Для студентов СамГТУ по предмету Высшая математикаПолярные координатыПолярные координаты
5,0053259
2024-07-232024-07-23СтудИзба
ДЗ: Полярные координаты вариант 9
Описание
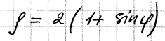
В полярной системе координат построить кривую давая значения фи через пи/2 от 0 до 2пи. Найти уравнение кривой в декартовой прямоугольной системе координат
![]()

Характеристики домашнего задания
Предмет
Учебное заведение
Вариант
Просмотров
1
Качество
Скан рукописных листов
Размер
663,15 Kb
Список файлов
Polyarnye_koordinaty_tipovoy_SamGTU_vyshmat_10_variantov-24-26.pdf

Если нужен другой вариант работы или отдельная задача из любой работы, пишите в комментарии