Ультразвуковые, вихревые и массовые расходомеры
Вопрос №4
Ультразвуковые, вихревые и массовые расходомеры. Теплосчетчики
Ультразвуковые расходомеры. Принцип действия ультразвуковых расходомеров основан на измерении зависящего от расхода того или иного акустического эффекта, возникающего при прохождении ультразвуковых колебаний через контролируемый поток жидкости или газа.
В последнее время используются две разновидности ультразвуковых, расходомеров: расходомеры, основанные на перемещении ультразвуковых колебаний движущейся средой и доплеровский. Наибольшее распространение получила первая группа приборов. В таких расходомерах ультразвуковые колебания, создаваемые пьезоэлементами, направляются по потоку жидкости и против него. Разность времен прохождения Δτ ультразвуковыми импульсами расстояния между излучателем и приемником по потоку и против потока пропорциональна скорости потока, т.е. скорость ультразвука относительно стенок трубы зависит от скорости потока.
Основные трудности использования ультразвукового метода связаны с тем, что скорость ультразвука в среде зависит от физико-химических свойств последней: температуры, давления, и она значительно больше скорости среды, так что действительная скорость ультразвука в движущейся среде мало отличается от скорости в неподвижной среде. Разность времен прохождения Δτ равна 10-б...10-7 с даже при скоростях потока 10... 15 м/с, причем измерять Δτ нужно с погрешностью 10-8...10-9 с. Эти обстоятельства обусловливают необходимость применения сложных электронных схем в сочетании с микропроцессорной техникой, обеспечивающих компенсацию влияния перечисленных факторов.
Ультразвуковые расходомеры в последние годы получают все более.широкое распространение благодаря следующим положительным чертам:
• значительному динамическому диапазону, достигающему 25-—30;
• высокой точности измерения, составляющей ±(1;2) %;
Рекомендуемые материалы
• возможности измерения расхода неэлектропроводных сред (нефтепродукты), загрязненных сред, суспензий;
• широкому диапазону диаметров трубопроводов от 10 мм и выше без ограничений;
• малой инерционности;
• отсутствию потери давления;
• •широкому диапазону температур (от -220 до 600 °С) и давлений.
К недостаткам этого метода измерения расхода следует отнести:
• необходимость значительных длин линейных участков до и после преобразователя;
• влияние на показания пузырьков воздуха в потоке;
• необходимость контроля отложений в трубопроводе на его рабочем участке;
• сложность и высокая стоимость приборов, которая при прочих равных условиях в 3—4 раза превышает стоимость тахометрических и электромагнитных расходомеров;
• ограничения по минимальной скорости потока.
Все ультразвуковые расходомеры являются микропроцессорными, на выходе они имеют токовый и импульсный выходные сигналы, цифровой дисплей, интерфейсы RS-232, RS-485, цепь сигнализации, значение суммарного расхода архивируется вместе с указанием нештатных ситуаций. Многие приборы могут измерять расход реверсивного потока.
Расходомеры по конструктивному исполнению подразделяются на одно- и двухканальные. В одноканальной схеме (рис. 14.1, а) каждый пьезоэлемент работает попеременно в режиме излучателя и приемника, что обеспечивается системой переключателей. Для увеличения чувствительности ход луча в среде может быть увеличен применением рефлекторов (рис. 14.1, б). Чувствительность ультразвуковых преобразователей также растет с уменьшением угла α между векторами скорости потока и и ультразвука с. В двухканальной схеме (рис. 14.1, в) каждый пьезоэлемент работает только в одном режиме — излучателя или приемника. Двухканальные схемы проще одноканальных (нет сложных схем переключения), но точность их меньше, вследствие возможной акустической асимметрии обоих каналов.

