Финансовые инвестиции и их оценка
Тема 2. Финансовые инвестиции и их оценка.
1. Понятие и сущность финансовых инвестиций.
Финансовые инвестиции – это хозяйственная операция, которая предусматривает приобретение корпоративных прав, ценных бумаг, деривативов и других финансовых инструментов.
Инвестирование свободных средств в финансовые инструменты предусматривает:
- получение в будущем прибыли;
- превращение свободных средств в высоколиквидные ценные бумаги;
- установление контроля над предприятиями-эмитентами.
Рекомендуемые материалы
Финансовые инвестиции являются активной формой эффективного использования свободного капитала предприятия, которая имеет ряд особенностей:
- она осуществляется на более поздних этапах развития предприятия, когда его потребности в реальных инвестициях удовлетворены;
- дает возможность осуществлять внешнее инвестирование в стране и за её пределами;
- является независимым видом хозяйственной деятельности для предприятий реального сектора экономики;
- позволяет предприятию реализовать отдельные стратегические цели своего развития более быстро и дешево;
- требует минимального времени для принятия управленческих решений по сравнению с реальными инвестициями (проектами);
- возникает необходимость активного мониторинга и оперативности при принятии решений для осуществления финансовых инвестиций.
Финансовые инвестиции группируют по следующим стратегическим направлениям:
- инвестиционные операции с традиционными инструментами;
- приобретение производных ценных бумаг (деривативов);
- депозитные операции предприятий;
- паевое участие в совместных предприятиях.
Инвестиционные операции с традиционными инструментами – это с акциями, облигациями, сертификатами – они составляют примерно 90% общего объема финансовых инструментов предприятий.
Депозитные операции являются одной из наиболее эффективных форм использования временно свободных денежных средств предприятий. Депозитные операции используются для краткосрочных вложений, а основной их целью является генерирование инвестиционной прибыли.
Паевое участие – похоже на реальное инвестирование, однако, является менее капиталоемким и более оперативным. Инвестор, использующий эту форму инвестирования, ставит целью не только получение дохода, но и установление прямого влияния на хозяйственную деятельность предприятия.
В зависимости от цели инвестирования, срока пребывания на предприятии и ликвидности, финансовые инвестиции подразделяются на долгосрочные и текущие.
2. Объекты и субъекты финансового инвестирования.
Объекты финансового инвестирования.
Ценные бумаги являются одним из источников необходимого капитала для важнейших отраслей промышленности.
За последнее десятилетие рынок ценных бумаг существенно изменился. Так как в настоящее время он оперирует не только капиталом корпораций, монополий, но и сбережениями граждан.
В Украине становление рынка ценных бумаг началось в 90-е годы и продолжается до сих пор.
Ценная бумага – это документ, представляющий собой право собственности или займа по отношению к эмитенту, который может самостоятельно обращаться на рынке и быть объектом купли-продажи.
К наиболее распространенным формам ценных бумаг относятся акции, облигации, сберегательные сертификаты, инвестиционные сертификаты, и казначейские обязательства.
На первом месте, в соответствии со спросом инвесторов, стоят акции украинских и российских эмитентов и первые коммерческие и государственных облигации.
Выше перечисленные ценные бумаги называются фондовыми инструментами. Кроме них существуют и другие: фьючерсы, опционы, варранты и так далее. Они являются производными ценных бумаг и покупаются скорее всего со спекулятивными целями.
Существуют различные классификации ценных бумаг.
В зависимости от эмитентов ценных бумаг классифицируются как:
- государственные (выпускаются центральным правительством, местными органами власти и так далее);
- частные (выпускаются в основном частными фирмами и банками);
- международные.
В зависимости от способа выплаты доходов можно выделить ценные бумаги:
- с фиксированным доходом;
- с плавающим доходом.
Рассмотрим каждый из видов ценных бумаг.
Акция – в соответствии с Законом Украины «О ценных бумагах и фондовой бирже» - является ценной бумагой без установленного срока обращения. Она свидетельствует о долевом участии в уставном фонде акционерного общества, подтверждает членство в акционерном обществе и право на участие в разделе имущества при ликвидации акционерного общества, право на участие в управлении или/и получении части прибыли.
Могут быть установлены дополнительные права, которые фиксируются в уставе акционерного общества.
Акции подразделяют на 2 вида:
- обычные;
- привилегированные.
Основное отличие привилегированных акций от обычных состоит в том, что по ним, в первую очередь, устанавливается гарантированный фиксированный процент дохода. Этот доход владельцы привилегированных получают до распределения доходов по обычным акциям. Если в настоящий момент прибыли недостаточно для этих выплат, она гарантируется в будущем. Однако, привилегированные акции не дают право голоса в отличие от обычных.
Таким образом, привилегированные акции более стабильны, а обычные более прибыльные (если акционерное общество работает успешно). Привилегированные акции встречаются довольно редко на фондовом рынке Украины.
В зависимости от способа регистрации ценные бумаги могут быть:
· именные;
· на предъявителя.
Акции на предъявителя свободно продаются и покупаются на рынке ценных бумаг без регистрации нового владельца.
По именным акциям данные об их владельцах вносятся в книгу регистрации акционерного общества. Это усложняет возможность их продажи, следовательно они менее ликвидные, чем акции на предъявителя.
На рынке ценных бумаг акции продаются по цене, которая складывается под воздействием спроса и предложения на эти акции, и, как правило, отличаются от номинала. Эта цена называется курсом акций. Основными факторами, влияющими на курс акций, является их доходность и уровень ссудного процента, складывающегося на данный момент на финансовом рынке.
Чем интенсивнее рост дивидендов по акциям, тем выше рейтинг акционерного общества. Следовательно, компания должна стремиться к росту выплачиваемых дивидендов.
Таким образом, акции для инвестора более прибыльный объект вложений чем другие ценные бумаги, так как доход по ним состоит не только из дивидендов, но и из прироста вложенного капитала вследствие роста цен акций. В экономике, подверженной инфляции, акции являются более доходными и обеспечивают лучшую защиту инвестора чем, например, долговые обязательства.
Другим основным видом ценных бумаг являются облигации. Эти ценные бумаги свидетельствуют о внесении их владельцем денежных средств и об выплате ему номинальной стоимости этих ценных бумаг в установленный срок с выплатой доходов по ним в виде фиксированного или плавающего процента.
Владельцы облигаций, в отличие от держателей акций, не являются собственниками, однако они получают стабильный доход в виде определенного процента.
Например, акционерное общество, получив прибыль, сначала обеспечивает выплату процентов по облигациям, а затем начисляет дивиденды своим акционерам.
Возврат денег по облигациям осуществляется на определенный момент времени, который называется датой погашения. Срок, на который привлекаются денежные средства, может быть от нескольких месяцев до нескольких десятков лет.
В зависимости от срока можно классифицировать облигации:
- краткосрочные;
- среднесрочные;
- долгосрочные.
Границы по сроками в разных странах варьируют по-разному.
В облигационном контракте эмитент берет на себя обязательство регулярной и своевременной выплаты процентов по облигациям в виде фиксированного или плавающего процента. В основном распространены облигации с фиксированной процентной ставкой. Плавающая ставка встречается преимущественно на международном рынке ценных бумаг. Она устанавливается, как правило, один раз в полгода в виде надбавки к ставке предложения на лондонском межбанковском рынке (ЛИБОР).
В зависимости от особенностей регистрации облигаций, как и акций, могут быть:
- именные;
- на предъявителя.
По видам эмитентов можно выделить:
- облигации корпораций;
- государственные ценные бумаги.
В зависимости от характера обращения модно разделить облигации на:
- обычные;
- конвертируемые, дающие возможность обменять их на акции того же эмитента.
Кроме того, облигации могут быть:
- выигрышными;
- погашаемые одной суммой или частями;
- с правом досрочного погашения;
- индексированные относительно темпов инфляции.
Доход по облигациям обычно ниже дохода по другим ценным бумагам, в первую очередь – по акциям, однако, облигации отличаются большей надежностью, так как по ним осуществляются фиксированные выплаты, независимо от результатов деятельности эмитента.
Сберегательный сертификат – это письменной свидетельство банка о принятии на депозит денежных средств, который подтверждает право вкладчика на получение вклада и процентов по нему по истечению установленного срока.
В отличие от обычных сберегательных счетов вкладчик получает сертификат, который является своеобразным долговым обязательством банка.
