара в рассматриваемом периоде.
Из приведенной формулы видно, что при неизменной стоимости хранения единицы товара в рассматриваемом периоде общая сумма операционных затрат по хранению товарных запасов на складе минимизируется при снижении среднего размера одной партии поставки товаров.
Таким образом, с ростом среднего размера одной партии поставки товаров снижаются Z2 и возрастают Z,. Данная модель позволяет оптимизировать пропорции между этими двумя группами затрат таким образом, чтобы их совокупная сумма была минимальной.
Определение экономичного (оптимального) запаса показано на рис. 4.3.

Выбор политики управления запасами практически заключается в ответе на один, достаточно простой вопрос, какая величина запасов! является для организации оптимальной.
Очевидно, что запасы организации нужны для того, чтобы выполнять заказы своих клиентов на приобретение товаров в нужном количестве и в установленные сроки. Однако запасы требуют расходов на их содержание, пока они не «дождутся своего часа» и не будут реализованы. Причем потери организации возрастают, прежде всего за счет отвлечения из оборота части капитала, инвестированного в запасы. Поэтому организация должна найти для себя оптимальное сочетание между издержками и выгодами от выбранного уровня товарных запасов и определить, какая величина запасов по каждой товарной группе (или даже позиции) является достаточной. При этом желательно от чисто эмпирических наблюдений за ситуациями типа «есть заказы — нет товаров» или «есть запасы — не хватает денег» перейти к более объективным критериям. В качестве базовых индикаторов качества выбранной политики управления запасами могут использоваться как непосредственные, так и более обобщенные критерии, а также их различные комбинации. К ним можно отнести следующие.
1.Показатели достаточности запасов для удовлетворения покупательского спроса. Например, так называемый уровень обслуживания, под которым понимается процент от общего объема имеющихся запросов, который удовлетворен из наличных материальных запасов без дополнительного заказа.
2.Показатели, основанные на поиске оптимального размера закала, исходящие из соотношения стоимости хранения запасов и стоимости выполнения заказа. Издержки хранения выступают ограничением на размер запасов. Причем в стоимость хранения входят «вмененные» издержки. Они характеризуют прибыль, которая могла бы быть получена, если бы средства не были использованы для образования запаса, а пущены в оборот». Большие размеры заказа и, следовательно, меньшее их количество уменьшают стоимость выполнения заказов, но приводят к увеличению стоимости хранения запасов. Поэтому, необходимо найти баланс между стоимостью хранения, с одной стороны, и операциями по заказу товаров, с другой стороны.
3.Индикаторы, связанные с характеристиками денежных потоков от операций по закупке и реализации товара. Например, величина чистого дисконтированного денежного потока, равная разнице между дисконтированной величиной средств, которые направлены на закупку товара, и средств, полученных от реализации (в течение расчетного периода). За величину дисконта может быть принята средняя рентабельность инвестиций организации или величина действующей ставки банковского кредита.
4. Индикаторы, отражающие рентабельность деятельности предприятия при различных методах управления запасами. Например, рентабельность активов (ROA) в течение расчетного периода, определяемая отношением:
Первый показатель характеризует рентабельность оборота или «рентабельность продаж», второй — характеризует «оборачиваемость активов» за период. Наличие излишних, избыточных запасов приводит к увеличению показателя «активы» и, следовательно, к снижению оборачиваемости. Необходимо определить оптимальную величину инвестиций в запасы, которая, увеличивая «оборачиваемость активов», не приводила бы к снижению ROA (за счет уменьшения оборота).
С точки зрения методологии, в литературе можно проследить относительно четкие направления построения систем управленческого учета. Что же касается практического применения, гораздо труднее в реально действующей организации выявить причинно-следственную связь затраты — процесс (работа, активность) — результат (продукта услуга).
В управлении запасами часто прибегают к объемно-стоимостному анализу, т.е. разделению номенклатуры на группы в соответствии с объемами реализации по позициям. В большинстве случаев объемно-стоимостный анализ показывает, что основной объем реализации (70—80%) обеспечивается весьма немногими номенклатурными позициями (10-1 20%). Соответственно издержки управления запасами в основном зависят от динамики по этой ограниченной номенклатуре.
Это свойство запасов позволяет применять при управлении ими принцип Парето: в первую очередь подлежат контролю позиции, обладающие наибольшим объемом реализации, или наибольшей рублевой активностью. При проведении объемно-стоимостного анализа вся номенклатура запасов делится на две группы: запасы с высокой рублевой активностью, т.е. обеспечивающие основной объем реализации, и запасы с низкой рублевой активностью. Если желательно подразделить запасы более чем на две классификационные группы, то прибегают к системе ABC-анализа. По этой системе запасы подразделяются на три группы: «А», «В» и «С».
Группа «А» включает ограниченное количество наиболее ценных видов ресурсов, которые требуют постоянного и скрупулезного учета и контроля (возможно даже ежедневного). Для этих ресурсов обязателен расчет оптимального размера заказа.
Группа «В» составлена из тех видов товарно-материальных запасов, которые в меньшей степени важны для организации и которые оцениваются и проверяются при ежемесячной инвентаризации; для товарно-материальных запасов этой группы, как и группы «А», приемлемы методики определения оптимального размера заказа.
Группа «С» включает широкий ассортимент оставшихся малоценных видов товарно-материальных запасов, закупаемых обычно в большом количестве.
