Для студентов ТулГУ по предмету Введение в физикуВведение в физикуВведение в физику
5,0057202
2025-08-14СтудИзба

☀️ Введение в физику | ТулГУ сборник ответов на все тесты☀️

Ответы к заданиям Ответы на тесты: Введение в физику
-43%

Описание

▶️ Ответы на все тесты (жми на текст) 😎 ◀️

▶️ Готовые лабораторные работы, практические задания, услуги (жми на текст)🔥◀️

Ответы к дисциплине Введение в физику и режимы для ТулГУ, помогут при сдаче экзамена/итоговой аттестации или зачёта :)
Для поиска нужного вопроса, воспользуйтесь поиском ниже
‼️ Ответы могут подойти к другим похожим дисциплинам, проверяйте по вопросам‼️
Показать/скрыть дополнительное описание

Введение в физику ТулГУ ответы на тест зачёт экзамен итоговая аттестация.

Список вопросов

Шарик массы m и радиуса R катится по горизонтальной поверхности со скоростью v без проскальзвания. Найдите кинетическую энергию этого шарика. m = 2 кг, R = 3 м, v = 4 м/с.
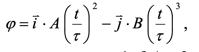
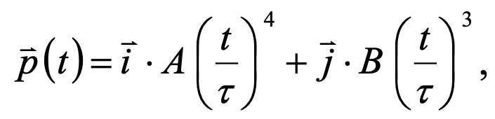
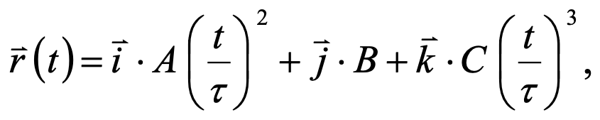
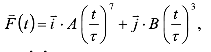
Частица начала свое движение из точки с радиусом-вектором r0 = (j + i)·C со скоростью, которая зависит от времени по закону
где A, B, C – постоянные величины, i, j – единичные орты в декартовой системе координат. На какое расстояние от начала координат удалится частица в момент времени t = 1 с, если τ = 1 с, A = 2 м/c, B = 3 м/c, C = 4 м.
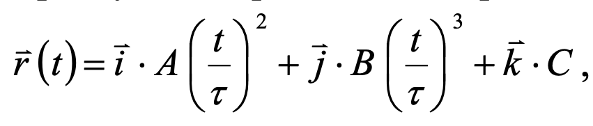
Частица начала свое движение из точки с радиусом-вектором r0 = (j – k)·C со скоростью, которая зависит от времени по закону
где A, B, C – постоянные величины, i, j, k – единичные орты в декартовой системе координат. На какое расстояние от начала координат удалится частица в момент времени t = 1 с, если τ = 1 с. A = 2 м/c, B = 3 м/c, C = 4 м.
Частица начала свое движение из начала координат с нулевой начальной скоростью, и ее ускорение зависит от времени по закону
где A, B – постоянная величина, i, j – единичные орты в декартовой системе координат. Найти тангенс угла, под которым будет направлена скорость частицы к оси х в момент времени t = 1 с, если τ = 1 с, А = 2 м/с2, В = 3 м/с2.
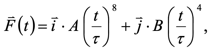
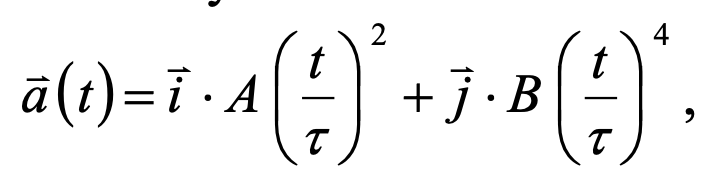
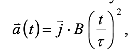
Частица начала свое движение из начала координат с начальной скоростью v0 = (i + k)·A и с ускорением, которое зависит от времени по закону
где A, B – постоянная величина, i, j, k – единичные орты в декартовой системе координат. Каков модуль скорости частицы в момент времени t = 1 с, если τ = 1 с. А = 2 м/с, В = 3 м/с2.
Частица начала свое движение из начала координат с начальной скоростью v0 = – j·A и с ускорением, которое зависит от времени по закону,
где A, B – постоянная величина, k, j – единичные орты в декартовой системе координат. Каков модуль скорости частицы в момент времени t = 1 с, если τ = 1 с. А = 2 м/с, В = 3 м/с2.
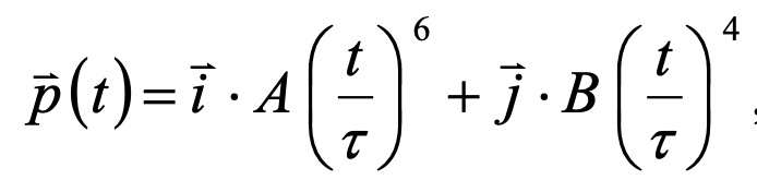
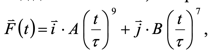
Частица массы m движется в плоскости так, что ее импульс зависит от времени по закону
где A, B – постоянные величины, i, j – единичные орты в декартовой системе координат. Найти ускорение частицы в момент времени t = 1 с, если τ = 1 с. А = 2 кг·м/с, В = 3 кг·м/с, m = 4 кг.
