Влияние передаточного отношения зубчатой передачи и диаметра колес на тяговую и электротяговые характеристики
2020-06-032021-03-09zzyxelСтудИзба
19. Влияние изменения передаточного отношения зубчатой передачи и изменения диаметра колес колесных пар на тяговую и электротяговые характеристики.







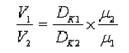
При неизменной частоте вращения якоря двигателя скорость движения будет больше при большем диаметре колес колесных пар и меньшем передаточном отношении зубчатой передачи.
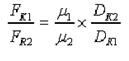
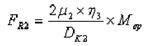
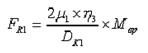
При неизменном вращающемся моменте двигателя большая сила тяги будет при меньшем диаметре колес колесных пар и большем передаточном отношении зубчатой передачи.
Передаточное отношение у пассажирских локомотивов 1,5÷3,0, а у грузовых локомотивов - 3,5÷5,0.






