Распределение запасов показано на рис. В соответствии с принципом Парето, товары группы «А» подлежат более тщательному учету и более частой инвентаризации, спрос на них прогнозируется с помощью более сложных методик и более часто, внимательно контролируется своевременное пополнение этих запасов. В то время как потребность в активных товарах определяется более точным методом прогнозирования сбыта, потребность в малоактивных товарах может определяться менее точным и более дешевым способом

учета прошлого опыта. Неоптимальное управление малоактивными товарами слабо влияет на общие показатели управления запасами. Учитывая это, руководители с целью снижения напряженности управленческого труда могут осуществлять закупки исходя из годовой потребности по номенклатуре малоактивных товаров. Таким образом, использование принципа Парето в управлении товарными запасами означает, что вся номенклатура делится на группы по критерию активности. Группа «А», как «наиболее активная», подвергается самому тщательному контролю, группе «В» оказывается меньше управленческого внимания, а группа «С» обслуживается «наименее активно». Данный метод анализа получил большое развитие благодаря своей универсальности и эффективности. Результатом ABC-анализа является группировка объектов по степени влияния на общий результат:
■ первый шаг: определить объекты анализа (клиент, поставщик, товарная группа (подгруппа), номенклатурная единица);
■ второй шаг: определить параметр, по которому будет проводиться анализ объекта (средний товарный запас (руб.); объем продаж (руб.); доход (руб.); количество единиц продаж (шт.); количество заказов (шт.));
■ третий шаг: сортировка объектов анализа в порядке убывания значения параметра;
■ четвертый шаг: определение групп «А», «В» и «С».
Для определения принадлежности выбранного объекта к группе необходимо:
1) рассчитать долю параметра от общей суммы параметров выбранных объектов;
2) рассчитать эту долю с накопительным итогом;
3) присвоить значения групп выбранным объектам.
Классификация ABC-анализа позволяет сосредоточиться на контроле только за наиболее важными видами товарно-материальных ценностей (группы «А» и «В») и тем самым сэкономить время, ресурсом и повысить эффективность управления.
Для товарно-материальных запасов, которые попадают в группы «А» и «В», на основе плана продаж следует определить размер наиболее экономичного объема заказа.
Выше были введены следующие обозначения величин, которые используются в расчетах:
О — стоимость выполнения одного заказа (расходы на размещение заказа, издержки по получению и проверке товаров);
С — затраты по содержанию на единицу запасов за некоторый период, в том числе расходы по хранению, транспортировке, страхованию вместе с требуемым уровнем прибыли на инвестированный в запасы капитал;
3 — величина расхода единиц за тот же период.
Предположим, что стоимость выполнения одного заказа (О), затраты по содержанию единицы запасов (С) и величина расходам товарно-материальных ценностей за некоторый период (3) являются 1 постоянными. Если также принять, что расход запасов устойчив во времени, то
где Q — заказанный объем запасов (в ед.), причем предполагается, что он не изменяется в течение всего рассматриваемого времени.
Иллюстрацию наиболее оптимального размера заказа см. на рис. 4.5. 
Оптимальный размер заказа определяется по формуле
;
Кроме этого, можно выделить два основных метода определения потребности организации в запасах:
■ технологического нормирования;
■ сравнительного анализа счетов.
Технологическое нормирование используют, как правило, при определении потребности в материалах на производственные цели. На больших и средних промышленных предприятиях существуют удельные нормы расхода по видам сырья и материалов в расчете на одну единицу отдельного вида продукции.
Метод сравнительного анализа счетов является более простым, по одновременно дает более грубую оценку. Он применяется в основном к той части основных материалов, которая относится на сбытовые расходы, либо для всех основных материалов в небольших организациях, где отсутствует система технологического нормирования. Суть метода заключается в том, что за ряд прошлых периодов по данным оперативной отчетности сопоставляются объемы производства и сбыта с динамикой расходования ресурсов и на основе средневзвешенной устанавливаются нормы расхода на плановый период.
Суммируя производственные и сбытовые потребности в разрезе отдельных видов материальных оборотных ресурсов, определяют потребность в основных материалах.
3. Политика управления дебиторской задолженностью
В отличие от производственных запасов и незавершенного производства, которые достаточно статичны, не могут быть резко изменены, поскольку в значительной степени определяются сутью технологического процесса, дебиторская задолженность представляет собой весьма вариабельный и динамичный элемент оборотных средств, существенно зависящий от принятой в организации политики в отношении покупателей продукции. Поскольку дебиторская задолженность представляет собой иммобилизацию собственных оборотных средств, т.е. в принципе она не выгодна организации, то с очевидностью напрашивается вывод о ее максимально возможном сокращении. Теоретически дебиторская задолженность может быть сведена до минимума, тем не менее этого не происходит по многим причинам, в том числе и по причине конкуренции.
С позиции возмещения стоимости поставленной продукции продажа может быть осуществлена одним из трех способов:
■ предоплата (товар оплачивается полностью или частично до передачи его продавцом);
■ оплата за наличный расчет (товар оплачивается полностью в момент передачи товара, т.е. происходит как бы обмен товара на деньги);
■ оплата в кредит (товар оплачивается через определенное время после его передачи покупателю).
В рыночной экономике именно последний способ является основным и осуществляется обычно в виде безналичных расчетов, основными формами которых являются платежное поручение, аккредитив, расчеты по инкассо и расчетный чек. Последняя схема наиболее не выгодная продавцу, поскольку ему приходится кредитовать покупателя, однако именно она является основной в системе расчетов за поставленную продукцию. При оплате с отсрочкой платежа как раз и возникает дебиторская задолженность по товарным операциям как естественный элемент подобной общепринятой системы расчетов.
Вырабатывая политику кредитования покупателей своей продукции, организация должна определиться по следующим ключевым вопросам:
■ срок предоставления кредита (чаще всего в организации существует несколько типовых договоров, предусматривающих предельный срок оплаты продукции);
■ стандарты кредитоспособности (критерии, по которым поставщик определяет финансовую состоятельность покупателя и вытекающие отсюда возможные варианты оплаты);
■ система создания резервов по сомнительным долгам (предполагается, что, как бы ни была отлажена система работы с дебиторами, всегда существует риск неполучения платежа, хотя бы по форс-мажорным обстоятельствам; поэтому, исходя из принципа осторожности, необходимо заранее создавать резерв на потери в связи с несостоятельностью покупателя);
■ система сбора платежей (сюда входят процедуры взаимодействия с покупателями в случае нарушения условий оплаты, совокупность критериальных значений показателей, свидетельствующих и существенности нарушений в оплате, система наказания недобросовестных контрагентов и др.);
■ система предоставляемых скидок (в рыночной экономике является обычной практика предоставления скидок в случае оговоренного и достаточно короткого периода оплаты поставленной продукции).
