Для студентов МФПУ «Синергия» по предмету Высшая математикаВысшая математика Итоговый, компетентностный тестВысшая математика Итоговый, компетентностный тест
5,0052
2024-12-032024-12-03СтудИзба
📚 Коллекция ответов по предмету Высшая математика в Синергии – большая база! 💯
Ответы к заданиям Итоговый: Высшая математика Итоговый, компетентностный тест
Описание
Крупная база ответов к предмету🔥 Высшая математика 🔥
С помощью данной коллекции вы 100% сдадите ЛЮБОЙ тест.
➡️ Файлы с ответами на другие тесты ⬅️
✔️ Отдельные ответы на вопросы 💯
⚡ Заказать сдачу теста 🚀
С помощью данной коллекции вы 100% сдадите ЛЮБОЙ тест.
➡️ Файлы с ответами на другие тесты ⬅️
✔️ Отдельные ответы на вопросы 💯
⚡ Заказать сдачу теста 🚀
- Итоговая аттестация
- Итоговый тест
- Компетентностный тест
- Заключение
Купить ответы на предмет Высшая математика.
Список вопросов
Найдите частное решение уравнения 2sdt = tds, если при t = 1 s = 2
![]()

Решите уравнение y"- 4y =0
![]()

Найдите частное решение дифференциального уравнения y′ + 4y = 2, удовлетворяющее начальному условию y(0) = 6 p>

Даны дифференциальные уравнения. Укажите среди них однородные уравнения
1) (x² + y² + 2xy)dx + 2xydy = 0;
2) (x² + y² + 2x)dx + 2xydy = 0;
3) y' = (yx)² + yx + 49;
4) y' = (yx)² + x;
5) y' = (x + 7y) 7y;
6) y' = (x + 7) 7y
1) (x² + y² + 2xy)dx + 2xydy = 0;
2) (x² + y² + 2x)dx + 2xydy = 0;
3) y' = (yx)² + yx + 49;
4) y' = (yx)² + x;
5) y' = (x + 7y) 7y;
6) y' = (x + 7) 7y
Найдите площадь фигуры, заключенной между кривой , прямыми , x = 2 и осью Ox ![]()

Найдите радиус сходимости ряда
![]()

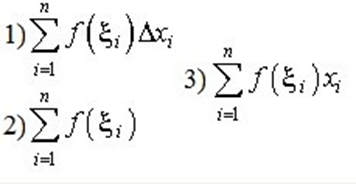
Укажите какая из сумм является интегральной
![]()

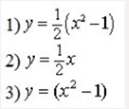
Найдите вертикальные асимптоты к графику функции
![]()

Вычислите предел по правилу Лопиталя lim x⟶2 ln (x²-3) x²-3x+2
Что называется критическими точками второго рода?
Сколько первообразных может иметь каждая функция?
Найдите радиус сходимости ряда
![]()

Среди перечисленных уравнений укажите линейные уравнения первого порядка:
![]()

Найдите площадь фигуры, ограниченной линиями
![]()

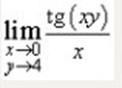
Найдите предел
![]()

Найдите площадь фигуры, ограниченной параболами: y= -x², y= x² - 2x-4
Найдите предел
![]()

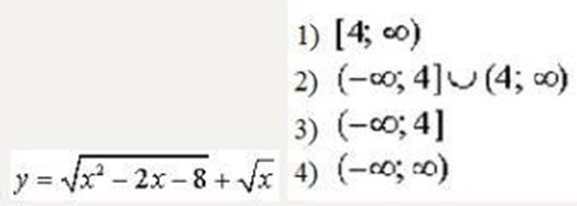
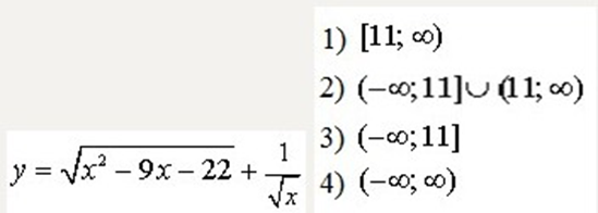
Укажите область определения функции
![]()

Укажите область определения функции
![]()

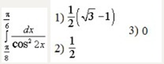
Вычислите определенный интеграл
![]()

Вычислите определенный интеграл
![]()

Вычислите площадь плоской фигуры, ограниченной линиями: x = 2x – x2 и y = 0
![]()

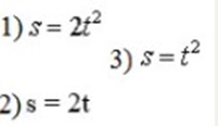
Найдите производную функции f(t) = ln(2cos t)

Исследуйте ряд на сходимость
![]()

Найдите полный дифференциал функции z = x²y + xy²
Найдите предел

Исследуйте ряд на сходимость
![]()

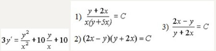
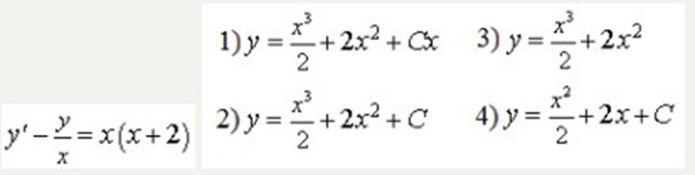
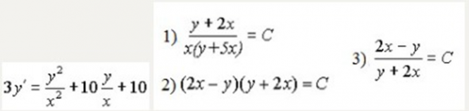
Найдите общее решение уравнения
![]()