Сберегательные сертификаты могут быть:
- именными;
- на предъявителя.
Именные сертификаты не могут обращаться на рынке ценных бумаг в отличие от сертификатов на предъявителя. Кроме того, сберегательные сертификаты могут быть:
- срочными;
- до востребования.
При досрочном изъятии средств банк понижает процент выплат по сберегательному сертификату.
Сертификаты до востребования более ликвидные, чем срочные сертификаты, однако, срочные выгоднее, так как по ним устанавливается более высокий процент.
Возможность досрочного изъятия средств является отличительной особенностью сберегательных сертификатов от других ценных бумаг. Кроме того, существенным отличием является то, что сберегательные сертификаты могут быть использованы в качестве средств платежа.
В мировой практике сберегательные сертификаты широко используются и являются достаточно надежными ценными бумагами, так как банки тщательно контролируются государством.
Инвестиционный сертификат – это ценная бумага, выпускаемая инвестиционным фондом или инвестиционной компанией, которая дает право на получение дохода по ней в виде дивиденда.
Инвестиционный сертификат может быть:
- именной;
- на предъявителя.
Инвестиционные сертификаты после их размещения на рынке ценных бумаг выкупаются фондом в установленный срок. Таким образом, держатель инвестиционного сертификата не является собственником инвестиционного фонда, в отличие от акционеров - держателей акций.
Инвестиционные фонды, выпускающие инвестиционные сертификаты могут быть:
- открытыми;
- закрытыми.
Открытые инвестиционные фонды создаются на неопределенный срок. Выкуп инвестиционных сертификатов таких фондов осуществляется в соответствии с инвестиционной декларацией.
Выбор ценных бумаг, в которые инвестиционные фонды и компании вкладывают средства клиентов, осуществляется специалистами этих организаций. Однако в последнее время доверие к таким фондам все больше теряется.
Государственные ценные бумаги- это ценные бумаги на предъявителя, посредством которых государство занимает деньги у предприятий и населения на добровольной основе, дающее право на получение определенного дохода в будущем.
Наиболее распространенными видами государственных ценных бумаг являются облигации государственного займа и казначейские обязательства.
Правительство занимает у инвесторов деньги путем продажи им ценных бумаг в случае превышения государственных расходов над поступлениями в госбюджет. Таким образом, государство получает необходимые средства для покрытия дефицита госбюджета.
Этот способ привлечения дополнительных денежных средств более эффективен в отличие от эмиссии новых денег, так как не ведет к инфляции.
В странах с развитой рыночной экономикой государственные ценные бумаги являются наиболее надежными вложениями, так как инвесторы получают по ним стабильный доход, который часто освобождается от налогообложения.
Весной 1995 года Министерство Финансов совместно с Национальным банком Украины разместил первый выпуск государственных облигаций внутреннего займа.
Это были краткосрочные облигации (срок их обращения 9 месяцев). Номинальная стоимость составляла 100 млн. карбованцев.
Эти облигации существуют в форме электронных записей на счетах ДЕПО в коммерческих банках. Такой банк заключает договор с финансовым посредником, который в дальнейшем действует от имени банка.
При вторичном размещении облигации госзайма (т.е. осуществляется их купле - продажа перерегистрация) банк переводит счет ДЕПО в банк нового владельца. Несмотря на трудности безбумажной формы, облигации госзайма имеют ряд достоинств, например: значительная доходность, освобождение от налогообложения, своевременная и полная выплата доходов по облигациям, приобретением на первых торгах.
Субъекты финансового инвестирования.
Рынок, обеспечивающий мобилизацию, распределение и перераспределение временно свободных денежных средств между участниками рыночных отношений, называется финансовым рынком.
Рынок ценных бумаг является той частью финансового рынка, которая охватывает как кредитные отношения, так и отношения совладения.
Участниками рынка ценных бумаг является эмитенты ценных бумаг, инвесторы и инвестиционные институты.
Эмитенты ценных бумаг – это юридические лица, которые выпускают ценные бумаги и отвечают по ним перед владельцами ценных бумаг. В роли эмитента может выступать государство, государственные органы, предприятия, совместные предприятия, предприятием с иностранным капиталом, зарегистрированные на территории Украины.
Инвесторами являются физические и юридические лица, приобретающие ценные бумаги от своего имени и за собственный счет с целью получения прибыли.
Инвестиционными институтами являются юридические лица, осуществляющие деятельность исключительно с ценными бумагами. На рынке ценных бумаг в качестве инвестиционных институтов выступают банки, финансовые посредники, инвестиционные компании, инвестиционные фонды и т.д.
Рынок ценных бумаг подразделяется на первичный и вторичный.
На первичном, происходит начальное размещение впервые выпущенных бумаг с помощью инвестиционных фирм или же самим эмитентом.
При размещении ценных бумаг с помощью финансовых посредников АО заключает инвестиционный договор с такой фирмой посредником. Перед тем как взять на себя размещение ценных бумаг, фирма посредник проводит анализ финансового состояния корпорации, обоснованности эмиссии и возможностей размещения ценных бумаг.
В случае размещения ценных бумаг самостоятельно, АО извещает об этом в средствах массовой информации либо сообщает своим акционерам о дополнительном выпуске акций при повторной эмиссии ценных бумаг. Это более дешевый способ для эмитентов, однако, первичный метод позволяет быстрее и эффективнее мобилизовать необходимые средства.
Ценные бумаги предлагают компании, которые хотят привлечь дополнительные денежные средства и государства путем эмиссии облигаций госзайма для финансирования государственных программ или покрытия дефицита государственного бюджета.
В Украине АО размещают свои акции самостоятельно, без посредников. Это объясняется отсутствием квалифицированных специалистов и не доверия к таким фирмам.
Вторичный рынок ценных бумаг – это рынок, на котором продаются и покупаются ранее выпущенные ценные бумаги, происходит смена собственников ценных бумаг.
Централизованным рынком ценных бумаг является фондовая биржа, на которой совершаются сделки, главный оборот с ранее выпущенными ценными бумагами.
Децентрализованный – это рынок, на котором обращаются не допущенные к обороту на фондовой бирже ценные бумаги. Как правило, децентрализованный рынок состоит из большого количества брокерско-дилерских фирм, которые связываются друг с другом по телефону.
3. Оценка эффективности отдельных финансовых инструментов инвестирования
Оценка эффективности отдельных финансовых инструментов инвестирования, как и реальных инвестиций, осуществляется на основе сопоставления объема инвестиционных затрат, с одной стороны, и сумм возвратного денежного потока по ним, с другой. Вместе с тем, формирование этих показателей в условиях финансового инвестирования имеет существенные отличительные особенности.
Прежде всего, в сумме возвратного денежного потока при финансовом инвестировании отсутствует показатель амортизационных отчислений, так как финансовые инструменты, в отличие от реальных инвестиций, не содержат в своем составе амортизируемых активов. Поэтому основу текущего возвратного денежного потока по финансовым инструментам инвестирования составляют суммы периодически выплачиваемых по ним процентов (на вклады в уставные фонды; на депозитные вклады в банках; по облигациям и другим долговым ценным бумагам) и дивидендов (по акциям и другим долевым ценным бумагам).
Кроме того, коль скоро финансовые активы предприятия (каковыми являются финансовые инструменты инвестирования) не амортизируются, они продаются (погашаются) в конце срока их использования предприятием (или в конце обусловленного фиксированного срока их обращения) по той цене, которая сложилась на них на момент продажи на финансовом рынке (или по заранее обусловленной фиксированной их сумме). Следовательно, в состав возвратного денежного потока по финансовым инструментам инвестирования входит стоимость их реализации по окончании срока их использования (фиксированной стоимости по долговым финансовым активам и текущей курсовой стоимости по долевым финансовым активам).
Определенные отличия складываются и в формировании нормы прибыли на инвестированный капитал. Если по реальным инвестициям этот показатель опосредствуется уровнем предстоящей операционной прибыли, которая складывается в условиях объективно существующих отраслевых ограничений, то по финансовым инвестициям инвестор сам выбирает ожидаемую норму прибыли с учетом уровня риска вложений в различные финансовые инструменты. Осторожный (или консервативный) инвестор предпочтет выбор финансовых инструментов с невысоким уровнем риска (а соответственно и с невысокой нормой инвестиционной прибыли), в то время как рисковый (или агрессивный) инвестор предпочтет выбор для инвестирования финансовых инструментов с высокой нормой инвестиционной прибыли (невзирая на высокий уровень риска по ним).

