Червячные передачи
Червячные передачи.
1. Общие сведения.
Червячные передачи осуществляют передачу между пересекающимися валами. Движение в червячной передаче осуществляется по принципу винтовой пары.
Червяк – это винт со специальным профилем витков.
Червячное колесо подобно гайке.
червячное колесо
![]() | ![]() | ||||
![]() | |||||

![]() | ![]() | |||
![]() |
Рекомендуемые материалы












червяк 
Достоинства:
1. Возможность получения больших передаточных чисел ( в силовых передачах до 80, в приборах до 300).
2. Плавность зацепления и бесшумность работы.
3. Возможность самоторможения при передаче вращения от колесу к червяку ( можно не ставить тормозных устройств).
Недостатки:
1.Низкий КПД из-за потерь на трение ( до 0,92).
2. Повышенный износ и нагрев.
3. Необходимость применения дорогих цветных сплавов (антифрикционных материалов).
4. Наличие больших осевых сил, что усложняет конструкцию подшипников.
Классификация червяков.
1. По форме тела червяка:
а) цилиндрические
![]() | |
![]() |
б) глобоидные
![]() |




Глобоидные обладают большей нагрузочной способностью из-за того, что в зацеплении находиться большее число зубьев. Однако, они сложны в изготовлении.
1. По виду профиля витков в осевом сечении.
а) трапецеидальный червяк (архимедов)

А А-А
![]() | |||||||||
![]() | |||||||||
![]() | |||||||||
![]() | ![]() | ||||||||


















А



Обозначение на чертеже: ZA .
Преимущества:
Легко изготовить (нарезается резцом на токарном станке), однако затруднено шлифование витков (необходимы фасонные шлифовальные круги).
б) эвольвентный
А-А




Обозначение на чертеже: ZI .
Такой червяк сложнее нарезать, но его проще шлифовать (плоский круг).
Червяки изготавливают из качественных углеродистых и легированных (СТ45-50,40Х и т. д.), далее закаливают до высокой твердости (HRC45-63) или цементируют и шлифуют витки с целью достижения высокой износостойкости и прочности.
Конструкции червячных колес.
Червячное колесо – это косозубое колесо с зубьями особой арочной формы. В процессе работы передачи зубья червячного колеса скользят относительно витков червяка со скоростью, называемой скоростью скольжения, поэтому червячные колеса для уменьшения трения и износа изготавливают из антифрикционных материалов: бронз, латуней или серых чугунов.
Вид конструкционного материала зависит от величины скорости скольжения. Ориентировочно можно применять:
- при
- оловянистые бронзы (БРО10Ф1 и др.)
- при
- безоловянистые бронзы (БРА9Ж3 и др.)
- при
- серый чугун.
В проектных расчетах при выборе материала скорость скольжения оценивают по формуле:
, где
- частота вращения
;
- крутящий момент на червячном колесе
.
Червячные колеса нарезают червячными фрезами, которые являются точными копиями червяков, с режущими кромками. С целью экономии дорогих бронз, червячные колеса делают составными:
![]() |
венец (бронза)




![]() |

ступица (сталь или чугун)
![]() |
2.Геометрия и кинематика червячных передач.
Основные размеры червяка.























































g
- осевой шаг червяка;
- осевой модуль (стандартный);
- делительный диаметр червяка;
, где
- коэффициент динамичности червяка (безразмерный, стандартный);
- угол профиля витков (
для стандартного червяка);
- длина нарезанной части червяка;
- соответственно диаметр вершин и впадин витков червяка;
- угол подъема линии витка червяка на делительном цилиндре ( делительный угол подъема витка);
- число заходов червяка;
Число заходов определяется с торца червяка по числу сбегающих витков.

![]() | ![]() | ![]() | ![]() |




![]() |

g






Основные размеры червячного колеса.
![]() | |||
![]() | |||









![]() | |||||
![]() | |||||
![]() |

- делительный диаметр червячного колеса;
- торцевой модуль;
- соответственно диаметр вершин и впадин зубьев;
- max диаметр червячного колеса;
- угол наклона зубьев червячного колеса;
- торцевой шаг червячного колеса (равен осевому шагу червяка);
- ширина червячного колеса;
(1) - межосевое расстояние в передачах без смещения.
Т. к. в червячных передачах стандартными являются три параметра
, то удовлетворить равенству (1) можно лишь при определенном их сочетании. В общем случае этих параметров приходиться применять смещение инструмента, для того чтобы вписаться в стандартное межосевое расстояние. Коэффициент смещения
в этом случае равен:
, а межосевое расстояние определяется по формуле:
.
Скорость скольжения червячных передач.
В отличие от зубчатых передач, витки червяка скользят по зубу червячного колеса, а не обкатываются. По этой причине окружные скорости червяка и червячного колеса не совпадают по величине и направлению.
А Вид А
виток червяка
![]() | ![]() | ![]() | |||




![]() |











зуб червяка





Т.о. в червячных передачах скорость скольжения больше окружной скорости червяка, что является причиной износа и высоких потерь на трение.
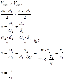
Передаточное число червячных передач.