Эффективная система установления взаимоотношений с покупателями подразумевает:
■ качественный отбор клиентов, которым можно предоставлять кредит;
■ определение оптимальных условий кредитования;
■ четкую процедуру предъявления претензий;
■ контроль за тем, как клиенты исполняют условия договоров.
Как бы ни была эффективна система отбора покупателей, в ходе взаимодействия с ними не исключаются всевозможные накладки, поэтому организация вынуждена создать некоторую систему контроля ia исполнением покупателями платежной дисциплины.
Эта система, называемая системой администрирования взаимоотношений с покупателями, подразумевает:
■ регулярный мониторинг дебиторов по видам продукции, объему задолженности, срокам погашения и др.;
■ минимизацию временных интервалов между моментами завершения работ, отгрузки продукции, предъявления платежных документов;
■ направление платежных документов по надлежащим адресам;
■ аккуратное рассмотрение запросов клиентов об условиях оплаты;
■ четкую процедуру оплаты счетов и получения платежей.
Наиболее употребительными способами воздействия на дебиторов с целью погашения задолженности являются направление писем, телефонные звонки, персональные визиты, продажа задолженности специальным организациям.
Управление дебиторской задолженностью подразумевает также обязательное проведение сравнительного анализа величины дебиторской задолженности с величиной кредиторской задолженности. Для финансового положения организации очень важно, чтобы дебиторская задолженность не превышала кредиторскую.
Если балансовые остатки дебиторской задолженности превышают остатки кредиторской задолженности, это может быть отражением следующих обстоятельств:
1) дебиторы платят реже, чем организация должна платить кредиторам, т.е. оборачиваемость дебиторской задолженности в днях превышает оборачиваемость кредиторской задолженности в днях;
2) средняя однодневная дебиторская задолженность превышает среднюю однодневную кредиторскую задолженность;
3) на балансе организации находится большая просроченная дебиторская задолженность, а просроченная кредиторская задолженность или меньше, или вообще отсутствует.
Сам по себе факт превышения дебиторской задолженности нал кредиторской способствует росту платежеспособности организации, но одновременно влияет на увеличение потребности в собственных оборотных средствах. В зависимости от уровня платежеспособности и обеспеченности собственными оборотными средствами названный факт может быть как благоприятным, так и неблагоприятным для финансового состояния организации.
Управление дебиторской задолженностью заключается также в создании резервов по сомнительным долгам и анализе фактических потерь, связанных с непогашением дебиторской задолженности.
Сомнительной признается дебиторская задолженность, которая не погашена в установленный срок, а если он не установлен, то в течение необходимого для этого времени, а также задолженность, которая не обеспечена соответствующими гарантиями. Резервы по сомнительным требованиям создаются в конце года на основании данных инвентаризации дебиторской задолженности.
Организации создают резервы по сомнительным требованиям по расчетам с другими организациями, а также с отдельными физическими лицами. Размер резерва определяется по каждой сумме сомнительного требования с учетом финансового состояния (платежеспособности) должника и оценки вероятности погашения им долга в полном || размере или частично.
При образовании резерва по сомнительным требованиям организация вправе по своему усмотрению выбирать в учетной политике один! из следующих методов:
■ метод процента от объема реализации, выполненных работ (оказанных услуг);
■ метод учета счетов по срокам оплаты.
Метод процента от объема реализации, выполненных работ (оказанных услуг). Сущность данного метода заключается в определении || процента сумм безнадежных долгов в общем объеме реализации. Для того чтобы определить процент образования резерва по сомнительным требованиям, необходимо проанализировать объем реализации товаров, выполненных работ (оказанных услуг) и сумму неоплаченных счетов. I
Метод учета по срокам оплаты заключается в определении процента сомнительных требований по сроку оплаты задолженности. Для определения этого процента, необходимо классифицировать все счета к получению по следующим категориям:
■ счета, срок оплаты которых еще не наступил;
■ счета со сроком оплаты от 1 до 30 дней;
■ счета со сроком оплаты от 31 до 60 дней;
■ счета со сроком оплаты от 61 до 90 дней;
■ счета со сроком оплаты более 90 дней.
Для каждой категории определяется прогнозируемый процент сомнительных долгов.
Формирование политики управления дебиторской задолженностью организации (или ее кредитной политики по отношению к покупателям продукции) осуществляется по следующим основным этапам (рис. 4.6) [5].

Рассмотрим каждый этап более подробно.
Анализ дебиторской задолженности организации в предшествующем периоде. Основной задачей этого анализа является оценка уровня и состава дебиторской задолженности организации, а также эффективности инвестированных в нее финансовых средств. Анализ дебиторской задолженности по расчетам с покупателями проводится в разрезе товарного (коммерческого) и потребительского кредита.