Коль скоро ожидаемая норма инвестиционной прибыли задается самим инвестором, то этот показатель формирует и сумму инвестиционных затрат в тот или иной инструмент финансового инвестирования, которая должна обеспечить ему ожидаемую сумму прибыли. Эта расчетная сумма инвестиционных затрат представляет собой реальную стоимость финансового инструмента инвестирования, которая складывается в условиях ожидаемой нормы прибыли по нему с учетом соответствующего уровня риска.
Если фактическая сумма инвестиционных затрат по финансовому инструменту будет превышать его реальную стоимость, то эффективность финансового инвестирования снизится (т.е. инвестор не получит ожидаемую сумму инвестиционной прибыли). И наоборот, если фактическая сумма инвестиционных затрат будет ниже реальной стоимости финансового инструмента, то эффективность финансового инвестирования возрастет (т.е. инвестор получит инвестиционную прибыль в сумме, большей чем ожидаемая).
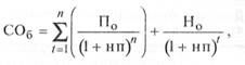
С учетом изложенного оценка эффективности того или иного финансового инструмента инвестирования сводится к оценке реальной его стоимости, обеспечивающей получение ожидаемой нормы инвестиционной прибыли по нему. Принципиальная модель оценки стоимости финансового инструмента инвестирования имеет следующий вид:

где Сфи —реальная стоимость финансового инструмента инвестирования; ВДП —ожидаемый возвратный денежный поток за период использования финансового инструмента; нп — ожидаемая норма прибыли по финансовому инструменту, выраженная десятичной дробью (формируемая инвестором самостоятельно с учетом уровня риска); п —число периодов формирования возвратных потоков (по всем их формам). Особенности формирования возвратного денежного потока по отдельным видам финансовых инструментов определяют разнообразие вариаций используемых моделей оценки их реальной стоимости.
Модели оценки стоимости облигаций построены на следующих исходных показателях: а) номинал облигации: б) сумма процента, выплачиваемая по облигации; в) ожидаемая норма валовой инвестиционной прибыли (норма доходности) по облигации: г) количество периодов до срока погашения облигации.
Базисная модель оценки стоимости облигации [Basis Bond Valuation Model] или облигации с периодической выплатой процентов имеет следующий вид:

где СОб —реальная стоимость облигации с периодической выплатой процентов;
П0 — сумма процента, выплачиваемая в каждом периоде (представляющая собой произведение ее номинала на объявленную ставку процента); Н0—номинал облигации, подлежащий погашению В конце срока ее обращения; нп—ожидаемая норма валовой инвестиционной прибыли (доходности) по облигации, выраженная десятичной дробью; л—число периодов, остающихся до срока погашения облигации.
Экономическое содержание Базисной модели оценки стоимости облигации (облигации с периодической выплатой процентов) заключается в том, что ее текущая реальная стоимость равна сумме всех процентных поступлений по ней за оставшийся период ее обращения и номинала, приведенных к настоящей стоимости по дисконтной ставке, равной ожидаемой норме валовой инвестиционной прибыли (доходности).
Модель оценки стоимости облигации с выплатой всей суммы процентов при ее погашении имеет следующий вид:

где СОп —реальная стоимость облигации с выплатой всей суммы процентов при ее погашении;
Н0 — номинал облигации, подлежащий погашению в конце срока ее обращения; Пк —сумма процента по облигации, подлежащая выплате в конце срока ее обращения; нп — ожидаемая норма валовой инвестиционной прибыли (доходности) по облигации, выраженная десятичной дробью; п—число периодов, остающихся до срока погашения облигации (по которым установлена норма прибыли).
Экономическое содержание данной модели состоит в том, что текущая реальная стоимость облигации с выплатой всей суммы процентов при ее погашении, равна совокупным выплатам номинала и суммы процента по ней, приведенным к настоящей стоимости по дисконтной ставке, равной ожидаемой норме валовой инвестиционной прибыли (доходности).
Модель оценки стоимости облигации, реализуемой с дисконтом без выплаты процентов, имеет следующий вид:

где СОд — реальная стоимость облигации, реализуемой с дисконтом без выплаты процентов по ней; Н0 —номинал облигации, подлежащий погашению в конце срока ее обращения; нп—ожидаемая норма валовой инвестиционной прибыли (доходности) по облигации, выраженная десятичной дробью; п—число периодов, остающихся до срока погашения облигации (по которым установлена норма прибыли).
Экономическое содержание данной модели состоит в том, что текущая реальная стоимость облигации, реализуемой с дисконтом без выплаты процентов по ней, представляет собой ее номинал, приведенный к настоящей стоимости по дисконтной ставке, равной ожидаемой норме валовой инвестиционной прибыли (доходности).
Трансформируя соответствующим образом указанные модели (т.е. меняя искомый расчетный показатель) можно по каждому виду облигаций рассчитать ожидаемую норму валовой инвестиционной прибыли (доходности),если показатель реальной стоимости облигации заменить на фактическую цену ее реализации на фондовом рынке (комплекс таких моделей широко представлен в специальной литературе по вопросам обращения фондовых инструментов).
Для оценки текущего уровня валовой инвестиционной прибыли по облигациям используется коэффициент ее текущей доходности, который рассчитывается по формуле:
где Ктд0 — коэффициент текущей доходности облигации; Н0 — номинал облигации; СП —объявленная ставка процента (так называемая "купонная ставка"), выраженная десятичной дробью; СО—реальная текущая стоимость облигации (или текущая ее цена).
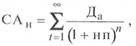
Модели оценки стоимости акций построены на следующих исходных показателях: а) сумма дивидендов, предполагаемая к получению в конкретном периоде; б) ожидаемая курсовая стоимость акции в конце периода ее реализации (при использовании акции в течение заранее определенного периода; в) ожидаемая норма валовой инвестиционной прибыли (норма доходности) по акциям; г) число периодов использования акции.
Модель оценки стоимости акции при ее использовании в течение неопределенного продолжительного периода времени имеет следующий вид:

где САН —реальная стоимость акции, используемой в течение неопределенного продолжительного периода времени; Да - сумма дивидендов, предполагаемая к получению в каждом п-ом периоде; нп — ожидаемая норма валовой инвестиционной прибыли (доходности) по акциям, выраженная десятичной дробью; п—число периодов, включенных в расчет.
Экономическое содержание данной модели состоит в том, что текущая реальная стоимость акции, используемой в течение неопределенного продолжительного периода времени (неопределенное число лет), представляет собой сумму предполагаемых к получению дивидендов по отдельным предстоящим периодам, приведенную к настоящей стоимости по дисконтной ставке, равной ожидаемой норме валовой инвестиционной прибыли (доходности).
Модель оценки стоимости акции, используемой в течение заранее определенного срока, имеет следующий вид:

где СА0 — реальная стоимость акции, используемой в течение заранее определенного срока; Да—сумма дивидендов, предполагаемая к получению в каждом п-ом периоде; КСа — ожидаемая курсовая стоимость акции в конце периода ее реализации; нп—ожидаемая норма валовой инвестиционной прибыли (доходности) по акциям, выраженная десятичной дробью; п—число периодов, включенных в расчет.
Экономическое содержание данной модели состоит в том, что текущая реальная стоимость акции, используемой в течение заранее определенного срока, равна сумме предполагаемых к получению дивидендов в используемых периодах и ожидаемой курсовой стоимости акции в момент ее реализации, приведенной к настоящей стоимости по дисконтной ставке, равной ожидаемой норме валовой инвестиционной прибыли (доходности).
Первая из рассмотренных моделей оценки стоимости акций (т.е. акций, постоянно находящихся в портфеле инвестора) имеет ряд вариантов:
Модель оценки стоимости акций со стабильным уровнем дивидендов имеет следующий вид:

