Для студентов СамГТУ по предмету Высшая математикаПриложения интегрального исчисленияПриложения интегрального исчисления
5,0053259
2024-07-272024-07-27СтудИзба
ДЗ: Приложения интегрального исчисления вариант 11
Описание
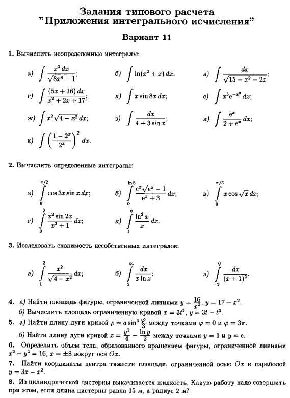
Задания типового расчета
1. Вычислить неопределенные интегралы
2. Вычислить определенные интегралы
3. Исследовать сходимость несобственных интегралов
4. а) Найти площадь фигуры, ограниченной линиями
б) Вычислить площадь ограниченную кривой
5. а) Найти длину дуги кривой между точками
б) Найти длину дуги кривой между точками
6. Определить объем тела, образованного вращением фигуры, ограниченной линиями вокруг оси
7. Найти координаты центра тяжести площади, ограниченной осью Ох и параболой
8. Из цилиндрической цистерны выкачивается жидкость. Какую работу надо совершить при этом, если длина цистерны равна 15 м, а радиус 2 м?
![]()
1. Вычислить неопределенные интегралы
2. Вычислить определенные интегралы
3. Исследовать сходимость несобственных интегралов
4. а) Найти площадь фигуры, ограниченной линиями
б) Вычислить площадь ограниченную кривой
5. а) Найти длину дуги кривой между точками
б) Найти длину дуги кривой между точками
6. Определить объем тела, образованного вращением фигуры, ограниченной линиями вокруг оси
7. Найти координаты центра тяжести площади, ограниченной осью Ох и параболой
8. Из цилиндрической цистерны выкачивается жидкость. Какую работу надо совершить при этом, если длина цистерны равна 15 м, а радиус 2 м?

Характеристики домашнего задания
Предмет
Учебное заведение
Вариант
Просмотров
1
Качество
Фото рукописных листов
Размер
6,63 Mb
Список файлов
Tipovik_SamGTU_Prilozhenia_integralnogo_ischislenia_8_zadaniy-40-54.pdf

Если нужен другой вариант работы или отдельная задача из любой работы, пишите в комментарии