Рис. 14.1. Схемы ультразвуковых преобразователей расходомеров:
а — одноканального; б — с отражателями; в — двухканального
Если расстояние между излучателем и приемником обозначить через L, то время распространения импульса по потоку можно записать в виде

где uL — скорость среды, усредненная по длине пути луча от излучателя до приемника.
Время прохождения импульса против потока составляет

Пренебрегая в знаменателе членом
cos α2 , получаем, что разность времен прохождения импульсов
(14.1)
Таким образом, показания ультразвуковых расходомеров зависят от скорости потока иL, усредненной по ходу луча, а не по диаметру трубы, что является характерной особенностью расходомеров с излучением по потоку. В то же время для определения объемного расхода требуется измерение скорости иср, усредненной по диаметру трубы. Для трубопроводов круглого сечения даже для осесимметричных потоков иср не равно uL и соотношение между ними зависит от эпюры скоростей потока. Это обстоятельство является недостатком ультразвуковых расходомеров, определяющим наиболее существенную составляющую методической погрешности.
В общем случае иср и uL связаны соотношением

При установившемся турбулентном движении и осесимметричном потоке k зависит от числа Re, так как с изменением Re изменяется характер распределения скоростей, значение k в этом случае меняется в диапазоне 0,92...0,95. Это является причиной принципиальной нелинейности статических характеристик ультразвуковых расходомеров при их индивидуальной градуировке. В ультразвуковых расходомерах SITRANS F фирмы Siemens, благодаря наличию отражателей, ход луча состоит из пяти отрезков, три из которых направлены по хордам, что обеспечивает сканирование профиля потока и измерение средней скорости потока в широком диапазоне измерения его скоростей. При максимальной скорости потока 10 м/с обеспечивается погрешность измерения расхода ±0,5 % в динамическом диапазоне 25 и ±1 % в диапазоне 100. В зависимости от типа местного сопротивления длина линейного участка трубопровода составляет (10...40)D до преобразователя и 5D после него.
По методу определения Δτ ультразвуковые расходомеры подразделяются на времяимпульсные, частотные и фазовые.
Во времяимпульсных расходомерах периодически производится измерение Дт коротких импульсов длительностью 0,1...0,2 мке, по которым затем в соответствии с (14.1) и (14.2) определяется объемный расход (70. Микропроцессорные расходомеры UFM 005 (ЗАО «Центроприбор», ПО «Промприбор») предназначены для измерения расхода воды и устанавливаются в трубопроводах диаметром 15... 1600 мм. В их состав входит для диаметров до 200 мм первичный преобразователь УПР, свыше 200 мм — пьезопреобразо-ватели для врезки в трубопровод и вычислитель ультразвуковой УВ. Первичный преобразователь УПВ представляет отрезок трубы с двумя врезанными пьезоэлектрическими преобразователями и приваренными по торцам фланцами. При проливном методе поверки расходомеры в области расходов от переходного до верхнего предела при динамическом диапазоне 25 имеют погрешность ±1,5%, а от переходного до минимального — ±4%, причем Gmax/<7min составляет 70—75. Расходомер помимо цифрового индикатора имеет токовый выходной сигнал 0...5 мА, интерфейсы RS-232 и RS-485, в ПЗУ хранится архив среднечасовых и среднесуточных значений количества воды глубиной 5000 ч.
В частотных расходомерах каждый последующий импульс посылается излучателем только после достижения предыдущим импульсом приемного пьезоэлемента. Очевидно, что если время между импульсами равно τ, то частота следования их
При этом частота следования импульсов по потоку
,
а против потока

Разность частот следования импульсов, определяемая дифференциальной схемой, связана со скоростью и объемным расходом:

Из этой формулы следует, что показания частотных расходомеров не зависят от скорости распространения ультразвука в неподвижной среде, а следовательно, и от физико-химических свойств и параметров среды. Это является достоинством частотных расходомеров.
В фазовых расходомерах измеряется разность фаз Δφ ультразвуковых колебаний частотой f, распространяющихся по потоку и против него. При одинаковой начальной фазе колебаний Дер = 2тс/Дт, или с учетом (14.1)

отсюда G0 =
.
Недостаток этих расходомеров — зависимость показаний от изменения скорости звука.
В доплеровских ультразвуковых расходомерах используется отражение ультразвуковых колебаний движущимися частицами потока. Так, если частота излучаемых колебаний составляет f1, а частота отраженных — f2, то между разностью этих частот и скоростью частицы и имеет место зависимость

где с — скорость звука в неподвижной среде;
α', α" — углы между направлением исходного луча и вектором скорости частицы-отражателя, и между направлением отраженного луча, воспринимаемого пьезоэлементом и вектором скорости частицы-отражателя (рис. 14.2). Если
Доплеровские расходомеры измеряют местную скорость звука. В трубах малого и среднего диаметров эти расходомеры могут измерять среднюю скорость по диаметру или части площади трубы. В трубах больших диаметров при наличии прямых участков достаточной длины отражатель должен находиться на расстоянии 0,12 D от стенки трубы, где скорость соответствует средней скорости потока. В противном случае необходима индивидуальная градуировка расходомера.