где САП —реальная стоимость акций со стабильным уровнем дивидендов; Да-—годовая сумма постоянного дивиденда; нп — ожидаемая норма валовой инвестиционной прибыли (доходности) по акции, выраженная десятичной дробью;
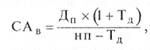
Модель оценки стоимости акций с постоянно возрастающим уровнем дивидендов (она известна как "Модель Гордона") имеет следующий вид:

где САВ -реальная стоимость акции с постоянно возрастающим уровнем дивидендов; Дп —сумма последнего выплаченного дивиденда; Тд—темп прироста дивидендов, выраженный десятичной дробью; нп -ожидаемая норма валовой инвестиционной прибыли (доходности) по акции, выраженная десятичной дробью.
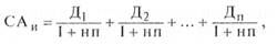
Модель оценки стоимости акций с колеблющимся уровнем дивидендов по отдельным периодам имеет следующий вид:

где САИ -реальная стоимость акции с изменяющимся уровнем дивидендов по отдельным периодам; Д1-Дп—сумма дивидендов, прогнозируемая к получению в каждом п-ом периоде; нп—ожидаемая норма валовой инвестиционной прибыли (доходности) по акциям, выраженная десятичной дробью.
Для оценки текущего уровня валовой инвестиционной прибыли по акции используется ряд показателей, основным из которых является коэффициент соотношения цены и дохода по акции. Он определяется по следующей формуле:

где Кц/д — коэффициент соотношения цены и дохода по акции; РЦа—текущая рыночная цена одной акции;
Да —сумма дивидендов, выплаченных на одну акцию.
Оценка реальной стоимости финансового инструмента в сопоставлении с ценой его текущей рыночной котировки или рассчитанная ожидаемая норма валовой инвестиционной прибыли (доходности) по нему являются основным критерием принятия управленческих решений по осуществлению тех или иных финансовых инвестиций. Вместе с тем, в процессе принятия таких управленческих решений могут быть учтены и иные факторы — условия эмиссии ценных бумаг, отраслевая или региональная принадлежность эмитента, уровень активности обращения тех или иных инструментов финансового инвестирования на рынке и другие.
4. Формирование портфеля финансовых инвестиций
Современное финансовое инвестирование непосредственно связано с формированием "инвестиционного портфеля". Оно базируется на том, что большинство инвесторов избирают для осуществления финансового инвестирования более чем один финансовый инструмент, т.е. формируют определенную их совокупность. Целенаправленный подбор таких инструментов представляет собой процесс формирования инвестиционного портфеля.
Инвестиционный портфель представляет собой целенаправленно сформированную совокупность финансовых инструментов, предназначенных для осуществления финансового инвестирования в соответствии с разработанной инвестиционной политикой. Так как на подавляющем большинстве предприятий единственным видом финансовых инструментов инвестирования являются ценные бумаги, для таких предприятий понятие "инвестиционный портфель" отождествляется с понятием "фондовый портфель" (или "портфель ценных бумаг").
Главной целью формирования инвестиционного портфеля является обеспечение реализации основных направлений политики финансового инвестирования предприятия путем подбора наиболее прибыльных и безопасных финансовых инструментов. С учетом сформулированной главной цели строится система конкретных локальных цели формирования инвестиционного портфеля, основными из которых являются:
1) обеспечение высокого уровня формирования инвестиционной прибыли в текущем периоде;
2) обеспечение высоких темпов прироста инвестируемого капитала в предстоящей долгосрочной перспективе;
3) обеспечение минимизации уровня инвестиционных рисков, связанных с финансовым инвестированием;
4) обеспечение необходимой ликвидности инвестиционного портфеля.
Перечисленные конкретные цели формирования инвестиционного портфеля в значительной степени являются альтернативными. Так, обеспечение высоких темпов прироста инвестируемого капитала в долгосрочной перспективе в определенной степени достигается за счет существенного снижения уровня формирования инвестиционной прибыли в текущем периоде(и наоборот). Темпы прироста инвестируемого капитала и уровень формирования текущей инвестиционной прибыли находятся в прямой связи с уровнем инвестиционных рисков. Обеспечение необходимой ликвидности портфеля может препятствовать включению в него как высокоприбыльных, так и низкорисковых финансовых инструментов инвестирования.
Альтернативность целей формирования инвестиционного портфеля определяет различия политики финансового инвестирования предприятия, которая в свою очередь предопределяет конкретный тип формируемого инвестиционного портфеля.
Рассмотрим современные подходы к типизации инвестиционных портфелей предприятия, обеспечивающих реализацию конкретных форм его политики финансового инвестирования.
По целям формирования инвестиционной прибыли различают два основных типа инвестиционного портфеля — портфель дохода и портфель роста.
Портфель дохода представляет собой инвестиционный портфель, сформированный по критерию максимизации уровня инвестиционной прибыли в текущем периоде вне зависимости от темпов прироста инвестируемого капитала в долгосрочной перспективе. Иными словами, этот портфель ориентирован на высокую текущую отдачу инвестиционных затрат, невзирая на то, что в будущем периоде эти затраты могли бы обеспечить получение более высокой нормы инвестиционной прибыли на вложенный капитал.
Портфель роста представляет собой инвестиционный портфель, сформированный по критерию максимизации темпов прироста инвестируемого капитала в предстоящей долгосрочной перспективе вне зависимости от уровня формирования инвестиционной прибыли в текущем периоде. Иными словами, этот портфель ориентирован на обеспечение высоких темпов роста рыночной стоимости предприятия (за счет прироста капитала в процессе финансового инвестирования), так как норма прибыли при долгосрочном финансовом инвестировании всегда выше, чем при краткосрочном. Формирование такого инвестиционного портфеля могут позволить себе лишь достаточно устойчивые в финансовом отношении предприятия.
По отношению к инвестиционным рискам различают три основных типа инвестиционного портфеля – агрессивный портфель; умеренный (компромиссный) портфель и консервативный портфель. Такая типизация портфелей основана на дифференциации уровня инвестиционного риска (а соответственно и уровня инвестиционной прибыли), на который согласен идти конкретный инвестор в процессе финансового инвестирования (рисунок 13.5.).

