Для студентов МГТУ им. Н.Э.Баумана по предмету Линейная алгебра и аналитическая геометрияФункции нескольких переменныхФункции нескольких переменных
5,0051
2020-08-242025-05-28СтудИзба
ДЗ 2: Функции нескольких переменных вариант 7
Описание
В файле хорошо решенное домашнее задание (объем - 12 листов А4), все подробно расписано, опираясь на него можно решить любой вариант (если что-то не совпало в условиях):
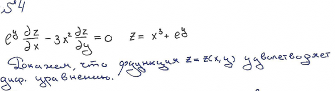
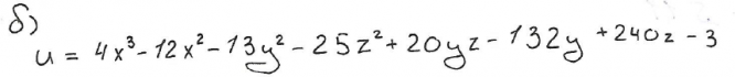
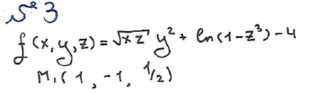
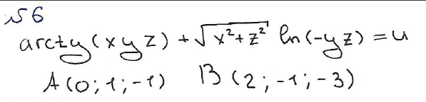
![]()
Характеристики домашнего задания
Учебное заведение
Семестр
Номер задания
Вариант
Просмотров
70
Качество
Скан рукописных листов
Размер
2,62 Mb
Список файлов
дз 2 функции нескольких переменных.pdf
Комментарии
Нет комментариев
Стань первым, кто что-нибудь напишет!
МГТУ им. Н.Э.Баумана
catspinner