Рис. 14.2. Схема доплеровского преобразователя
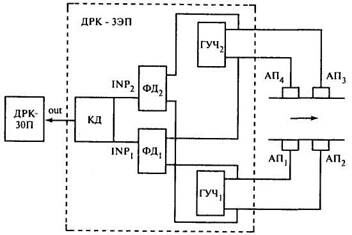
В корреляционных датчиках расхода ДРК доплеровский эффект используется для определения времени прохождения случайными (турбулентными) флуктуациями между двумя смещенными по длине трубы парами ультразвуковых преобразователей. Микропроцессор производит статистическую обработку сигналов, поступивших в приемники ультразвуковых колебаний каждого из сечений. Скорость потока определяется по времени, соответствующем максимуму корреляционной функции, связывающей сигналы, поступившие на оба приемника. На рис. 14.3 представлена структурная схема датчика расхода корреляционного ДРК ф. «Метран».

Рис. 14.3. Структурная схема корреляционного доплеровского расходомера
Сигналы ультразвуковой частоты поступают от генераторов ГУЧ1, ГУЧ2 на акустические преобразователи АП1 ÷ АП4, сигналы которых вызывают, благодаря доплеровскому эффекту, вторичные колебания, которые накладываются на основные. Фазовые детекторы ФД1 ФД2 и корреляционный дискриминатор КД, управляемый микропроцессором, обеспечивают получение импульсного сигнала, пропорционального расходу. Эти сигналы могут суммироваться и выводиться на цифровой индикатор, подаваться на оконечный преобразователь ДРК-30П или тепловычислитель. Такие расходомеры могут устанавливаться в трубопроводах диаметром от 50 до 4000 мм при скорости среды от 0,1 до 10 м/с, предел относительной погрешности составляет ±1,5; 2 %.
Вихревые и массовые расходомеры. В вихревых расходомерах значение расхода определяется по частоте вихрей Кармана, возникающих как при введении в поток тела обтекания, так и при специальном закручивании потока. К достоинствам этого метода можно отнести:
• возможность измерения расхода жидких и газовых сред;
• отсутствие движущихся элементов в потоке и простота устройства;
• широкий динамический диапазон, достигающий 25;
• широкий диапазон давлений и температур измеряемых сред;
• высокая точность.
К недостаткам этого метода относятся:
• ограничения по диаметру трубопровода D = (20... 150) мм;
• ограничения по вязкости, которая не должна превышать 5∙10-5 м2/с;
• для обеспечения устойчивого вихреобразования скорость потока должна быть не менее 0,2 м/с;
• наличие потери давления, достигающей 30 кПа;
• воздействие на преобразователь акустических и вибрационных помех, создаваемых насосами, компрессорами, местными сопротивлениями. Для снижения влияния последних необходимо обеспечить определенную длину линейных участков до и после вихревого преобразователя.
Наибольшее распространение получили вихревые расходомеры с телом обтекания, которое находится на пути потока и изменяет направление движения омывающих его струй. Характер движения потока при обтекании цилиндра и образование вихрей представлены на рис. 14.4. При обтекании цилиндра скорость потока возрастает, кинетическая энергия растет, а потенциальная падает. После миделева сечения, где площадь минимальная, поток расширяется, скорость его снижается и давление растет. Под влиянием возрастающего давления пограничный слой начинает отклоняться в область мертвой зоны, создавая встречный потоку свертывающийся вихрь. Развитие вихря с одной стороны препятствует образованию вихря с другой, поэтому создаются две вихревые дорожки с шахматным расположением вихрей в них.

