Для студентов МГТУ им. Н.Э.Баумана по предмету Численные методыВариант №13 - №1-6Вариант №13 - №1-6
2022-01-192022-01-19СтудИзба
Лабораторная работа: Вариант №13 - №1-6 вариант 13
Описание
Ссылка на Вариант №13 - ЛР№1 - Метод Гаусса с выбором главного элемента
Ссылка на Вариант №13 - ЛР№2 - Метод прогонки
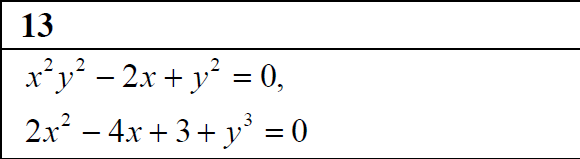
Ссылка на Вариант №13 - ЛР№3 - Метод Ньютона
Ссылка на Вариант №13 - ЛР№4 - Метод наименьших квадратов
Ссылка на Вариант №13 - ЛР№5 - Метод прямоугольников
Ссылка на Вариант №13 - ЛР№6 - Метод Рунге-Кутты 4-го порядка
Условия:
Задачи 1-4:
Г.А. Кокотушкин, А.А. Федотов, П.В. Храпов - Численные методы алгебры и приближения функций
Задачи 5-6:
А.А. Федотов, П.В. Храпов - Численные методы интегрирования, решения дифференциальных уравнений и задач оптимизации
1)
2)
3)
4)
5)
6)
![]()
Ссылка на Вариант №13 - ЛР№2 - Метод прогонки
Ссылка на Вариант №13 - ЛР№3 - Метод Ньютона
Ссылка на Вариант №13 - ЛР№4 - Метод наименьших квадратов
Ссылка на Вариант №13 - ЛР№5 - Метод прямоугольников
Ссылка на Вариант №13 - ЛР№6 - Метод Рунге-Кутты 4-го порядка
Условия:
Задачи 1-4:
Г.А. Кокотушкин, А.А. Федотов, П.В. Храпов - Численные методы алгебры и приближения функций
Задачи 5-6:
А.А. Федотов, П.В. Храпов - Численные методы интегрирования, решения дифференциальных уравнений и задач оптимизации
1)
2)
3)
4)
5)
6)

Характеристики лабораторной работы
Предмет
Учебное заведение
Вариант
Просмотров
12
Качество
Идеальное компьютерное
Размер
10,82 Mb
МГТУ им. Н.Э.Баумана
kecha_sudarev


