Агрессивный портфель представляет собой инвестиционный портфель, сформированный по критерию максимизации текущего дохода или прироста инвестированного капитала вне зависимости от сопутствующего ему уровня инвестиционного риска. Он позволяет получить максимальную норму инвестиционной прибыли на вложенный капитал, однако этому сопутствует катастрофический уровень инвестиционного риска, при котором инвестированный капитал может быть потерян полностью или в значительной доле.
Умеренный (компромиссный) портфель представляет собой сформированную совокупность финансовых инструментов инвестирования, по которому общий уровень портфельного риска приближен к среднерыночному. Естественно, что по такому инвестиционному портфелю и норма инвестиционной прибыли на вложенный капитал будет также приближена к среднерыночной.
Консервативный портфель представляет собой инвестиционный портфель, сформированный по критерию минимизации уровня инвестиционного риска. Такой портфель, формируемый наиболее осторожными инвесторами, практически исключает использование финансовых инструментов, уровень инвестиционного риска по которым превышает среднерыночный. Консервативный инвестиционный портфель обеспечивает наиболее высокий уровень безопасности финансового инвестирования.
Исходя из этих основных типов инвестиционных портфелей формируются различные их варианты, которые используются при реализации политики финансового инвестирования предприятия. Такими основными вариантами типов инвестиционных портфелей являются:
1) агрессивный портфель дохода;
2) агрессивный портфель роста;
3) умеренный портфель дохода;
4) умеренный портфель роста;
5) консервативный портфель дохода;
6) консервативный портфель роста.
Диапазон инвестиционных портфелей может быть расширен в еще большей степени за счет их вариантов, имеющих промежуточное значение целей финансового инвестирования.
Определение целей финансового инвестирования и типа инвестиционного портфеля, реализующего избранную политику, позволяет перейти к непосредственному формированию инвестиционного портфеля путем включения в него соответствующих финансовых инструментов. Эффективность этого формирования связана с использованием современной "портфельной теории", за разработку отдельных положений которой ряд авторов — Г. Маркович, В. Шарп и другие — удостоены Нобелевской премии.
"Портфельная теория" представляет собой основанный на статистических методах механизм оптимизации формируемого инвестиционного портфеля по задаваемым критериям соотношения уровня его прибыльности и риска. Эта теория состоит из следующих четырех разделов: 1) оценка инвестиционных качеств отдельных видов финансовых инструментов инвестирования; 2) формирование инвестиционных решений относительно включения в портфель индивидуальных финансовых инструментов инвестирования; 3) оптимизация портфеля, направленная на снижение уровня его риска при заданном уровне прибыльности; 4) совокупная оценка сформированного инвестиционного портфеля по соотношению уровня прибыльности и риска.
Рассмотрим основное содержание и методы портфельной теории, позволяющей оптимизировать формируемый портфель финансовых инвестиций.
1. Оценка инвестиционных качеств отдельных видов финансовых инструментов инвестирования является предварительным этапом формирования портфеля. Она представляет собой процесс рассмотрения преимуществ и недостатков различных видов финансовых инструментов инвестирования с позиций конкретного инвестора исходя из целей сформированной им политики финансового инвестирования. Результатом этого этапа формирования портфеля является определение соотношения долевых и долговых финансовых инструментов инвестирования в портфеле, а в разрезе каждой из этих групп — доли отдельных видов финансовых инструментов (акций, облигаций и т.п.).
2. Формирование инвестиционных решений относительно включения в портфель индивидуальных финансовых инструментов инвестирования базируется на избранном типе портфеля, реализующем политику финансового инвестирования; наличии предложения отдельных финансовых инструментов на рынке; оценки стоимости и уровня прибыльности отдельных финансовых инструментов; оценки уровня систематического (рыночного) риска по каждому рассматриваемому финансовому инструменту. Результатом этого этапа формирования портфеля является ранжированный по соотношению уровня прибыльности и риска перечень отобранных для включения в портфель конкретных финансовых инструментов.
3. Оптимизация портфеля, направленная на снижение уровня его риска при заданном уровне прибыльности, основывается на оценке ковариации и соответствующей диверсификации инструментов портфеля.
Ковариация представляет собой статистическую характеристику, иллюстрирующую меру сходства (или различий) двух рассматриваемых величин в динамике, амплитуде и направлении изменений. В процессе оптимизации инвестиционного портфеля изучается ковариация изменения (колебания) уровня инвестиционной прибыли по различным сопоставимым видам финансовых инструментов. Принцип проявления ковариации этого показателя графически иллюстрируется на рисунке 13.6.