На первом этапе анализа оценивается уровень дебиторской задолженности организации и его динамика в предшествующем периоде. Оценка этого уровня осуществляется на основе определения коэффициента отвлечения оборотных активов в дебиторскую задолженность который рассчитывается по следующей формуле:
где КОАдз — коэффициент отвлечения оборотных активов в дебиторскую задолженность;
ДЗ — общая сумма дебиторской задолженности организации (или сумма задолженности отдельно по товарному и потребительскому кредиту);
ОА — общая сумма оборотных активов организации. На втором этапе анализа определяются средний период инкассации дебиторской задолженности и количество ее оборотов в рассматриваемом периоде. Средний период инкассации дебиторской задолженности характеризует ее роль в фактической продолжительности! финансового и общего операционного цикла организации. Этот показатель рассчитывается по следующей формуле:
где ПИдз — средний период инкассации дебиторской задолженности; ДЗср — средний остаток дебиторской задолженности организации (в целом или отдельных ее видов) в рассматриваемом периоде; Оо — сумма однодневного оборота по реализации продукции в рассматриваемом периоде.
Количество оборотов дебиторской задолженности характеризует скорость обращения инвестированных в нее средств в течение определенного периода. Этот показатель рассчитывается по следующей формуле:
где КОдз — количество оборотов дебиторской задолженности организации в рассматриваемом периоде; ОР — общая сумма оборота по реализации продукции в рассматриваемом периоде; ДЗср — средний остаток дебиторской задолженности организации (в целом или отдельных ее видов) в рассматриваемом периоде.
На третьем этапе анализа оценивается состав дебиторской задолженности организации по отдельным ее «возрастным группам», т.е. по предусмотренным срокам ее инкассации.
На четвертом этапе анализа подробно рассматривается состав просроченной дебиторской задолженности, выделяются сомнительная безнадежная задолженность. В процессе этого анализа используются следующие показатели:
■ коэффициент просроченной дебиторской задолженности:
где КПдз – коэффициент просроченности дебиторской задолженности; ДЗпр – сумма дебиторской задолженности, неоплаченной в предусмотренные сроки; ДЗ – общая сумма дебиторской задолженности организации;
■ средний «возраст» просроченной (сомнительной, безнадежной) дебиторской задолженности:
где ВПдз — средний «возраст» просроченной (сомнительной, безнадежной) дебиторской задолженности; ДЗпр — средний остаток дебиторской задолженности, неоплаченной в срок (сомнительной, безнадежной), в рассматриваемом периоде; Оо — сумма однодневного оборота по реализации в рассматриваемом периоде.
На пятом этапе анализа определяют сумму эффекта, полученного от инвестирования средств в дебиторскую задолженность. В этих целях сумму дополнительной прибыли, полученной от увеличения объема реализации продукции за счет предоставления кредита, сопоставляют с суммой дополнительных затрат по оформлению кредита и инкассации долга, а также прямых финансовых потерь от невозврата долга покупателями (безнадежная дебиторская задолженность, списанная в связи с неплатежеспособностью покупателей и истечением сроков исковой давности). Расчет этого эффекта осуществляется по следующей формуле:
где Эдз — сумма эффекта, полученного от инвестирования средств в дебиторскую задолженность по расчетам с покупателями; Пдз — дополнительная прибыль организации, полученная от увеличения объема реализации продукции за счет предоставления кредита; ТЗдз — текущие затраты организации, связанные с организацией кредитования покупателей и инкассацией долга; ФПдз – сумма прямых финансовых потерь от невозврата долга покупателями.
Наряду с абсолютной суммой эффекта в процессе этого этапа анализа может быть определен и относительный показатель — коэффициент эффективности инвестирования средств в дебиторскую задолженность. Он рассчитывается по следующей формуле:
где КЭдз — коэффициент эффективности инвестирования средств в дебиторскую задолженность по расчетам с покупателями; Эдз — сумма эффекта, полученного от инвестирования средств в дебиторскую задолженность по расчетам с покупателями в определенном периоде; ДЗрп — средний остаток дебиторской задолженности по расчетам с покупателями в рассматриваемом периоде.
Результаты анализа используются в процессе последующей разработки отдельных параметров кредитной политики организации.
Формирование принципов кредитной политики по отношению к покупателям продукции. В современной коммерческой и финансовой практике реализация продукции в кредит (с отсрочкой платежа за нее) получила широкое распространение как в нашей стране, так и в странах с развитой рыночной экономикой. Формирование принципов кредитной политики отражает условия этой практики и направлено на повышение эффективности операционной и финансовой деятельности организации.
В процессе формирования принципов кредитной политики по отношению к покупателям продукции решаются два основных вопроса:
■ в каких формах осуществлять реализацию продукции в кредите
■ какой тип кредитной политики следует избрать организации.
Формы реализации продукции в кредит имеют две разновидности — товарный (коммерческий) и потребительский кредит. Товарным (коммерческий) кредит представляет собой форму оптовой реализации продукции ее продавцом на условиях отсрочки платежа, если такая отсрочка превышает обычные сроки банковских расчетов. Обычно товарный (коммерческий) кредит предоставляется оптовому покупателю продукции на срок от одного до шести месяцев [13].
Потребительский кредит (в товарной форме) представляет собой форму розничной реализации товаров покупателям (физическим лицам) с отсрочкой платежа. Он предоставляется обычно на сроки от шести месяцев до двух лет.
Выбор форм реализации продукции в кредит определяется отраслевой принадлежностью организации и характером реализуемой продукции (товаров, услуг).
Тип кредитной политики характеризует принципиальные подходы к ее осуществлению с позиции соотношения уровней доходности и риска кредитной деятельности организации. Различают три принципиальных типм кредитной политики организации по отношению к покупателям продукции: консервативный, умеренный и агрессивный [5].
Консервативный (или жесткий) тип кредитной политики организации направлен на минимизацию кредитного риска. Такая минимизация рассматривается как приоритетная цель в осуществлении ее кредитной деятельности. Осуществляя этот тип кредитной политики организация не стремится к получению высокой дополнительной прибыли за счет расширения объема реализации продукции. Механизмом реализации политики такого типа является существенное сокращение круга покупателей продукции в кредит за счет групп повышенного риска, минимизация сроков предоставления кредита и его размера, ужесточение условий предоставления кредита и повышение его стоимости, использование жестких процедур инкассации дебиторской задолженности.