где
- число зубьев червячного колеса,
- число заходов червяка.
3.Силы в зацеплении червячных передач.
Сила в зацеплении червячной передачи раскладывается на три взаимно перпендикулярных составляющих, которые называются:
- окружная,
;
- радиальная,
;
- осевая,
.

![]() | ![]() | ||


![]() | |||
![]() | |||





![]() | |||
![]() | |||




























4.Коэффициент полезного действия червячных передач.
Развернем витки червяка по делительному диаметру в наклонную плоскость, а зуб червячного колеса заменим ползуном.
![]() | ![]() | ![]() | |||||
![]() | |||||||


y
![]() |







g




















x







g
![]() | |||||
![]() | ![]() | ||||

Тогда принцип работы червячной передачи сведется к следующему:
под действием силы
ползун весом
поднимается по наклонной плоскости на высоту
.
По определению КПД:
(1).
Угол отклонения полной реакции от нормали поверхности называется углом трения
.
-коэффициент трения.
Т.к. ползун перемещается равномерно, то система сил
находятся в равновесии. Спроектируем все силы на оси:
На x:
На y:



(2)

Подставим выражение (2) в выражение (1) для КПД:




Для того чтобы увеличить КПД , нужно прежде всего снизить потери на трение
, увеличить число заходов червяка.
В предварительных расчетах можно принимать:
|
| 1 | 2 | 4 | |
| h |
|
|
|
Понятие о самоторможении червячных передач.
Если ведущим является червячное колесо, то взаимодействие ползуна с наклонной плоскостью выглядит следующим образом:

y


g r 










x

g
Т.о. если
, то
, т.е. обратное движение невозможно. Это явление называют самоторможением червячных передач.
5.Основные критерии работоспособности червячных передач. Расчеты червячных передач.
Причины выхода из строя червячных передач:
1. износ зубьев червячного колеса;
2. заедание (схватывание) рабочих поверхностей зубьев;
3. поломка зуба червячного колеса;
4. контактное выкрашивание;
5. перегрев передачи;
6. недостаточная жесткость червяка (прогиб).
Основными критериями работоспособности червячных передач являются: износостойкость, прочность, теплостойкость, жесткость.
5.1 Расчет червячных передач на износостойкость.
Расчет на контактную прочность совмещен с этим расчетом путем выбора соответствующих контактных напряжений. Расчет контактных напряжений, от которых в основном и зависит износостойкость, проводится по формуле Герца:

Основные особенности
- расчета червячных передач:
1. 
2. 


После подстановки в формулу Герца с учетом особенностей контакта червячных передач и дальнейших упрощений, получаем выражение:
(1), где

- коэффициент нагрузки учитывает неравномерность распределения нагрузки
и динамичность нагрузки (ударность)
.
зависит от коэффициента диаметра червяка и от режима нагрузки
- скорости скольжения и степени точности.
Проектный расчет проводится по формуле:

Эта формула получается, если в выражении (1) приравнять левую и правую части, а затем выразить одну из величин.
5.2 Расчет зубьев червячного колеса по напряжениям изгиба.
Аналогичен расчету косозубых цилиндрических колес с учетом следующих особенностей:
1.арочная форма зуба повышает прочность по сравнению с косозубым колесом;
2.наклон зубьев червячного колеса меньше, чем у большинства косозубых колес.
Поэтому
.




5.3 Расчет червячных передач на теплостойкость.
Поскольку, в червячных передачах скорость скольжения значительна, то передача сильно греется, при этом резко ухудшаются свойства смазочного материала, что приводит к повышенному износу или к заеданию.
Расчет на теплостойкость выполняется в форме составления баланса тепла, выделившегося в передаче
и отведенного от нее
.
(1)
- мощность на червяке;

- коэффициент теплоотдачи;
- площадь охлаждения поверхности редуктора;
- установившаяся температура;
- начальная температура.

Площадь поверхности охлаждения:
(дно не учитывается).
![]() |

H










L B
Решая уравнение (1) относительно t, получим



Для обычных смазочных материалов температура допускаемая
.
В предварительных расчетах можно принимать:



Если
, то
1.
, применить оребрение корпуса
![]() |




2.
, поставить вентилятор на вал червяка


















3.Применяют водяное охлаждение масла с помощью установки змеевика:





























4.Циркуляционная система смазки ( с помощью масленого насоса).

Рекомендуют глубину погружения червяка в смазочный материал не более высоты червяка (если червяк расположен снизу); глубину погружения не более 1/3R.
5.4 Расчет червяка на жесткость.
Этот расчет необходим поскольку повышенные прогибы червяка вызывают недопустимую концентрацию нагрузки в зацеплении.
Расчетная схема:













L
Лекция "Фирменный стиль" также может быть Вам полезна.

- приведенный момент инерции;

Чтобы уменьшить f нужно сблизить опоры и увеличить диаметр червяка.

























































