Параметры двигателя постоянного тока
12. Параметры двигателя постоянного тока :
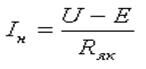
1. Ток нагрузки (ток якоря):
После подачи напряжения на обмотки двигателя якорь начинает вращаться. Проводники обмотки якоря будут пересекать магнитное поле полюсов. В проводниках будет наводиться Э.Д.С., направленная против тока, а значит и против приложенного напряжения. Эта Э.Д.С. получила название противо Э.Д.С. Поэтому,пользуясь законом Ома:

Ток нагрузки прямопропорционален приложенному напряжению за минусом противо Э.Д.С. и обратнопропорционален сопротивлению обмотки якоря.
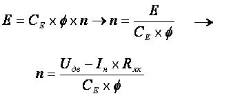
Противо Э.Д.С. – это Э.Д.С., которая индуктируется в проводниках обмотки якоря работающего двигателя постоянного тока; направлена против тока, а значит и против приложенного напряжения.
2. Противо Э.Д.С.:
E = B x l x V - закон Фарадея
B = φ/S; Sодного полюса = π x Dяк x lяк / 2p, где 2р – число полюсов двигателя.
Рекомендуемые материалы
V = Dя х ω / 2; ω = 2π х n / 60;
N – число активных проводников обмотки якоря (в одном витке обмотки якоря два активных проводника).
N/2 - число активных проводников в одной параллельной ветви.
2а – число параллельных ветвей обмотки якоря.
и после сокращений 

где
- конструктивный коэффициент, постоянный для данного типа электрической машины.
Противо Э.Д.С. прямопропорциональна магнитному потоку полюсов, частоте вращения якоря и зависит от конструкции электрической машины.
3. Частота вращения якоря:


Частота вращения якоря прямопропорциональна приложенному напряжению за минусом падения напряжения в обмотке якоря (для двигателя с параллельным возбужденим) или в обмотках двигателя (для двигателя с последовательным возбуждением), обратно пропорциональна магнитному потоку полюсов и зависит от конструкции машины.
Бесплатная лекция: "5 - Геофизические методы" также доступна.
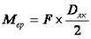
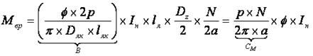
4. Вращающий момент:




; ; ;


Вращающий момент прямопропорционален магнитному потоку полюсов, току нагрузки и зависит от конструкции машины.





