Умеренный тип кредитной политики характеризует типичные условия ее осуществления в соответствии с принятой коммерческой и финансовой практикой и ориентируется на средний уровень кредитного риска при продаже продукции с отсрочкой платежа.
Агрессивный (или мягкий) тип кредитной политики приоритетной целью кредитной деятельности ставит максимизацию дополнительной прибыли за счет расширения объема реализации продукции в кредит, Но считаясь с высоким уровнем кредитного риска, который сопровождает эти операции. Механизмом реализации политики такого типа является распространение кредита на более рискованные группы покупателей продукции, увеличение периода предоставления кредита и его размера, снижение стоимости кредита до минимально допустимых размеров, предоставление покупателям возможности пролонгирования кредита.
В процессе выбора типа кредитной политики должны учитываться следующие основные факторы:
■ современная коммерческая и финансовая практика осуществления торговых операций;
■ общее состояние экономики, определяющее финансовые возможности покупателей, уровень их платежеспособности;
■ сложившаяся конъюнктура товарного рынка, состояние спроса на продукцию организации;
■ потенциальная способность предприятия наращивать объем производства продукции при расширении возможностей ее реализации за счет предоставления кредита;
■ правовые условия обеспечения взыскания дебиторской задолженности;
■
финансовые возможности предприятия в части отвлечении средств в дебиторскую задолженность;
■ финансовый менталитет собственников и менеджеров организации, их отношение к уровню допустимого риска в процессе осуществления хозяйственной деятельности.
Определяя тип кредитной политики, следует иметь в виду, что жесткий (консервативный) ее вариант отрицательно влияет на RОА объема операционной деятельности организации и формирование устойчивых коммерческих связей, в то время как мягкий (агрессивный) ее вариант может вызвать чрезмерное отвлечение финансовых средств, снизить уровень платежеспособности организации, вызвать впоследствии значительные расходы по взысканию долгов, а в конечном итоге снизить рентабельность оборотных активов и используемого капитала.
Определение возможной суммы финансовых средств, инвестируемых в дебиторскую задолженность по товарному (коммерческому) и потребительскому кредиту. При расчете этой суммы необходимо учитывать [5]:
■ планируемые объемы реализации продукции в кредит;
■ средний период предоставления отсрочки платежа по отдельным формам кредита;
■ средний период просрочки платежей, исходя из сложившейся в хозяйственной практики (он определяется по результатам анализе дебиторской задолженности в предшествующем периоде);
■ коэффициент соотношения себестоимости и цены реализуемой в кредит продукции.
Расчет необходимой суммы финансовых средств, инвестируемых в дебиторскую задолженность, осуществляется по следующей формуле
где Ида — необходимая сумма финансовых средств, инвестируемых в дебиторскую задолженность; Орк — планируемый объем реализации продукции в кредит; Кс:а — коэффициент соотношения себестоимости и цены продукции; выраженный десятичной дробью; ППКср — средний период предоставления кредита покупателям, в днях; ПРср — средний период просрочки платежей по предоставленному кредиту, в днях.
Если финансовые возможности организации не позволяют инвестировать расчетную сумму средств в полном объеме, то при неизменности условий кредитования должен быть соответственно скорректирован планируемый объем реализации продукции в кредит [3].
Формирование системы кредитных условий. В состав этих условий входят следующие элементы:
■ срок предоставления кредита (кредитный период);
■ размер предоставляемого кредита (кредитный лимит);
■ стоимость предоставления кредита (система ценовых скидок При осуществлении немедленных расчетов за приобретенную продукцию);
■ система штрафных санкций за просрочку исполнения обязательств покупателями.
Срок предоставления кредита (кредитный период) характеризует предельный период, на который покупателю предоставляется отсрочка платежа за реализованную продукцию. Увеличение срока предоставления кредита стимулирует объем реализации продукции (при прочих равных условиях), однако приводит в то же время к увеличению суммы финансовых средств, инвестируемых в дебиторскую задолженность, и увеличению продолжительности финансового и всего операционного цикла организации. Поэтому, устанавливая размер кредитного периода необходимо оценивать его влияние на результаты хозяйственной деятельности в комплексе.
Размер предоставляемого кредита (кредитный лимит) характеризует максимальный предел суммы задолженности покупателя по предоставляемому товарному (коммерческому) или потребительскому кредиту. Он устанавливается с учетом типа осуществляемой кредитной политики (уровня приемлемого риска), планируемого объема реализации продукции на условиях отсрочки платежей, среднего объема сделок по реализации готовой продукции (при потребительском кредите – средней стоимости реализуемых в кредит товаров), финансового состояния организации — кредитора и других факторов. Кредитный лимит дифференцируется по формам предоставляемого кредита и видам реализуемой продукции [5].
Стоимость предоставления кредита характеризуется системой ценовых скидок при осуществлении немедленных расчетов за приобретенную продукцию. В сочетании со сроком предоставления кредита такая ценовая скидка характеризует норму процентной ставки за предоставляемый кредит, рассчитываемой для сопоставления в годовом исчислении. Алгоритм этого расчета характеризуется следующей формулой:
(4.19)
где ПСк — годовая норма процентной ставки за предоставляемый кредит; ЦСн — ценовая скидка, предоставляемая покупателю при осуществлении немедленного расчета за приобретенную продукцию, в %; СПк — срок предоставления кредита (кредитный период), в днях.
Устанавливая стоимость товарного (коммерческого) или потребительского кредита, необходимо иметь в виду, что его размер не должен превышать уровень процентной ставки по краткосрочному финансовому (банковскому) кредиту. В противном случае он не будет стимулировать реализацию продукции в кредит, так как покупателю будет выгодней взять краткосрочный кредит в банке (на срок, равный кредитному периоду, установленному продавцом) и рассчитаться за приобретенную продукцию при ее покупке.