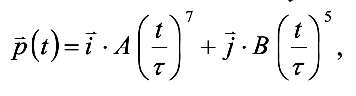
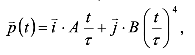
Частица массы m движется в плоскости так, что ее импульс зависит от времени по закону
где A, B – постоянные величины, i, j – единичные орты в декартовой системе координат. Найти ускорение частицы в момент времени t = 1 с, если τ = 1 с. А = 3 кг·м/с, В = 4 кг·м/с, m = 5 кг.
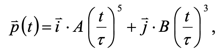
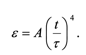
Частица из состояния покоя начала двигаться по дуге окружности радиуса R = 1 м с угловым ускорением, которое зависит от времени по закону
ε = A · (t/τ)5.
Найти нормальное ускорение частицы через время t = 1 с, если τ = 1 с. А = 2 с–2.
Частица из состояния покоя начала двигаться по дуге окружности радиуса R = 1 м так, что угол поворота зависит от времени по закону
φ = A · (t/τ)6.
Найти линейную скорость частицы через время t = 1 с, если τ = 1 с. А = 4 рад.
Частица из состояния покоя начала двигаться по дуге окружности радиуса R = 1 м с угловым ускорением, которое зависит от времени по закону
ε = A · (t/τ)4.
Найти линейную скорость частицы через время t = 1 с, если τ = 1 с. А = 2 с–2.
Частица из состояния покоя начала двигаться по дуге окружности радиуса R = 1 м с постоянным угловым ускорением ε. Найти тангенс угла между вектором полного ускорения и вектором скорости частицы через время t = 1 с. ε = 4 с–2.
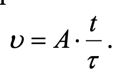
Частица из состояния покоя начала двигаться по дуге окружности радиуса R = 1 м со скоростью, модуль которой зависит от времени по закону
Найти отношение нормального и тангенциального ускорения частицы через время t = 1 с, если τ = 1 с. A = 4 м/с.
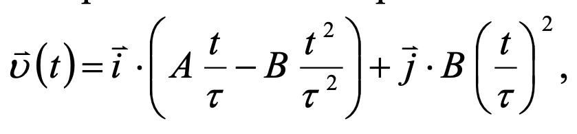
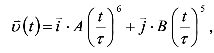
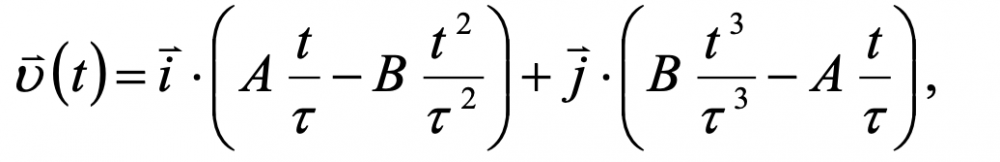
Частица движется так, что ее скорость зависит от времени по закону
где A, B – постоянные величины, i, j – единичные орты в декартовой системе координат. Через сколько секунд ускорение частицы будет перпендикулярно оси х, если τ = 1 с, A = 3 м/c, B = 5 м/c.
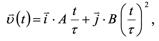
Частица движется так, что ее скорость зависит от времени по закону
где A, B – постоянные величины, i, j – единичные орты в декартовой системе координат. Через сколько секунд ускорение частицы будет параллельно оси х, если τ = 1 с, A = 2 м/c, B = 3 м/c.
Частица движется так, что ее радиус-вектор зависит от времени по закону
где A, B, C – постоянные величины, i, j, k – единичные орты в декартовой системе координат. Найдите тангенс угла, под которым будет направлена скорость v к оси y в момент времени t = 1 с, если τ = 1 с. A = 2 м, B = 3 м, C = 4 м.
Частица движется так, что ее радиус-вектор зависит от времени по закону
где A, B, C – постоянные величины, i, j, k – единичные орты в декартовой системе координат. Найдите тангенс угла, под которым будет направлена скорость v к оси х в момент времени t = 1 с, если τ = 1 с.
А = 2 м, В = 3 м, С = 4 м.
Частица движется так, что ее радиус-вектор зависит от времени по закону
где A, B, C – постоянные величины, i, j, k – единичные орты в декартовой системе координат. Найдите тангенс угла, под которым будет направлена скорость v к оси х в момент времени t = 1 с, если τ = 1 с. А = 2 м, В = 3 м, С = 4 м.
Частица движется в плоскости так, что ее импульс зависит от времени по закону

