Решения по высшей алгебре и аналитической геометрии: задачи
Задача: Элементы высшей алгебры и аналитической геометрии: задачи и решения
Практические задания по дисциплине
«Высшая математика. Элементы высшей алгебры и геометрии»
Практическое задание 1
Тема: Матрицы. Определители. Системы линейных уравнений
Номер варианта задач определяется с помощью таблицы 1 по первой букве фамилии студента.
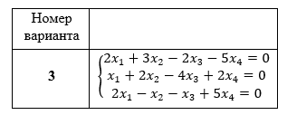
Таблица 1. Выбор номера варианта
Задача 1.1. Решить систему уравнений методом Крамера.
Задача 1.2. Решить систему уравнений методом Гаусса.
Практическое задание 2
Тема: Векторная алгебра
Задача 2.1. Найти площадь параллелограмма, построенного на векторах векторах
Задача 2.2. Даны вершины пирамиды ABCD. Средствами векторной алгебры вычислить длину высоты, опущенной из вершины A на плоскость BCD.
Практическое задание 3
Тема: Аналитическая геометрия
Задача 3.1. Составить уравнение плоскости Q, проходящей прямую l перпендикулярно плоскости Р. Определить угол между плоскостью Q и плоскостью Р₁.
Задача 3.2. В пространстве заданы прямая l и плоскость P. Найти точку пересечения прямой и плоскости. Вычислить угол между прямой и плоскостью.
Показать/скрыть дополнительное описание
«Высшая математика. Элементы высшей алгебры и геометрии»
Практическое задание 1
Тема: Матрицы. Определители. Системы линейных уравнений
Номер варианта задач определяется с помощью таблицы 1 по первой букве фамилии студента.
Таблица 1. Выбор номера варианта
| Буква | В |
| № вар. | 3 |
Задача 1.2. Решить систему уравнений методом Гаусса.
Практическое задание 2 Тема: Векторная алгебра
Задача 2.1. Найти площадь параллелограмма, построенного на векторах векторах
Задача 2.2. Даны вершины пирамиды ABCD. Средствами векторной алгебры вычислить длину высоты, опущенной из вершины A на плоскость BCD.
Практическое задание 3 Тема: Аналитическая геометрия
Задача 3.1. Составить уравнение плоскости Q, проходящей прямую l перпендикулярно плоскости Р. Определить угол между плоскостью Q и плоскостью Р₁.
Задача 3.2. В пространстве заданы прямая l и плоскость P. Найти точку пересечения прямой и плоскости. Вычислить угол между прямой и плоскостью.
Показать/скрыть дополнительное описаниеСодержит подробные решения задач по методам Крамера и Гаусса, вычисление площадей через векторное произведение и задачи аналитической геометрии (уравнения плоскостей, пересечения, углы). Полезно студентам математических и инженерных направлений..
Характеристики решённой задачи
Учебное заведение
Семестр
Просмотров
10
Размер
35,85 Kb
Список файлов
Элементы_высшей_алгебры_и_геометрии.docx
🎓 Никольский - Помощь студентам 📚 Любые виды работ: тесты, сессии под ключ, практики, курсовые и дипломные с гарантией результата ✅ Все услуги под ключ ✅ Знаем все тонкости именно вашего ВУЗа ✅ Сдадим или вернем деньги
Комментарии
Нет комментариев
Стань первым, кто что-нибудь напишет!
Росдистант
nikolskypomosh















