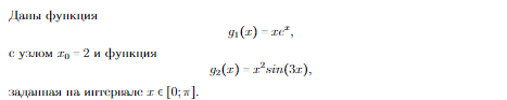
Для студентов МГТУ им. Н.Э.Баумана по предмету Вычислительная математикаЧисленное дифференцирование и интегрированиеЧисленное дифференцирование и интегрирование
5,00598
2023-10-162023-10-16СтудИзба
Лабораторная работа: Численное дифференцирование и интегрирование
Описание



Характеристики лабораторной работы
Предмет
Учебное заведение
Семестр
Просмотров
12
Размер
1,64 Mb
Список файлов
doc-spec
1.png
01titlepage.tex
2.png
3.png
4.png
5.png
bmstu.pdf
by-eps-converted-to.pdf
by.eps
common_id.tex
common_preamble.tex
common_title.tex
labs
educmm_txb_COMPMATHLAB-Solution_N_M
educmm_lab_Variant_N_M-def.tex
educmm_lab_Variant_N_M-id.tex
educmm_txb_COMPMATHLAB-Solution_N_M.tex
bibliographyVariantNM.bib
educmm_lab_Variant_N_M-Topics.tex
educmm_lab_Variant_N_M.pdf
educmm_lab_Variant_N_M.tcp
educmm_lab_Variant_N_M.tex
educmm_lab_Variant_N_M.tps
educmm_lab_Variant_N_M.upa
educmm_lab_Variant_N_M.upb
gitHeadInfo.gin
post-checkout.
post-commit.
post-merge.
utf8gost705u.bst