Система штрафных санкций за просрочку исполнения обязательств покупателями, формируемая в процессе разработки кредитных условий, должна предусматривать соответствующие пени, штрафы и неустойки. Размеры этих штрафных санкций должны полностью возмещать все финансовые потери организации-кредитора (потерю дохода, инфляционные потери, возмещение риска снижения уровня платежеспособности и другие).
Формирование стандартов оценки покупателей и дифференциация условий предоставления кредита. В основе установления таких стандартов оценки покупателей лежит их кредитоспособность. Кредитоспособность покупателя характеризует систему условий, определяющих его способность привлекать кредит в разных формах и в полно объеме в предусмотренные сроки выполнять все связанные с ним финансовые обязательства.
Формирование системы стандартов оценки покупателей включает следующие основные элементы [35]:
■ определение системы характеристик, оценивающих кредитоспособность отдельных групп покупателей;
■ формирование и экспертизу информационной базы
■ проведение оценки кредитоспособности покупателей;
■ выбор методов оценки отдельных характеристик кредитоспособности покупателей;
■ группировку покупателей продукции по уровню кредитоспособности;
■ дифференциацию кредитных условий в соответствии с уровнем кредитоспособности покупателей.
Формирование стандартов оценки покупателей и дифференциация кредитных условий осуществляются раздельно по различным формам кредита – товарному и потребительскому.
Определение системы характеристик, оценивающих кредитоспособность отдельных групп покупателей, является начальным этапом построения системы стандартов их оценки.
По товарному (коммерческому) кредиту такая оценка осуществляется обычно по следующим критериям:
■объем хозяйственных операций с покупателем и стабильность их осуществления;
■ репутация покупателя в деловом мире;
■ платежеспособность покупателя;
■ результативность хозяйственной деятельности покупателя;
■ состояние конъюнктуры товарного рынка, на котором покупатель осуществляет свою операционную деятельность;
■ объем и состав чистых активов, которые могут составлять обеспечение кредита при неплатежеспособности покупателя и возбуждении дела о его банкротстве.
По потребительскому кредиту оценка осуществляется обычно по следующим критериям:
■ дееспособность покупателя;
■ уровень доходов покупателя и регулярность их формирования;
состав личного имущества покупателя, которое может составить обеспечение кредита при взыскании суммы долга в судебном порядке.
Цель формирования и экспертизы информационной базы проведения оценки кредитоспособности покупателей — обеспечение ее достоверности. Информационная база, используемая для этих целей, состоит:
■ из сведений, предоставляемых непосредственно покупателем (их перечень дифференцируется в разрезе форм кредита);
■ из данных, формируемых из внутренних источников (если сделки с покупателем носят постоянный характер);
■ из информации, формируемой из внешних источников (коммерческого банка, обслуживающего покупателя; других его партнеров по сделкам и т.п.).
Экспертиза полученной информации осуществляется путем логической ее проверки, в процессе ведения коммерческих переговоров с покупателями, путем непосредственного посещения клиента (по потребительскому кредиту) с целью проверки состояния его имущества и в других формах в соответствии с объемом кредитования. Выбор методов оценки отдельных характеристик кредитоспособности покупателей определяется содержанием оцениваемых характеристик. В этих целях при оценке отдельных характеристик кредитоспособности покупателей, рассмотренных ранее, могут быть использованы статистический, нормативный, экспертный, балльный и другие методы.
Группировка покупателей продукции по уровню кредитоспособности основывается на результатах ее оценки и предусматривает обычно выделение следующих их категорий:
■ покупатели, которым кредит может быть предоставлен в максимальном объеме, т.е. на уровне установленного кредитного лимита (группа «первоклассных заемщиков»);
■ покупатели, которым кредит может быть предоставлен в ограниченном объеме, определяемом уровнем допустимого риска невозврата долга;
■ покупатели, которым кредит не предоставляется (при недопустимом уровне риска невозврата долга, определяемом типом избрания кредитной политики).
Дифференциация кредитных условий в соответствии с уровнем кредитоспособности покупателей наряду с размером кредитного лимита может осуществляться по таким параметрам, как:
■ срок предоставления кредита;
■ необходимость страхования кредита за счет покупателей;
■ формы штрафных санкций и т.п.
Формирование процедуры инкассации дебиторской задолженности В составе этой процедуры должны быть предусмотрены сроки и формы предварительного и последующего напоминании покупателям о дате платежей, возможности и условия пролонгирования долга по предоставленному кредиту, условия возбуждения дела о банкротстве несостоятельных дебиторов.
Обеспечение использования в организации современных форм рефинансирования дебиторской задолженности. Развитие рыночных отношений и инфраструктуры финансового рынка позволяют использовать в практике финансового менеджмента ряд новых форм управления дебиторской задолженностью – ее рефинансирование, т.е. ускоренный перевод в другие формы оборотных активов организации: денежные средства и высоколиквидные краткосрочные ценные бумаги [5].
Основными формами рефинансирования дебиторской задолженности, используемыми в настоящее время, являются:
■ факторинг;
■ учет векселей, выданных покупателями продукции;
■ форфейтинг.
Построение эффективных систем контроля за движением и своевременной инкассацией дебиторской задолженности. Такой контроль организуется в рамках построения общей системы финансового контроля в организации как самостоятельный его блок.
Одним из видов таких систем является ABC-система, применимая к портфелю дебиторской задолженности организации. В группу А включаются при этом наиболее крупные и сомнительные виды дебиторской задолженности (так называемые проблемные кредиты); в группу В — кредиты средних размеров; в группу «С» — остальные виды дебиторской задолженности, не оказывающие серьезного влияния на результаты финансовой деятельности организации [5].
