Для студентов ИДДО НИУ «МЭИ» по предмету Вычислительные методыБаза ответов к итоговому тестуБаза ответов к итоговому тесту
5,0053
2024-02-132024-02-13СтудИзба
Ответы к экзамену Экзамен: База ответов к итоговому тесту
-10%
Описание
Коллекция содержит большое количество вопросов к итоговому тесту. С помощью данной коллекции вы сможете быстро и комфортно сдать итоговый тест. Список вопросов ниже.
Показать/скрыть дополнительное описание

Курс Вычислительные методы (ИДДО ВМ-Б-4-1-Экз).
Список вопросов
Значения х и у заданы со всеми верными цифрами.
Указать абсолютную погрешность для функции f(х,у)
x=1.001, y=0.0009, f(x,y)=yx+4y2
![]()
Указать абсолютную погрешность для функции f(х,у)
x=1.001, y=0.0009, f(x,y)=yx+4y2

Указать количество верных цифр приближенного числа.
a=0.00385 Δа= 0.001
a=0.00385 Δа= 0.001
Значения х и у заданы со всеми верными цифрами. Указать абсолютную погрешность для функции f(x, у).
x=7.234, y=0.567,f(x, y)=x/y
x=7.234, y=0.567,f(x, y)=x/y
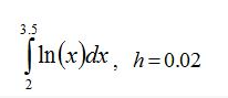
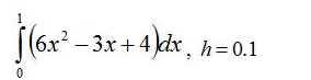
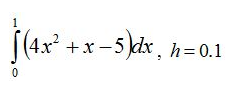
Вычислить интеграл с шагом h по формуле трапеций
![]()

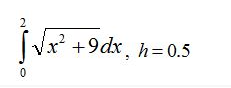
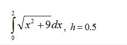
Вычислить интеграл с шагом h по формуле трапеций
2x2 +9dx. h=0.5 0
![]()
2x2 +9dx. h=0.5 0

Указать количество верных цифр приближенного числа.
a =73.488931 Дa=0.01
a =73.488931 Дa=0.01
Вычислить интеграл с шагом h по формуле трапеций ![]()

Методом бисекции с заданной точностью є найти корень уравнения на заданном интервале.
xsin x+cos x=0, (2.7,2.9), E = 0.01
xsin x+cos x=0, (2.7,2.9), E = 0.01
Указать количество верных цифр приближенного числа.
a=0.99957 Δ а=0.003
a=0.99957 Δ а=0.003
Степень интерполяционного многочлена Лагранжа, который можно построить для табличной функции, заданной тремя значениями,
равна:
равна:
Степень интерполяционного многочлена Лагранжа, который можно построить для табличной функции, заданной двадцатью значениями, равна:
Значения хи узаданы со всеми верными цифрами. Указать абсолютную погрешность для
функции f(x, у).
x=1.345, y=6.789, f(x,y)=ylx
функции f(x, у).
x=1.345, y=6.789, f(x,y)=ylx
Дать ответ, как ведет себя модуль погрешности решения задачи Коши на отрезке [0, 10], если у' = exp(3xy), y(O) = 0
Дать ответ, как ведет себя модуль погрешности решения задачи Коши на отрезке [0, 10], если у' = 7y- sin(3x), y(O) =1.5
Дать ответ, как ведет себя модуль погрешности решения задачи Коши на отрезке [О, 10], если у' = exp(3xy), y(O) = 0
Функция задана таблицей своих значений. Приблизить эту функцию многочленом второй степени. Среднеквадратичное отклонение
в этом случае равно:
в этом случае равно:
X | -2 | -1 | 0 | 1 | 2 |
Y | 3.1 | 1.7 | 0.9 | 0.7 | 1.05 |
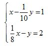
Определить как ведет себя метод простой итерации для линейной системы.
![]()

Функция задана таблицей своих значений. Приблизить эту функцию многочленом второй степени. Среднеквадратичное отклонение в этом случае равно:
X | -4 | -2 | 0 | 2 | 4 |
Y | -10.4 | 0.2 | 1 | -4.2 | 0.9 |
Найти методом Ньютона с погрешностью, не превышающей 0.01, корень уравнения f(x) = 0.
1/(5x2+x)-x=0
1/(5x2+x)-x=0
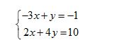
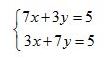
Определить как ведет себя метод простой итерации для линейной системы.
-3x+y =- 1
2x+4y=10
![]()
-3x+y =- 1
2x+4y=10

