Для студентов СПбПУ Петра Великого по предмету Вычислительная математикаДействия в MathCADДействия в MathCAD
5,0053164
2022-11-112022-11-11СтудИзба
Лабораторная работа 1: Действия в MathCAD вариант 12
Описание
Цель работы
Цель работы — получить навыки работы в программе MathCAD, необходимые для выполнения лабораторных работ по курсу «Вычислительная математика». Научиться выполнять простейшие операции, действия с матрицами, построение графиков в декартовых координатах, получить навыки программирования.Задание
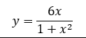
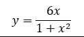
1) На заданном промежутке [a;b] построить совмещенный график функции и ее дискретного аналога, полученного разбиением промежутка на n частей (таблица 1).Таблица 1 — Исходные данные
Вариант | Функция | a | b | n |
12 | ![]() | –2 | 4 | 15 |

Объединить два произвольных вектора в один, состоящий из элементов этих векторов. Векторы задаются вне программы. В имени программы в качестве формальных параметров указать имена векторов.
Характеристики лабораторной работы
Предмет
Учебное заведение
Номер задания
Вариант
Просмотров
5
Размер
126,97 Kb
Список файлов
моя лаба 1.docx
1 (4).xmcd

Если нужен другой вариант работы или отдельная задача из любой работы, пишите в комментарии