Для студентов ИДДО НИУ «МЭИ» по предмету Вычислительные методыВычислительные методыВычислительные методы
5,0052
2024-02-062024-02-06СтудИзба
Ответы к экзамену: Вычислительные методы
Описание
ВЫЧИСЛИТЕЛЬНЫЕ МЕТОДЫ - ИТОГОВЫЙ – ТЕСТ С ОТВЕТАМИ (НИУ МЭИ (ТУ) ИДДО)
В ТЕСТЕ СОБРАНЫ 26 ВАРИАНТОВ ВОПРОСОВ.
ДЛЯ БОЛЕЕ УДОБНОГО ПОИСКА ИСПОЛЬЗУЙТЕ СОЧЕТАНИЕ КЛАВИШ CTRL+F.
ПРАВИЛЬНЫЕ ОТВЕТЫ ОТМЕЧЕНЫ ГОЛУБЫМ ЦВЕТОМ.
УБЕДИТЕСЬ, ЧТО ОТВЕТЫ ВАМ ПОДХОДЯТ ДО ПОКУПКИ!
В ТЕСТЕ СОБРАНЫ 26 ВАРИАНТОВ ВОПРОСОВ.
ДЛЯ БОЛЕЕ УДОБНОГО ПОИСКА ИСПОЛЬЗУЙТЕ СОЧЕТАНИЕ КЛАВИШ CTRL+F.
ПРАВИЛЬНЫЕ ОТВЕТЫ ОТМЕЧЕНЫ ГОЛУБЫМ ЦВЕТОМ.
УБЕДИТЕСЬ, ЧТО ОТВЕТЫ ВАМ ПОДХОДЯТ ДО ПОКУПКИ!
- Указать количество верных цифр приближенного числа.
а=73.488931 /а=0.01
- Указать количество верных цифр приближенного числа.
a=0.00385 /a=0.001
- Определить как ведет себя метод простой итерации для линейной системы
100x-y=-102
x-200y=202
- Дать ответ, как ведет себя модуль погрешности решения задачи Коши на отрезке [0,10], если y`=4x-y, y(0) = 0,5
- Дать ответ, как ведет себя модуль погрешности решения задачи Коши на отрезке [0,10], если y`=7y-sin(3x), y(0) = 1.5
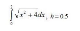
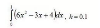
- Вычислить интеграл с шагом h по формуле центральных прямоугольников
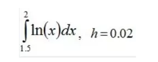
- Вычислить интеграл с шагом h по формуле Симпсона
- Функция задана таблицей своих значений. Приблизить эту функцию многочленом второй степени. Среднеквадратичное отклонение в этом случае равно:
x -4 -2 0 2 4
y 0.4 0.2 1 1.2 3.9
- Найти методом Ньютона с погрешностью, не превышающей 0.01, корень уравнения f(x) = 0.
ln x-4+x=0
- Функция задана таблицей своих значений. Приблизить эту функцию многочленом второй степени.
Среднеквадратичное отклонение в этом случае равно:
x -2 -1 0 1 2
y -3.4 0.2 1 -1.2 0.9
- Найти методом Ньютона с погрешностью, не превышающей 0.01,
корень уравнения f(x) = 0.ln (2x) - 2 + x= 0
- Степень интерполяционного многочлена Лагранжа, который можно построить для табличной функции, заданной пятью значениями, равна:
- Методом бисекции с заданной точностью e найти корень уравнения на заданном интервале.
x5-10x+3=0, (1.5, 2), e=0.05
- Значения x и y заданы со всеми верными цифрами. Указать абсолютную погрешность для функции f(x,y).x=2.5378, y=2.535, f(x,y)=x-y
- Методом бисекции с заданной точностью е найти корень уравнения на заданном интервале. корень x + 1 = 1 In (x), (1.4,2), e = 0.01
- Найти методом Ньютона с погрешностью не превышающей 0.01, корень уравнения f(x) = 0.-In (3x) + x = 0
- Функция задана таблицей своих значений. Приблизить эту функцию многочленом второй степени. Среднеквадратичное отклонение в этом случае равно:
x -2 -1 0 1 2
y 10,4 0.2 1 8.2 2.9
- Дать ответ, как ведет себя модуль погрешности решения задачи Коши на отрезке [0,10], если y`=y-4x, y(0)=0.5
- Найти методом Ньютона с погрешностью, не превышающей 0.01, корень уравнения f(x)=0.1/(x-3)-x=0
- Вычислить интеграл с шагом h по формуле центральных прямоугольников
- Определить как ведет себя метод простой итерации для линейной системы
-3x+y=-1
2x+4y=10
- Степень интерполяционного многочлена Лагранжа, который можно построить для табличной функции, заданной шестнадцатью значениями, равна:
- Указать количество верных цифр приближенного числа. a = 473.45122 /a=0.01
- Определить как ведет себя метод простой итерации для линейной системы.
100x+y=102
x+200y=202
![]()
- Значения x и y заданы со всеми верными цифрами. Указать абсолютную погрешность для функции f(x,y),x=1.345, y=6.789, f(x,y)=y/x
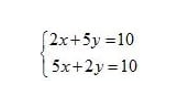
- Определить как ведет себя метод простой итерации для линейной системы
2x+5y=10
5x+2y=10
![]()
Характеристики ответов (шпаргалок) к экзамену
Предмет
Учебное заведение
Семестр
Просмотров
18
Качество
Идеальное компьютерное
Размер
225,45 Kb
Список файлов
ВЫЧИСЛИТЕЛЬНЫЕ МЕТОДЫ ИТОГОВЫЙ.pdf
Пожалуйста, если не трудно, оцените файл на высокую оценку, спасибо!
Комментарии
Нет комментариев
Стань первым, кто что-нибудь напишет!


ИДДО НИУ «МЭИ»
iFate


