Рис. 14.4. Схема образования вихрей Кармана
Процесс вихреобразования характеризует число Струхаля
Sh = fd/u,
где f — частота образования вихрей;
и — скорость потока;
d — характерный размер тела обтекания, для цилиндра это диаметр.
При постоянстве Sh частота образования вихрей меняется пропорционально изменению скорости потока. Таким образом, для получения линейной зависимости между f и и необходимо, чтобы число Струхаля оставалось постоянным в широком диапазоне чисел Re.
На процесс вихреобразования влияет вибрация трубопровода создаваемая насосами, компрессорами, акустические колебания, возникающие из-за местных сопротивлений и внешних шумов. Наиболее распространенной формой тела обтекания, создающей устойчивые вихри, является призма с треугольным или трапецеидальным сечением, обращенная основанием навстречу потока. Рекомендуется чтобы длина основания l составляла l/3D, а высота по направлению потока 1,3l. Для таких тел при острых ребрах число Sh остается постоянным в области чисел Re 104...4∙106 при нелинейности градуировки не превышающей ±0,5 %.
Для измерения частоты возникающих вихрей могут использоваться электромагнитные, акустические, силовые преобразователи и термоанемометры. Так, в вихревом микропроцессорном расходомере ВЭПС ф. «Саяны» телом обтекания служит призма, которая является одним электродом электромагнитного преобразователя. Второй электрод расположен за телом обтекания. Магнитное поле создается внешним постоянным магнитом. Динамический диапазон прибора составляет 25 при пределе относительной погрешности ±1 %. Прибор изготавливается для трубопроводов диаметром 20...300 мм. На эти приборы распространяются все ограничения которые относятся к электромагнитным расходомерам.
В вихреакустических микропроцессорных преобразователях расхода «Метран-ЗООПР» частота образования вихрей измеряется ультразвуковым преобразователем, основанным на доплеровском эффекте. Телом обтекания служит призма, в проточную часть преобразователя помимо нее введены два пьезоизлучателя, два пьезоприемннка и термопреобразователь. Электронный блок включает генератор, фазовый детектор, микропроцессорный адаптивный фильтр с блоком формирования выходных сигналов.
Пьезоизлучатели и пьезоприемники находятся в двух парах стаканчиков, введенных в одном сечении диаметрально противоположно друг другу в корпус проточной части за телом обтекания. На пьезоизлучатели подается переменное напряжение, которое преобразуется в ультразвуковые колебания. Наличие вихрей на пути луча вызывает модуляцию ультразвуковых колебаний по фазе, которые измеряются фазовым детектором. Использование двухлучевых преобразователей снижает влияние таких отрицательных факторов как вибрация трубопровода, пульсация давления. Наличие термопреобразователя и введение его сигнала в микропроцессор обеспечивает расширение динамического диапазона прибора, который достигает 100 при пределе основной погрешности ±1 %.
В вихревых расходомерах типа 8800А фирмы Rosemount в качестве чувствительного элемента, воспринимающего колебания давления, создаваемые вихрями Кармана, служит гибкая пластинка, находящаяся за телом обтекания. Колебания пластинки с помощью коромысла воздействуют на тензопреобразователь, находящийся вне потока. Схема преобразователя и структурная схема электронного блока, преобразующего сигнал тензопреобразователя в токовый и импульсный выходные сигналы, в том числе в соответствии с HART-протоколом, показания расхода на цифровом дисплее, представлена на рис. 14.5. Эти преобразователи устанавливаются в трубопроводах диаметром 15...200 мм. Предел относительной погрешности для жидкостей при Re > 20000 составляет ± 0,65 %, для газов и пара при Re > 15 000 ± 1,35%.

Рис. 14.5. Схема вихресилового расходомера:
а — схема фрагмента сенсора; б — структурная схема электронного блока
Массовые расходомеры являются разновидностью силовых расходомеров, у которых выходной сигнал или показания пропорциональны массе протекающего вещества. В массовых расходомерах используются кориолисовы силы, поэтому их часто называют кориолисовыми расходомерами. Эти расходомеры в основном применяются для измерения небольших массовых расходов в трубопроводах диаметром 5... 150 мм. Предел основной погрешности в различных моделях этих расходомеров составляет ±(0,1...0,5) % при динамическом диапазоне от 20 до 80.
Кориолисово ускорение и связанная с ним сила возникают при наличии радиального переносного движения среды во вращающемся или вибрирующем трубопроводе. Для участка трубопровода, изображенного на рис. 14.6, закручивающий момент, действующий на торсионную трубку 1, составляет

где и — скорость радиального движения жидкости в трубках сечением F при угловой скорости их вращения ω;
r2 — радиус наружного конца трубки 2, имеющей эластичное соединение 3 с концом ведущей трубки 4;
r1 — средний радиус, на котором прекращается движение жидкости в радиальном направлении;
GM — массовый расход жидкости.