Критерием оптимальности разработанной и осуществляемой кредитной политики любого типа и по любым формам предоставляемого кредита, а соответственно и среднего размера дебиторской задолженсти, по расчетам с покупателями за реализуемую им продукцию, выступает следующее условие:
(4.20)
ДЗо — оптимальный размер дебиторской задолженности предприятия при нормальном его финансовом состоянии; ОПдр — дополнительная операционная прибыль, получаемая предприятием от увеличения продажи продукции в кредит; ОЗдз — дополнительные операционные затраты организации по обслуживанию дебиторской задолженности; ПСдз — размер потерь средств, инвестированных в дебиторскую задолженность из-за недобросовестности (неплатежеспособности) покупателей.
Кроме рассмотренных этапов формирования политики управления дебиторской задолженностью, следует также отметить, что необходимо постоянно отслеживать уровень кредиторской задолженности, анализировать уровень средств, привлекаемых от поставщиков.
4. Политика управления денежными средствами
Денежные средства. В условиях рыночной экономики значимость денежных средств и их эквивалентов определяется следующими причинами: рутинностью (необходимостью денежного обеспечения текущих .операций), предосторожностью (необходимостью погашения in предвиденных платежей), спекулятивностью (возможностью участия в заранее непредусмотренном выгодном проекте). Система эффективного управления денежными средствами подразумевает выделение четырех крупных блоков процедур, требующих определенного внимания финансового менеджера: 1) расчет финансового цикла; 2) анализ движения денежных средств; 3) прогнозирование денежных потоков; 4) определение оптимального уровня денежных средств.
Расчет финансового цикла. Ранее было рассмотрено понятие продолжительности операционного цикла (Поц) как показателя, характеризующего длительность периода в среднем, в течение которого денежные cpeдства «омертвлены» в неденежных оборотных активах. Это оценка прежде всего эффективности производственной и коммерческой деятельности Что касается финансовой деятельности, одним из главных элементов которой является способность организации своевременно рассчитываться по своим обязательствам, то для оценки ее эффективности более пригоден показатель продолжительности финансового цикла, численно равный длине временного интервала (в среднем) между оттоком денежных средств в связи с осуществлением текущей производственной деятельности и их притоком как результатом производственно-финансовой деятельности
где D,,,. — продолжительность финансового цикла; InvA — оборачиваемость средств, «омертвленных» в производственных запасах, в днях; ARd -- оборачиваемость средств «омертвленных» в дебиторской задолженности, в днях; АРА — оборачиваемость кредиторской задолженности, в днях, рассчитывается отношением средней кредиторской задолженности к однодневным затратам материальных производственных запасов.
Анализ движения денежных средств. Смысловая нагрузка этого блока определяется прежде всего тем обстоятельством, что с позиции контроля и оценки эффективности функционирования организации необходимо иметь представление о том, какие виды деятельности генерируют основной объем денежных поступлений и оттоков. Анализ движения денежных средств позволяет определить сальдо денежного потока в результате текущей, инвестиционной и финансовой деятельности. Наиболее распространен в анализе так называемый прямой метод, предполагающий идентификацию всех операций, затрагивающих дебет (приток денежных средств) и кредит денежных счетов (отток денежных средств). Идентификация соответствующих проводок в системе бухгалтерского учета обеспечивает помимо прочего группировку оттоков и притоков денежных средств по важнейшим видам деятельности (текущая, инвестиционная, финансовая).
Прогнозирование денежных потоков. Смысловая нагрузка этого блока определяется тем обстоятельством, что многие решения финансового характера, например инвестиции и выплата дивидендов, нередко предполагают единовременные оттоки крупных объемов денежных средств, которые должны быть своевременно накоплены. Прогнозирование денежных потоков является непременным атрибутом бизнес-планирования и вообще взаимоотношений с потенциальным и (или) стратегическим инвестором.
Стандартная последовательность процедур методики прогнозирования денежных потоков в определенном периоде выглядит следующим образом: прогнозирование денежных поступлений, прогнозирование оттоков денежных средств, расчет чистого денежного потока излишек/недостаток, определение совокупной потребности в долгосрочном (краткосрочном) финансировании.
Определение оптимального уровня денежных средств. Смысловая нагрузка последнего блока определяется необходимостью нахождения компромисса между, с одной стороны, желанием обезопасить себя в ситуаций хронической нехватки денежных средств и, с другой стороны, желанием вложить свободные денежные средства в какое-то дело с целью получения дополнительного дохода. В мировой практике разработаны методы оптимизации остатка денежных средств, в основе которых заложены те же идеи, что и в методах оптимизации производственных запасов. Наибольшую известность получили модели Баумоля, Миллера – Орра, Стоуна и имитационное моделирование по методу Монте-Карло [19]. Суть данных моделей состоит в том, чтобы дать рекомендации о коридоре варьирования остатка денежных средств, выход за пределы которого предполагает либо конвертацию денежных средств в ликвидные ценные бумаги, либо обратную процедуру.
Под термином «эквиваленты денежных средств» описываются ликвидные рыночные ценные бумаги, которые с минимальным временным лагом могут быть трансформированы в денежные средства. Живые деньги нужны любой организации; вместе с тем, поскольку перечисленные выше модели оптимизации остатка денежных средств весьма теоретизированы, на практике обычно руководствуются здравым смыслом, выбирая, какую часть мобильных активов держать на расчетном счете, а какую временно разместить в ценных бумагах. В результате такой политики у организации на балансе формируются краткосрочные финансовые вложения.
Любая самая сложная финансовая операция представляет собой комбинацию двух элементарных действий: инвестирования и заимствования, причем эффективность операции оценивается процентной ставкой. Инвестирование означает вложение средств в надежде в будущем получить достаточный денежный поток, заимствование — привлечение средств с намерением выгодно вложить их в известный проект, за счет которого в будущем удастся расплатиться с кредитором. Чаще всего подобные операции растянуты во времени, т.е. распространяются на несколько базисных интервалов.