где A, B – постоянные величины, i, j – единичные орты в декартовой системе координат. Найти тангенс угла между осью х и вектором силы, действующей на частицу в момент времени t = 1 с, если τ = 1 с. A = 3 кг·м/с, B = 4 кг·м/с.
Частица движется в плоскости так, что ее импульс зависит от времени по закону
где A, B – постоянные величины, i, j – единичные орты в декартовой системе координат. Найти тангенс угла между осью х и вектором силы, действующей на частицу в момент времени t = 1 с, если τ = 1 с. A = 3 кг·м/с, B = 4 кг·м/с.
Частица движется в плоскости так, что ее импульс зависит от времени по закону
где A, B – постоянные величины, i, j – единичные орты в декартовой системе координат. Найти модуль силы, действующей на частицу в момент времени t = 1 с, если τ = 1 с, А = 2 кг·м/с, В = 3 кг·м/с.
Частица движется в плоскости под действием силы, которая зависит от времени по закону
где A, B – постоянные величины, i, j – единичные орты в декартовой системе координат. Найти модуль изменения импульса за интервал времени 0 < t < 1 с, если τ = 1 с. A = 3 Н, B = 4 Н.
Частица движется в плоскости под действием силы, которая зависит от времени по закону
где A, B – постоянные величины, i, j – единичные орты в декартовой системе координат. Найти модуль изменения импульса за интервал времени 0 < t < 1 с, если τ = 1 с. A = 2 Н, B = 3 Н.
Частица движется в плоскости под действием силы, которая зависит от времени по закону