Рис. 14.6. Силы, действующие в кориолисовом расходомере:
1 — торсионная трубка; 2 — трубка с эластичным соединением 3,4 — ведущая трубка
В массовых расходомерах фирмы Micro Motion используются первичные преобразователи с изогнутой трубкой и прямоточные. В этих преобразователях измеряемая среда движется внутри вибрирующей мерной трубки специальной формы. Под действием кориолисовой силы части мерной трубы изгибаются друг относительно друга, что приводит к рассогласованию фаз колебаний ее разных участков, которые воспринимаются электромагнитным преобразователем.
Теплосчетчики. Теплосчетчик — средство измерения, предназначенное для определения количества теплоты. Количество теплоты обычно выражается в гигаджоулях (ГДж) или гигакалориях (Гкал), 1 Гкал = 4,1868 ГДж.
Теплосчетчики получили широкое распространение, поскольку по их показаниям производятся расчеты за полученную потребителями теплоту. Теплосчетчики устанавливаются как на источниках теплоты: ТЭЦ, РТС (районные тепловые станции), так и у потребителей, теплоносителем служит вода, редко — пар. Все выпускаемые в настоящее время теплосчетчики являются многофункциональными микропроцессорными приборами, включающими в свой состав измерители температуры, расхода, давления и тепловычислители. Они имеют защиту от несанкционированного доступа, а используемые в них программы и заложенные функциональные возможности исходят из действующих правил как учета теплоты и теплоносителя, так и теплопотребления.
Алгоритмы расчета количества теплоты. Реализуемые в теплосчетчиках алгоритмы расчета теплоты зависят от вида теплоносителя и структуры системы отпуска теплоты. Последняя, изображенная на рис. 14.7, может быть закрытой, когда количество теплоносителя в системе теплоснабжения остается постоянным, и открытой, когда количество теплоносителя меняется из-за отпуска теплоносителя на нужды горячего водоснабжения, подпитку независимой системы теплоснабжения, из-за утечек.

Рис. 14.7. Схема закрытой системы теплоснабжения
В закрытой системе теплоснабжения количество отданной теплоты Q за интервал времени T1, Т2 рассчитывается по формуле
(14.3)
где GM — массовый расход теплоносителя;
h1, h2 — энтальпии теплоносителя на входе и выходе системы теплоснабжения;
Т — время.
Для расчета количества теплоты, отданной водой в открытой системе теплоснабжения, используются несколько алгоритмов, зависящих от структуры системы, используемых средств измерения расхода теплоносителя и места их установки:

где G1, G2 — расходы воды в подающем (прямом) и обратном трубопроводах;
Gу , Gп , Gг.в. , Gп.о. — расходы теплоносителя, связанные с утечкой теплоносителя, компенсацией его потерь (подпитка) Gп = G1 - G2, горячим водоснабжением и подпиткой независимой системы отопления;
hх.в. — энтальпия холодной воды, пошедшей на подпитку теплосети у источника теплоснабжения.
Возможны другие варианты записи алгоритмов расчета отпущенной теплоты, основанные на значении расхода в обратном трубопроводе G2.
Если в качестве теплоносителя используется пар, то
(14.7
где Dп , Gк , hп , hк — расходы пара и возвращенного конденсата,их энтальпии.
Для расчета количества теплоты по выражениям (14.3)—(14.7) необходимо измерять расходы теплоносителя, температуры, давления и суммировать результаты расчета во времени. Определение количества теплоты представляет собой косвенное измерение, его погрешность зависит:
от погрешностей первичных средств измерения расхода или его разности, разности температур и давления;
от алгоритма расчета теплоты;
от погрешности тепловычислителя, которая помимо инструментальной погрешности включает погрешности расчетных соотношений, аппроксимирующих теплофизические свойства воды и пара.
Обычно погрешности тепловычислителя при расчете теплоты составляют ±(0,1...0,25) %, для измерения разности температур используются парные термопреобразователи сопротивления. Минимальные погрешности имеют теплосчетчики для закрытых систем теплоснабжения, реализующих алгоритм (14.3). Пределы их допускаемых относительных погрешностей в %, согласно ГОСТ 51649-2000 «Теплосчетчики для водяных систем теплоснабжения», не должны превышать значений, рассчитываемых по формулам для классов:

где
— действующие значения разности температур (t1 — t2) и расхода;
— наименьшее значение разности температур по паспорту прибора и наибольшее значение расхода.
Так, для теплосчетчика класса С при Δtн = 2 ºC, Δt = 5 ºC, Gв /G = 10
= 10 предел погрешности составит ±3,61%, а при Δt = 20 ºC, Gв /G = 2 он не должен превышать ± 2,42 %. Наиболее распространенные теплосчетчики имеют пределы относительной погрешности от ± 3 до ± 6 % в зависимости от измеряемой разности температур. При оценке погрешностей этих теплосчетчиков для закрытых систем теплоснабжения суммируются пределы относительных погрешностей измерения расхода, разности температур и тепловычислителя. Полученная суммарная погрешность не должна превышать в зависимости от класса теплосчетчика цифр, определяемых по (14.8)—(14.10).
В открытых системах водяного теплоснабжения и при теплоносителе паре, для которых расчет теплоты производится по (14.4), (14.6), (14.7) погрешности существенно возрастают из-за присутствия в алгоритме расчета двух и более значений расходов и их разностей. Для снижения погрешностей рекомендуется использовать расходомеры с согласованными характеристиками, подобно парным термопреобразователям. При непосредственном измерении расхода подпиточной воды и расчете теплоты по (14.5) погрешность учета ниже, чем при расчете по (14.4), (14.6).
Состав теплосчетчиков. Разнообразие теплосчетчиков отражает многообразие требований потребителей этих приборов. Теплосчетчики стоят на магистралях ТЭЦ с диаметрами трубопроводов до 1400 мм и на трубках диаметром 10... 12 мм в квартирах и небольших офисах. Число трубопроводов, по которым теплосчетчик производит расчет теплоты, может варьироваться в пределах десятка. При всем многообразии теплосчетчиков в их составе обязательно присутствуют термопреобразователи, измерители расхода и тепловычислители. Теплосчетчики можно разделить по следующим признакам:
• по типу используемых преобразователей расхода;
• по диаметрам трубопроводов теплоносителя;
• по диапазону измеряемых расходов
;
• по количеству потоков теплоносителя (каналов).
В табл. 14.1 для некоторых типов теплосчетчиков приведены характеристики по указанным признакам.
Помимо приведенных данных в табл. 14.1 другие важные характеристики расходомеров, такие как погрешности, требуемая длина линейных участков до и после расходомера, потеря давления были рассмотрены в гл. 12, 13.
Таблица 14.1
Характеристики теплосчетчиков