Формирование портфеля ценных бумаг, равно как и любые операции с отдельными финансовыми активами, основано на применении ряда формализованных критериев. В основе этих критериев — понятие временной ценности денег и методы оценки распределенных во времени денежных потоков.
Денежные ресурсы, участвующие в любой финансовой операции имеют временную ценность, смысл которой может быть выражен следующей сентенцией: денежная единица, имеющаяся в распоряжении инвестора в данный момент времени, более предпочтительна, чем та же самая денежная единица, но ожидаемая к получению в некотором будущем, В принципе возможны отклонения от сформулированного правила, однако они носят достаточно абстрактный характер (в качестве примера можно привести ситуацию, когда доступная процентная ставка равна нулю). Причина очевидна: деньги должны постоянно умножаться т.е. генерировать доход.
Вкладывая деньги в некоторую ценную бумагу, инвестор полагает, что исходная инвестиция окупится последующими поступлениями (проценты, дивиденды). Таким образом, с финансовым активом олицетворяется распределенный во времени денежный поток (IC, CF1, CF2, ..., CFn), состоящий из исходной инвестиции (IС), т.е. затрат на покупку ценной бумаги, и некоторых доходов (CFk.), генерируемых ею в дальнейшем через равные базисные интервалы. Очевидно, что с формальной стороны операция выгодна, если по крайней мере сумма доходов с учетом фактора времени превосходит величину инвестиции.
Поскольку отдельные элементы денежного потока несопоставимы из-за временной ценности денег, т.е. простое суммирование элементов потока невозможно, применяют специальные операции — наращения и дисконтирование. В первом случае все элементы денежного потока приводятся к концу финансовой операции, во втором — к ее началу В обоих случаях используется схема сложных процентов, предполагающая капитализацию процентов (рис. 4.7).

Операция наращения призвана ответить на вопросы, какую сумму F удастся получить через k базисных периодов при инвестировании суммы Р под процентную ставку r операция дисконтирования — чему эквивалентна сумма Р, ожидаемая к получению через k базисных периодов, если приемлемая доходность финансовой операции равна r. Ответы на поставленные вопросы находятся с помощью следующих формул:
С помощью данных формул величины Р и F как бы уравниваются в том смысле, что для лиц, участвующих в финансовой операции, P «сегодня» — это все равно что F «завтра».
Именно эти формулы являются базовыми при построении алгоритмов оценки финансовых активов и обосновании решений по операциям с ними.
Финансовый актив, как и любой товар, продающийся на рынке, имеет несколько характеристик, определяющих целесообразность операций купли-продажи с этим специфическим товаром. В отличие от обычных потребительских товаров финансовые активы приобретаются не с целью их фактического потребления, а с намерением в дальнейшем получить либо регулярный доход, генерируемый данным активом (например, проценты, дивиденды), либо спекулятивный доход (доход от операций купли-продажи). Поэтому наибольший интерес представляют такие характеристики финансового актива, как стоимость, цена, доходность, риск.
Инвестор, принимая решение о целесообразности приобретения того или иного финансового актива, пытается оценить экономическую эффективность планируемой операции. Совершенно очевидно, что он может при этом ориентироваться либо на абсолютные, либо на относительные показатели. В первом случае речь может идти о цене и (или) стоимости актива, во втором — о его доходности.
Логика рассуждений инвестора в первом случае такова. Финансовый актив имеет две взаимосвязанные абсолютные характеристики: во-первых, объявленную текущую рыночную цену (Рт), по которой его можно приобрести на рынке, и, во-вторых, теоретическую, или внутреннюю, стоимость (Vt). Цена объявлена, в любой момент времени она однозначна; что касается внутренней стоимости, то она субъективно оценивается инвестором, исходя из конъюнктуры рынка и его личных инвестиционных возможностей.
Приведем формулу для вычислений:

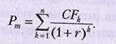
Цена актива, по мнению инвестора, может быть занижена, поэтому актив целесообразно купить, а может быть и завышена, тогда актив нужно продавать. Таким образом, в основе решения о купле-продаже финансового актива лежит умение оценивать его внутреннюю стоимость. Для этой цели применяется модель Уильямса, в основе которой заложена идея дисконтирования ожидаемых поступлений по приемлемой ставке дисконтирования. С помощью этой модели рассчитывают приведенную, или дисконтированную, стоимость поступлений (PV), которая и будет давать субъективную оценку теоретической стоимости актива:
Лекция "11 Знакоположительные ряды" также может быть Вам полезна.
Для того чтобы воспользоваться представленной моделью, инвестор должен спрогнозировать показатели: CFk, n и r. В данном случаи r является ставкой дисконтирования и характеризует приемлемую норму прибыли (доходность), т.е. норму прибыли, которую хочет или может позволить себе инвестор.
На практике большее распространение получил подход, ориентирующийся на показатели доходности и риска. Дело в том, что доходность как относительный показатель легче интерпретируема и может использоваться в пространственно-временных сопоставлениях. Для оценки используется та же самая модель Уильямса, но в несколько ином варианте:

В данной формуле считаются заданными показатели: Рт, CFk и п, Найденное из этого уравнения значение r как раз и будет характеризовать доходность финансового актива.
Таким образом, инвестор оценивает значения исходных параметров для последнего уравнения, находит значение r и сравнивает его с устраивающей запросы инвестора нормой прибыли. В том случае, если ценная бумага «обещает» доходность, превышающую приемлемую норму прибыли, она является привлекательным объектом инвестирования В приведенной последовательности действий речь шла только о доходности актива. На практике оценки доходности рассматриваются в комплексе с оценками риска. Принципы управления портфелями ценных бумаг изложены в специальной литературе.























