Теплопроводность цилиндрической однослойной и многослойной стенки
1.6. Теплопроводность цилиндрической однослойной и многослойной стенки
Теплопроводность цилиндрической однослойной стенки
Задача о теплопроводности цилиндрической стенки представляет большой технический интерес. Решение такой задачи позволяет провести расчет передачи тепла в трубах, которые широко используются в качестве поверхностей нагрева в различного вида теплообменниках.
При постановке задачи предполагается, что температура не меняется по оси трубы и по окружности трубы ( по углу j), зависит только от радиуса (рис. 1.10), - как и в случае плоской стенки, задача является одномерной.
|
Рис. 1.10. Цилиндрическая однослойная стенка. Теплота передается от внешней поверхности к внутренней. | Стенка выполнена из однородного материала, коэффициент теплопроводности l которого известен и не зависит от температуры, внутренний и наружный радиусы трубы равны r1 и r2 , температуры внутренней и наружной поверхностей t1 и t2 не меняются во времени. Выделим в стенке трубы цилиндрическую поверхность радиусом r, площадь которой F = 2prL м2, где L — длина трубы. Количество теплоты Q, переданной через эту поверхность, можно определить по уравнению Фурье: Q=q*F=q*2prL= Рекомендуемые материалыТехническое задание FREE Маран Программная инженерия -34% ЛЮБАЯ практика в Синергии! -20% ЛЮБАЯ дипломная работа в Синергии! = -l*(dt/dr)* 2prL. Q должно равняться тому количеству, которое проходит через внутреннюю r = r1 и наружнюю r = r2 поверхности, которые одинаковы. 2 |
После разделения переменны и интегрирования t от t1 до t2 , а r от r1 до r2 получено:
2prL dt=-Qdr/r, 2prL
=-Q
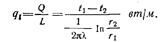
, Q=(t1-t2)/(1/2plL)*ln (r2/r1) ,
t1-t2=ql*
, где:
-удельное термическое сопротивление при L=1.
Если интегрировать t от t1 до t , а r от r1 до r , то получим закон изменения температуры в зависимости от r .
t=t1-
ln
или t=t1-
Зависимость температуры от радиуса в цилиндрической стенке изображается логарифмической кривой. Градиент температуры в цилиндрической стенке изменяется обратно пропорционально радиусу. Угол наклона линии t=t{r) к горизонтальной оси уменьшается по мере увеличения радиуса. Поэтому при направлении теплового потока наружу кривая расположена выпуклостью вниз (рис.1.11), а при направлении теплового внутрь трубы — выпуклостью вверх (рис. 1.10)
При L=1

Удельные плотности теплового потока на поверхностях r=r1 и r=r2

Как правило, количество переданной теплоты удобнее относить к одному метру длины трубы (к одному погонному метру), при этом:-
t1-t2= ql
,
где
-удельное термическое сопротивление цилиндрической стенки длинной L=1.
Теплопроводность цилиндрической многослойной стенки
Выражение теплового потока для многослойной цилиндрической стенки находится аналогично, как для многослойной плоской пластины.
|
Рис.1.11. Цилиндрическая однослойная стенка. Теплота передастся от внутренней поверхности к внешней. | При условии плотного прилегания отдельных слоев решение задачи теплопроводности, полученное для однослойной цилиндрической стенки, можно распространить и на многослойную стенку (Рис.1.11). Предполагается, что температуры соприкасающихся поверхностей в зоне контакта одинаковы (idem), т.е. контактное термическое сопротивление равно нулю (0). t1-t2= ql t2-t3=ql |
Складывая правые и левые части, получим:
t1-t3=ql (
+
)
Следовательно, выражение теплового потока через многослойную (двухслойную) цилиндрическую стенку имеет вид:
ql = (t1-t3) / (
+
)= (t1-t3)/(rt1+ rt2)
rt1=
, rt2=
- термические сопротивления слоев 1 и 2 цилиндрической стенки .
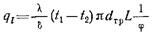
Иногда для расчетов теплового потока через однослойную цилиндрическую стенку, когда толщина стенки мала по сравнению с диаметром трубы, применяют видоизмененную формулу для плоской стенки:

где: d - толщина стенки, равная
, м; dср=
, м; j - поправочный коэффициент, зависящий от соотношения диаметров
- (см. табл. 11.1).
Таблица.
Значения поправочного коэффициента j для расчетов теплового потока через однослойную цилиндрическую стенку.
|
| 1 | 1,1 | 1,2 | 1,4 | 1,6 | I,8 | 2,0 |
| j | 1,0 | Рекомендуем посмотреть лекцию "6 Древний Китай". 1,002 | 1,003 | 1,010 | 1,019 | 1,029 | 1,04 |
























