Для студентов ИДДО НИУ «МЭИ» по предмету Вычислительные методыЧисленные методы линейной алгебрыЧисленные методы линейной алгебры
5,0052
2024-01-292024-01-29СтудИзба
Задача КМ-3: Численные методы линейной алгебры вариант 1
Описание
Задание решено на оценку 5. Вариант 1
Список задач:
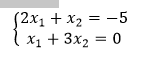
1. а) Постройте сходящийся и расходящийся итерационные процессы по методу простой итерации (Якоби) для системы
б) Изобразите геометрически поведение построенных итерационных процессов. Изобразите поведение приближений по методу Зейделя. Для геометрической иллюстрации нужно сделать несколько итераций (2-3) по предложенным методам.
2. а) Найдите LU-разложение матрицы.
б) Используя метод LU-разложения, найдите обратную матрицу
Показать/скрыть дополнительное описание
Список задач:
1. а) Постройте сходящийся и расходящийся итерационные процессы по методу простой итерации (Якоби) для системы

б) Изобразите геометрически поведение построенных итерационных процессов. Изобразите поведение приближений по методу Зейделя. Для геометрической иллюстрации нужно сделать несколько итераций (2-3) по предложенным методам.
2. а) Найдите LU-разложение матрицы.
б) Используя метод LU-разложения, найдите обратную матрицу
Показать/скрыть дополнительное описание
Численные методы линейной алгебры.
Характеристики решённой задачи
Предмет
Учебное заведение
Семестр
Номер задания
Вариант
Просмотров
29
Размер
26,29 Kb
Список файлов
вычислительные методы вариант 1.docx
Алёна Руденко