где A, B – постоянные величины, i, j – единичные орты в декартовой системе координат. Найти модуль изменения импульса за интервал времени 0 < t < 1 с, если τ = 1 с. A = 2 Н, B = 3 Н.
Небольшой шарик массы m летит со скоростью v1 под углом a =30° к горизонтальной плоскости. После неупругого удара он отскакивает со скоростью v2 под углом b =60° к плоскости. Время соударения t. Найти модуль средней силы трения шарика о плоскость. v1 =10м/с,v2 =6м/с,t=0,01с,m=4кг.
Небольшой шарик массы m летит со скоростью v1 под углом a = 60° к горизонту и падает на вертикальную стену. После неупругого удара он отскакивает со скоростью под углом b =30° к горизонту. Время соударения t. Найти модуль средней силы нормальной реакции состороныстены.v1 =6м/с,v2 =4м/с,t=0,01с,m=2кг.
Небольшое тело начало движение из начала координат вдоль горизонтальной оси х под действием силы, направленной под углом a к оси х. Модуль силы F не меняется, но угол a зависит от координаты x по закону α = B πx/b.
Найти работу этой силы на участке пути от 0 < x < b. B = 1/6 Н, b = 2 м, F = 3 Н.
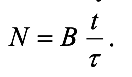
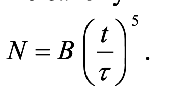
Мощность машины зависит от времени по закону
Найти работу, произведенную машиной за промежуток времени 0 < t < 1 с, если τ = 1 с. B = 2 Вт.
Мощность машины зависит от времени по закону
Найти работу, произведенную машиной за промежуток времени 0 < t < 1 с, если τ = 1 с. B = 2 Вт.
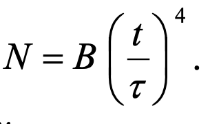
Мощность машины зависит от времени по закону
Найти работу, произведенную машиной за промежуток времени 0 < t < 1 с, если τ = 1 с. B = 2 Вт.
Маленький пластилиновый шарик массы m1 движется горизонтально со скоростью v1. Под углом a к направлению его движения летит второй шарик массы m2со скоростью v2 и сталкивается с первым. Шарики слипаются и движутся со скоростью v3. Найдите величину скорости v3.
m1 =2кг,m2 =3кг,v1 =4м/с,v2 =5м/с,a=30°,
Маленький пластилиновый шарик массы m1 движется горизонтально со скоростью v1. Под углом a к направлению его движения летит второй шарик массы m2 со скоростью v2 и сталкивается с первым. Шарики слипаются и далее движутся вместе. Найдите величину импульса шариков после удара.
m1 =3кг,m2 =4кг,v1 =5м/с,v2 =6м/с,a=30°,
Маленький пластилиновый шарик массы m1 движется горизонтально со скоростью v1. Под углом a к направлению его движения летит второй шарик массы m2 со скоростью v2 и сталкивается с первым. Шарики слипаются и далее движутся вместе. Найдите величину импульса шариков после удара.
m1 =2кг,m2 =3кг,v1 =4м/с,v2 =5м/с,a=60°
Маленький пластилиновый шарик массы m1 движется горизонтально со скоростью v1. Перпендикулярно к направлению его движения летит второй шарик массы m2 со скоростью v2 и сталкивается с первым. Шарики слипаются и далее движутся вместе. Найдите величину скорости шариков после удара. m1 = 3 кг, m2 = 4 кг, v1 = 5 м/с, v2 = 6 м/с.
Маленький пластилиновый шарик массы m1 движется горизонтально со скоростью v1. Перпендикулярно к направлению его движения летит второй шарик массы m2 со скоростью v2 и сталкивается с первым. Шарики слипаются и далее движутся вместе под углом b к первоначальному направлению движения второго шарика. Найдите sinβ. m1 = 2 кг,m2 =3кг,v1 =4м/с,v2 =5м/с.
Диск радиуса R = 1 м начал вращаться вокруг своей оси так, что угол его поворота зависит от времени по закону

Через сколько секунд диск остановится, если τ = 1 с? А = 2 рад, В = 3 рад.
Диск радиуса R = 1 м вращался вокруг своей оси с угловой скоростью ω0. В момент времени t = 0 он начал тормозить. Модуль его углового ускорения при этом зависел от времени по закону