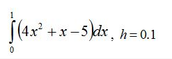
Вычислить интеграл с шагом h по формуле центральных прямоугольников
![]()

Степень интерполяционного многочлена Лагранжа, который можно построить для
табличной функции, заданной четырьмя значениями, равна:
табличной функции, заданной четырьмя значениями, равна:
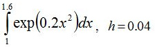
Вычислить интеграл с шагом h по формуле центральных прямоугольников
![]()

Дать ответ, как ведет себя модуль погрешности решения задачи Коши на отрезке [О, 10],
если у =7y- sin(3x), у(O) =1.5
если у =7y- sin(3x), у(O) =1.5
Дать ответ, как ведет себя модуль погрешности решения задачи Коши на отрезке [О, 10], если у' = 4х - у, у(О) = 0.5
Найти методом Ньютона с погрешностью, не превышающей 0.01, корень уравнения f(x) = 0.
exp (-x) +x-2=0
exp (-x) +x-2=0
Определить как ведет себя метод простой итерации для линейной системы.
f-3x+y =- 1
2x+4y=10
f-3x+y =- 1
2x+4y=10
Вычислить интеграл с шагом h по формуле трапеций
![]()

Указать количество верных цифр приближенного числа.
a=0.99957 Дa=0.003
a=0.99957 Дa=0.003
Методом бисекции с заданной точностью є найти корень уравнения на заданном интервале.
In x=2tg x, (3.5,4.5), s = 0.01
In x=2tg x, (3.5,4.5), s = 0.01
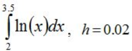
Вычислить интеграл с шагом h по формуле трапеций
![]()

Значения х и у заданы со всеми верными цифрами. Указать абсолютную погрешность для функции f(x, у).
x=7.234, y=0.567,f(x,y)=x/y
x=7.234, y=0.567,f(x,y)=x/y
Дать ответ, как ведет себя модуль погрешности решения задачи Коши на отрезке [О, 10],
если у' = у- 4х, у(О) = 0.5
если у' = у- 4х, у(О) = 0.5
Определить как ведет себя метод простой итерации для линейной системы.
![]()

Дать ответ, как ведет себя модуль погрешности решения задачи Коши на отрезке [0, 10], если у' = -2y+ exp(3x), y(О) =1.5
Найти методом Ньютона с погрешностью, не превышающей 0.01, корень уравнения f(x) =
1/(1+x^2)+x=0
1/(1+x^2)+x=0
Методом бисекции с заданной точностью є найти корень уравнения на заданном
интервале.
Vx+1=1+In (x), (1.4,2), ε = 0.01
интервале.
Vx+1=1+In (x), (1.4,2), ε = 0.01
Вычислить интеграл с шагом h по формуле трапеций ![]()

Методом бисекции с заданной точностью є найти корень уравнения на заданном интервале.
In x=2tg x, (3.5,4.5), s = 0.01
In x=2tg x, (3.5,4.5), s = 0.01
Функция задана таблицей своих значений. Приблизить эту функцию многочленом второй степени. Среднеквадратичное отклонение
в этом случае равно:
в этом случае равно:
X | -2 | -1 | 0 | 1 | 2 |
Y | 3.1 | 1.7 | 0.9 | 0.7 | 1.5 |
Эти вопросы в других коллекциях
Характеристики ответов (шпаргалок) к экзамену
Тип
Коллекция: Ответы (шпаргалки) к экзамену
Предмет
Учебное заведение
Номер задания
Теги
Просмотров
116
Качество
Идеальное компьютерное
Количество вопросов
Преподаватели

Гарантия сдачи без лишних хлопот! ✅🎓 Ответы на тесты по любым дисциплинам, базы вопросов, работы и услуги для Синергии, МЭИ и других вузов – всё уже готово! 🚀 🎯📚 Гарантия качества – или возврат денег! 💰✅