*) Теплосчетчик СТД может работать со всеми типами расходомеров, с зависящими от их типа характеристиками по диапазонам Ду и Qmax /Qmin.
**) К теплосчетчику «Взлет TCP» дополнительно могут быть подключены два расходомера с импульсным выходом.
***) Тепловычислитель «Метран-410» может работать с четырьмя расходомерами, имеющими импульсный выходной сигнал: тахометрическими (ВСТ, ВМГ), вихреакустическими («Метран-300 ПР») и акустическими (ДРК-С).
Поскольку погрешности измерения теплоты зависят от погрешности измерения разности температур, то в подавляющем большинстве теплосчетчиков используются комплекты платиновых термопреобразователей с согласованными характеристиками типа КТПТР, КТСП, КТП и др..
Тепловычислители по конструкции и функциональным возможностям существенно отличаются от рассмотренных выше вторичных приборов. Действующие в РФ правила учета теплоты и теплоносителя, теплопотребления предписывают производить не только расчет количества полученной теплоты, но и обеспечить контроль режима теплопотребления. При этом должна фиксироваться температура воды и расход в подающем и обратном трубопроводах. Первое позволяет контролировать эффективность работы теплообменных устройств, второе — наличие утечек теплоносителя или подсосов водопроводной воды. Так, тепловычислитель ТСРВ-010 теплосчетчика «Взлет TCP» обеспечивает выполнение следующих типовых функций:
• показание текущих значений расхода, температуры и давления в 1÷4 трубопроводах;
• показание текущих значений объема или массы теплоносителя, подаваемых по 1÷4 трубопроводам;
• показание текущего расхода теплоты по 1÷2 тепловым системам;
• архивирование в энергонезависимой памяти результатов измерений, вычислений и хранение этих величин при отключении питания;
• ввод и вывод согласованных значений температуры и давления воды в источнике холодного водоснабжения, давления теплоносителя в трубопроводах;
• вывод перечисленной и диагностической информации через последовательные интерфейсы RS-232 (в том числе через телефонный и радиомодемы), RS-485, а также на печатающее устройство через адаптер принтера;
• вывод значений расхода в одном-двух каналах в виде импульсной последовательности, а по одному из каналов в виде унифицированного токового сигнала;
• определение, индикация и запись в архив неисправностей теплосчетчика, нештатных состояний тепловой системы, времени работы и останова теплосчетчика для каждой из тепловых систем;
• защиту архивных данных от несанкционированного доступа.
В качестве примера для закрытой системы теплоснабжения диагностируемые нештатные состояния у теплосчетчика ТСРВ-010 включают:
• превышение расходом G1 максимального заданного значения;
• снижение расхода G1 ниже минимального заданного значения;
• G2 > G1
• t2 > t1
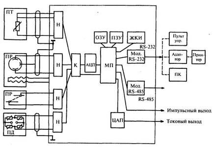
Структурная схема тепловычислителя ТСРВ-010, выполненного в одноплатном варианте, содержит конструктивные элементы, представленные на рис. 14.8. Все первичные преобразователи подключаются к тепловычислителю экранированными проводами. Термопреобразователи (ПТ) подключаются к тепловычислителю по трехпроводной схеме, их число может достигать шести. К электромагнитному преобразователю расхода (ПР) по двум проводам подается импульсное напряжение возбуждения (накачки), по двум — отводится модулированный по амплитуде импульсный сигнал, пропорциональный расходу. Максимальное число расходомеров составляет четыре, при этом два расходомера могут быть ультразвуковыми. Преобразователи давления (ПД) с токовым выходным сигналом 4...20 мА подключаются к тепловычислителю двумя проводами, с сигналом 0...5 мА — тремя проводами. Число преобразователей давления, подключенных к теплосчетчику, может быть увеличено с двух до четырех при сокращении числа термопреобразователей сопротивления.

Рис. 14.8. Структурная схема теплосчетчика
В тепловычислителе вводимые сигналы нормализуются (Н) и коммутатором (К) периодически подключаются к АЦП, а затем — микропроцессору (МП). В ПЗУ хранятся архивируемые данные, вводимые постоянные, расчетные соотношения, последовательность управляющих команд. Устройства вывода включают блок жидкокристаллического индикатора (ЖКИ), ЦАП, коммутатор, модули RS-232, RS-485 и другие элементы, обеспечивающие работу внешних устройств. Показания тепловычислителя могут сниматься по нескольким каналам: с жидкокристаллического дисплея, по RS-232 через адаптер печататься на принтере, выводиться на персональный компьютер (ПК) или с помощью модема передаваться на удаленные устройства. Этот теплосчетчик имеет импульсный выход и может иметь дополнительно токовый выходной сигнал или интерфейс RS-485. Программирование прибора производится с пульта управления или персонального компьютера.
Сети приборов коммерческого учета. Плата за энергоносители, воду является значительной статьей расходов любого производства и жилищно-коммунального хозяйства. На промышленных предприятиях, электростанциях, в районах тепловых сетей и прочие, используя интерфейс RS-232 или RS-485, создаются локальные сети, объединяющие средства учета расхода электроэнергии, потребления газа и теплоты. В принципе такие сети могут создаваться с использованием Internet, но в производственных объединениях предпочитают закрытые корпоративные сети, а на отдельных предприятиях — локальные. Сложность создания таких систем определяется тем, что при использовании стандартных протоколов RS-232, RS-485, HART изготовители теплосчетчиков, расходомеров и других первичных средств измерения используют индивидуальные протоколы вывода числовых данных, что требует адаптации центрального вычислителя к парку используемых средств измерения.
Измерительно-вычислительный комплекс АСУТ-601 предназначен для коммерческого учета тепловой энергии и теплоносителей у производителей и потребителей тепловой энергии. Комплекс позволяет вести учет следующих сред:
• горячей и холодной воды;
• водяного пара;
• возвратного конденсата;
• подпитки;
• стоков;
• природных и технических газов.
Количество обсчитываемых трубопроводов может достигать 100. Ввод сигналов от первичных преобразователей температуры, давления, разности давлений, их первичное преобразование в значение измеряемых параметров производится в теплосчетчиках, расходомерах, счетчиках газа.
Центральной частью
является вычислитель на базе персонального компьютера с процессором PENTIUM-133 МГц с развитым программным обеспечением, включающим операционные системы
, Windows NT, MS DOS; ПО реального времени COMPLEX; базы данных реального времени; средства их генерации.
Максимальное число интерфейсных каналов RS-485 равно 24. В табл. 14.2 приведены типы подключаемых к комплексу приборов, их максимальное количество на одной линии и максимальное расстояние между прибором и вычислителем.
Для учета энергозатрат предприятий одного ведомства в пределах региона создаются корпоративные сети. В качестве примера такие сети могут быть созданы на основе программного комплекса «Взлет СП», ориентированного на приборы, выпускаемые фирмами «Взлет», «Логика» и объединяющими средства учета количества газа, нефтепродуктов, теплоты и стоков, энергопотребления. Эта система, представленная на рис. 14.9, в пределах региона может объединять несколько сотен коммерческих узлов учета.
Таблица 14.2
Средства измерений, работающие с АСУТ-601

