Корреляционный анализ
Лекция 12.
Корреляционный анализ. Коэффициент корреляции
Корреляционный анализ - метод, позволяющий обнаружить зависимость между несколькими случайными величинами.
Допустим, проводится независимое измерение различных параметров у одного типа объектов.

Из этих данных можно получить качественно новую информацию - о взаимосвязи этих параметров.
Например, измеряем рост и вес человека, каждое измерение представлено точкой в двумерном пространстве:
Несмотря на то, что величины носят случайный характер, в общем наблюдается некоторая зависимость - величины коррелируют.
В данном случае это положительная корреляция (при увеличении одного параметра второй тоже увеличивается). Возможны также такие случаи:
Взаимосвязь между переменными необходимо охарактеризовать численно, чтобы, например, различать такие случаи:
|
|
|
Для этого вводится коэффициент корреляции. Он рассчитывается следующим образом:
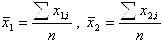
Есть массив из n точек {x1,i, x2,i}
Рассчитываются средние значения для каждого параметра: 
И коэффициент корреляции: 
r изменяется в пределах от -1 до 1. В данном случае это линейный коэффициент корреляции, он показывает линейную взаимосвязь между x1 и x2: r равен 1 (или -1), если связь линейна.
Коэффициент r является случайной величиной, поскольку вычисляется из случайных величин. Для него можно выдвигать и проверять следующие гипотезы:
1. Коэффициент корреляции значимо отличается от нуля (т.е. есть взаимосвязь между величинами):
Тестовая статистика вычисляется по формуле:

и сравнивается с табличным значением коэффициента Стьюдента t(p = 0.95, f =
) = 1.96
Если тестовая статистика больше табличного значения, то коэффициент значимо отличается от нуля. По формуле видно, что чем больше измерений n, тем лучше (больше тестовая статистика, вероятнее, что коэффициент значимо отличается от нуля)
2. Отличие между двумя коэффициентами корреляции значимо:
Тестовая статистика:

Также сравнивается с табличным значением t(p,
)
Методами корреляционного анализа решаются следующие задачи:
1) Взаимосвязь. Есть ли взаимосвязь между параметрами?
Рекомендуем посмотреть лекцию "Определения теории войны и военной науки в собственной трактовке автора".
2) Прогнозирование. Если известно поведение одного параметра, то можно предсказать поведение другого параметра, коррелирующего с первым.
3) Классификация и идентификация объектов. Корреляционный анализ помогает подобрать набор независимых признаков для классификации.
Приложение 2.
Факторы.
Испыт.
1 9 12 15 24 22 20 17 19 9 8 14 13 11 10 10 21
2 12 9 8 15 9 14 25 14 12 10 13 8 16 12 10 9
3 8 8 23 8 12 10 14 15 19 15 13 8 13 15 7 22
4 25 14 9 20 12 19 19 17 10 10 9 10 18 14 11 9
5 13 15 9 10 6 16 13 9 8 9 14 23 6 21 16 18
6 23 8 23 14 9 6 12 12 23 23 9 16 15 6 8 11
7 9 12 8 11 13 16 18 23 7 9 16 14 11 21 7 9
8 23 25 23 12 6 8 16 16 12 16 23 10 12 9 11 22
9 15 13 25 12 15 24 7 8 14 8 7 9 10 7 12 6
10 10 9 14 22 16 8 13 24 12 12 21 12 14 9 14 24
11 10 8 24 11 13 6 14 6 14 12 13 9 12 10 8 14
12 8 10 8 12 16 6 12 23 12 23 9 23 13 10 15
13 9 11 10 6 13 13 11 24 9 10 24 13 24 6 13 11
14 9 9 12 12 16 16 13 11 12 8 12 10 11 9 9 25
15 19 7 11 23 12 6 15 16 24 19 9 15 23 6 8 9
16 16 8 15 9 9 12 11 8 16 14 8 8 23 13 14 17
17 9 14 10 10 15 13 11 12 10 16 24 6 9 13 23
18 15 14 7 9 13 10 10 23 13 17 11 16 18 21 9 11
19 10 12 15 6 9 10 10 24 9 14 6 6 16 23 14 12
20 12 9 19 6 9 6 14 19 8 8 11 23 10 9 8 16
21 10 16 24 25 19 17 14 16 12 14 11 9 16 8 13 12
22 17 12 15 22 9 23 10 9 6 13 7 10 8 13 6 6
23 25 10 22 13 14 17 18 9 12 16 10 9 23 19 16 17
24 20 11 12 19 13 6 15 9 6 17 14 9 16 6 17 12
25 21 9 21 19 9 8 15 9 23 15 6 23 6 15 18 6
Приложение 3.
Шкалы
Испыт. 1 2 3 4 5 6 7 8 9 10 11 12 13 14
1 36 53 51 49 58 54 48 38 66 49 54 58 54 56
2 46 43 37 28 44 50 41 53 38 42 54 47 50 52
3 39 51 40 49 40 46 48 59 55 49 42 51 54 56
4 46 47 40 46 53 46 48 41 61 57 54 61 54 44
5 55 46 47 40 58 50 55 47 49 42 46 40 54 44
6 59 45 44 46 53 50 44 47 38 42 42 44 50 56
7 46 47 44 49 62 46 48 44 66 57 38 51 63 56
8 43 50 47 49 58 54 48 41 49 34 46 51 50 52
9 46 35 33 46 35 46 41 50 44 49 38 40 59 48
10 59 50 51 46 67 65 59 47 33 49 50 54 36 52
11 62 43 47 49 40 35 44 56 44 57 42 47 54 56
12 36 47 44 40 53 58 48 44 49 49 54 61 31 44
13 46 56 54 65 62 62 55 56 49 65 50 61 59 56
14 49 60 58 46 53 42 55 62 66 65 50 65 45 48
15 43 62 68 49 62 62 59 56 72 72 58 51 50 52
16 46 44 47 31 44 50 37 50 44 42 46 54 45 48
17 49 50 47 34 49 50 55 50 66 34 38 44 59 60
18 52 47 40 46 49 42 59 56 61 34 50 40 45 68
19 62 42 44 49 53 65 41 41 38 42 50 58 50 52
20 49 46 40 46 49 58 48 47 49 42 58 54 45 36
21 49 52 44 55 62 65 51 53 44 42 38 58 50 64
22 52 46 44 46 53 46 48 50 61 42 50 44 59 56
23 49 53 47 49 44 46 62 62 49 49 42 51 59 60
24 43 44 47 55 35 42 41 53 49 57 34 51 59 48
25 39 47 54 55 40 50 55 44 66 57 50 58 54 48
