Степень ковариации направлений колеблемости инвестиционной прибыли сравниваемых финансовых инструментов оценивается на основе коэффициента корелляции, значения которого могут находиться в диапазоне от —1,0 до +1,0. При значении коэффициента корелляции +1,0 направления колеблемости инвестиционной прибыли во времени сравниваемых финансовых инструментов полностью одинаковы, а при значении —1,0 — полностью противоположны. Используя различия в ковариации инвестиционной прибыли, можно подобрать в формируемый портфель такие виды финансовых инструментов, которые не меняя уровня прибыльности портфеля позволяют существенно снизить уровень его риска.
Диверсификация финансовых инструментов инвестирования позволяет уменьшить уровень несистематического (специфического) риска портфеля, а соответственно и общий уровень портфельного риска. Чем выше количество финансовых инструментов, включенных в портфель, тем ниже при неизмененном уровне инвестиционной прибыли будет уровень портфельного риска. Графически эта зависимость иллюстрируется на рисунке 13.7.

Как показывает график, увеличение количества используемых инструментов инвестирования позволяет существенно снизить уровень портфельного риска. По критериям западных специалистов минимальным требованиям диверсификации портфеля соответствует включение в него не менее 10-12 финансовых (фондовых) инструментов. В условиях неразвитости нашего фондового рынка этот критерий может быть несколько снижен.
Из рисунка видно также, что диверсификация позволяет уменьшить только несистематический риск инвестиционного портфеля — систематический риск диверсификацией не устраняется (его можно только возместить соответствующей премией за риск).
Результатом этого этапа формирования портфеля является обеспечение минимально возможного уровня его риска при заданном уровне инвестиционной прибыли.
4. Совокупная оценка сформированного портфеля по соотношению уровня прибыльности и риска позволяет оценить эффективность всей работы по его формированию.
Уровень прибыльности портфеля рассчитывается по следующей формуле:
16 Маршрутизация в ip сетях без использования масок - лекция, которая пользуется популярностью у тех, кто читал эту лекцию.

где УПП —уровень прибыльности инвестиционного портфеля; У П,—уровень прибыльности отдельных финансовых инструментов в портфеле; Уі — удельный вес отдельных финансовых инструментов в совокупной стоимости инвестиционного портфеля, выраженный десятичной дробью. Уровень риска портфеля рассчитывается по следующей формуле:

где УРП —уровень риска инвестиционного портфеля; УСРі- — уровень систематического риска отдельных финансовых инструментов (измеряемый с помощью бета-коэффициента); Уі—удельный вес отдельных финансовых инструментов в совокупной стоимости инвестиционного портфеля, выраженный десятичной дробью; УНРП —уровень несистематического риска портфеля, достигнутый в процессе его диверсификации.
Результатом этого этапа оценки портфеля является определение того, насколько удалось снизить уровень портфельного риска по отношению к среднерыночному его уровню, сформированному при заданном уровне прибыльности инвестиционного портфеля. В условиях функционирования нашего фондового рынка эта оценка должна быть дополнена и показателем уровня ликвидности сформированного портфеля. Инвестиционный портфель, который полностью отвечает целям его формирования как по типу, так и по составу включенных в него финансовых инструментов, представляет собой "сбалансированный инвестиционный портфель".
Изменение целей инвестора, значительные колебания конъюнктуры финансового рынка, изменение ставки ссудного процента, расширение предложения финансовых инструментов и ряд других условий могут вызвать необходимость корректировки сформированного инвестиционного портфеля. Такая корректировка, называемая "реструктуризацией портфеля" должна осуществляться на основе тех же принципов, которые были рассмотрены применительно к его формированию.





