Люди также интересуются этой лекцией: 30 Право и государство как объекты исследования в юриспруденции и философии.
Компоненты «Взлет СП» используют объекты русской версии MS Office 2000. Объекты Excel применяются для представления электронных таблиц и графиков, Access — для подготовки отчетных документов. При построении сети приборов используются соединения типа шина и кольцо. Шинное объединение основывается на интерфейсе RS-485. Шина «Взлет» является шиной с одним ведущим абонентом, а остальные — ведомыми. Ведущий абонент (персональный компьютер) управляет передачей сообщений. Ведомый абонент дает сообщение только после получения запроса в течение заданного интервала времени. На шине используются два протокола Modbus и Bitbus, что позволяет подключать к ней приборы, использующие разные протоколы. Скорость обмена составляет от 600 до 19 200 бит/с. Хотя логическая емкость шины допускает более 200 адресов, но из-за ограниченной нагрузочной способности передатчика (32 приемника) ее возможности могут быть использованы только при применении специальных повторителей.
Для объединения шин «Взлет» и маркерных шин фирмы «Логика» в единую сеть используется адаптер сетевых протоколов «Взлет АСП». Устройство имеет два разъема подключения, каждый из которых содержит цепи интерфейсов RS-232 и RS-485. Структурная схема на рис. 14.9 относится к одному из вариантов рассматриваемой системы. К шине Ethernet корпоративной сети подключены персональные компьютеры с установленным комплексом «Взлет СП». К персональному компьютеру № 3 через адаптер АПС69М подключена маркерная шина, к которой через адаптеры «Взлет АСП» подключены шины «Взлет» № 1 и 2. К маркерной шине подключены счетчики газа (СПГ761), теплоты (СПТ961), электроэнергии (СПЕ542) фирмы «Логика» и через адаптер «Взлет АСП» электромагнитные счетчики расхода ЭРСВ-310 и ЭРСВ-410. К шинам «Взлет» № 1 и 2 подключены ультразвуковые расходомеры УРСВ и теплотепловычислитель ТСРВ фирмы «Взлет».

Рис. 14.9. Структурная схема сети приборов «Взлет СП»
В рассматриваемом режиме работы системы, а их может быть несколько, любой из ПК получает доступ к любой из трех приборных шин через ПК № 3, через ПК № 2 но телефонным линиям через модем СПЕ542 и через ПК № 4 по радиоканалу с использованием радиомодема СПГ761. Этот же канал обеспечивает связь с одиночным теплосчетчиком ТСРВ. ПК № 6 и 7 также имеют доступ ко всем трем шинам, причем ПК № 7 является абонентом маркерной шины, а ПК № 6 получает доступ к ней через шлюз СПТ961. Эти компьютеры работают независимо друг от друга. Если некоторые приборы «Взлет» имеют только интерфейс RS-232, то для их подключения к маркерной шине используется адаптер «Взлет АСП». Этот же адаптер обеспечивает связь шин «Взлет» с ПК, на которых установлен комплекс «Взлет СП», либо непосредственно, либо через модемы по телефонным линиям или радиоканалам.