Определите поведение функции y = 2x^2 + x - 1 при x = -3
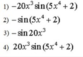
Найдите производную функции y=cos (5x^4+2)

Найдите предел

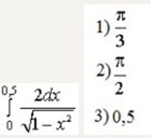
Вычислите определенный интеграл
![]()

Вычислите определенный интеграл

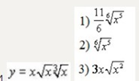
Найдите производную функции

Вычислите предел по правилу Лопиталя

Вычислите определенный интеграл

Вычислите определенный интеграл
![]()

Найдите предел
![]()

Укажите область определения функции
![]()

Вычислите определенный интеграл ![]()

На каком из рисунков изображена область определения функции?
![]()

Какое уравнение называется дифференциальным уравнением?
Какую работу совершает сила в 8 H при растяжении пружины на 6 см?
Какая кривая y = f(x) называется выпуклой на интервале (a, b)?
Исследуйте функцию y=x^3+3x^2на экстремумы
Как называется решение, полученное из общего при конкретных значениях произвольных постоянных?
Вычислите силу давления воды на стенку шлюза, длина которого 20 м и высота 5 м, считая шлюз доверху заполненным водой
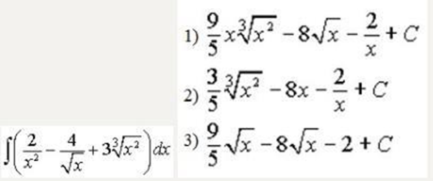
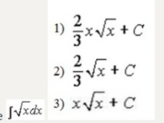
Найдите
![]()

Найдите площадь фигуры, ограниченной линиями y = 3√x , x = -1 , y = 0

Найдите промежутки возрастания или убывания функции y=-2x2+8x-1
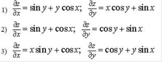
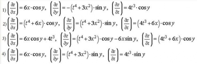
Найдите частные производные функции двух переменных z = xsin y + ysin x

Найдите предел
![]()

Какую подстановку используют при решении уравнений Бернулли?
![]()

Найдите площадь фигуры, ограниченной линиями

Скорость падающего в пустоте тела определяется по формуле v = 9,8t мсек. Какой путь пройдет тело за первые 10 секунд падения?
Найдите предел
![]()

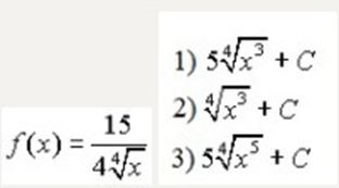
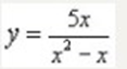
Найдите первообразную для функции
![]()

Найдите

Найдите площадь фигуры, ограниченной линиями y = x^2+1, y = 0, x = 0, x = 2

Какова область определения функции 1f(x)?
Найдите частные производные второго порядка функции z = xy + xsin y
![]()

Найдите предел
![]()

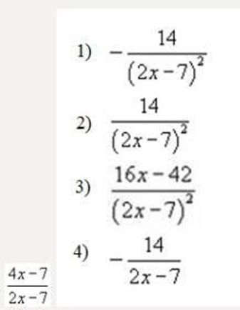
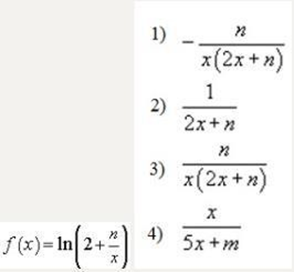
Найдите производную функции
![]()

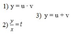
Найдите частные производные функции двух переменных
![]()

Найдите

Найдите частное решение уравнения xdx = dy, если при x = 1 y = 0

Найдите

Найдите производную функции

Вычислите определенный интеграл
![]()

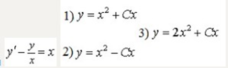
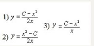
Найдите общее решение уравнения
![]()

Найдите предел

Найдите общее решение уравнения

Вычислите определенный интеграл
![]()

Какая из перечисленных функций не относится к алгебраическим функциям?
Найдите точки максимума (минимума) функции
![]()

Найдите
![]()

Укажите область определения функции
![]()

Найдите общее решение уравнения
![]()


Найдите предел

Найдите интервал сходимости ряда

Найдите предел
![]()

Какая функция называется явной?
Найдите общее решение уравнения
![]()

Чему равен неопределенный интеграл от алгебраической суммы функций?
Чему, согласно правилу Лопиталя, равен предел отношения двух бесконечно малых или бесконечно больших функций, если последний существует?
Найдите промежутки возрастания или убывания функции y=x^2-3x+1
![]()

Что называется порядком дифференциального уравнения?
Вычислите определенный интеграл
![]()

Найдите частное решение уравнения ds = (4t - 3)dt, если при t = 0 s = 0
![]()

Сила в 6 кГ растягивает пружину на 8 см. Какую работу она производит?
Укажите область определения функции
![]()

Разложите в степенной ряд f(x) = arctg 3x
![]()

Характеристики ответов (шпаргалок) к заданиям
Тип
Коллекция: Ответы (шпаргалки) к заданиям
Предмет
Учебное заведение
Номер задания
Программы
Просмотров
86
Качество
Идеальное компьютерное
Количество вопросов

❓ Как копировать вопросы во время теста в Синергии?

Гарантия сдачи без лишних хлопот! ✅🎓 Ответы на тесты по любым дисциплинам, базы вопросов, работы и услуги для Синергии, МЭИ и других вузов – всё уже готово! 🚀 🎯📚 Гарантия качества – или возврат денег! 💰✅