Через сколько секунд диск остановится, если τ = 1 с? A = 6×104 с–2, ω0 = 0,03 с–1.
Диск радиуса R = 1 м вращался вокруг своей оси с угловой скоростью ω0. В момент времени t = 0 его угловое ускорение стало возрастать по закону

Какую угловую скорость будет иметь диск через время t = 1 с, если τ = 1 с? А = 2 с–2, ω0 = 3 с–1.
Диск вращается с угловым ускорением ,зависимость от времени которого задается графиком. Найти максимальную угловую скорость диска в интервале времени 0 < t < 4 с, если εmax = 2 с–2.
Диск вращается с угловой скоростью, зависимость от времени которой задается графиком. Найти угол поворота диска (в радианах) за t = 4 с, если ωmax = 2 с–1.

Характеристики ответов (шпаргалок) к заданиям

Учебное заведение
Номер задания
Теги
Просмотров
1
Качество
Идеальное компьютерное
Количество вопросов
Картинка-подпись
📚Помощь в сдаче любых видов работ✒️Более 6000 готовых студенческих работ и тестов для НСПК, ОСЭК, НИИДПО, НАДПО и других ВУЗов👨‍🏫Гарантирую результат или полностью верну деньги!✅💰

Комментарии

Нет комментариев
Стань первым, кто что-нибудь напишет!
Поделитесь ссылкой:
Базовая цена: 690 390 руб.
Помогу решить любой тест для ТулГУ! Услуга за 290 руб.
Расширенная гарантия +3 недели гарантии, +10% цены
Рейтинг автора
5 из 5
Поделитесь ссылкой:
Сопутствующие материалы

Подобрали для Вас услуги

Вы можете использовать полученные ответы для подготовки к экзамену в учебном заведении и других целях, не нарушающих законодательство РФ и устав Вашего учебного заведения.
Свежие статьи
Популярно сейчас
Почему делать на заказ в разы дороже, чем купить готовую учебную работу на СтудИзбе? Наши учебные работы продаются каждый год, тогда как большинство заказов выполняются с нуля. Найдите подходящий учебный материал на СтудИзбе!
Ответы на популярные вопросы
Да! Наши авторы собирают и выкладывают те работы, которые сдаются в Вашем учебном заведении ежегодно и уже проверены преподавателями.
Да! У нас любой человек может выложить любую учебную работу и зарабатывать на её продажах! Но каждый учебный материал публикуется только после тщательной проверки администрацией.
Вернём деньги! А если быть более точными, то автору даётся немного времени на исправление, а если не исправит или выйдет время, то вернём деньги в полном объёме!
Да! На равне с готовыми студенческими работами у нас продаются услуги. Цены на услуги видны сразу, то есть Вам нужно только указать параметры и сразу можно оплачивать.
Отзывы студентов
Ставлю 10/10
Все нравится, очень удобный сайт, помогает в учебе. Кроме этого, можно заработать самому, выставляя готовые учебные материалы на продажу здесь. Рейтинги и отзывы на преподавателей очень помогают сориентироваться в начале нового семестра. Спасибо за такую функцию. Ставлю максимальную оценку.
Лучшая платформа для успешной сдачи сессии
Познакомился со СтудИзбой благодаря своему другу, очень нравится интерфейс, количество доступных файлов, цена, в общем, все прекрасно. Даже сам продаю какие-то свои работы.
Студизба ван лав ❤
Очень офигенный сайт для студентов. Много полезных учебных материалов. Пользуюсь студизбой с октября 2021 года. Серьёзных нареканий нет. Хотелось бы, что бы ввели подписочную модель и сделали материалы дешевле 300 рублей в рамках подписки бесплатными.
Отличный сайт
Лично меня всё устраивает - и покупка, и продажа; и цены, и возможность предпросмотра куска файла, и обилие бесплатных файлов (в подборках по авторам, читай, ВУЗам и факультетам). Есть определённые баги, но всё решаемо, да и администраторы реагируют в течение суток.
Маленький отзыв о большом помощнике!
Студизба спасает в те моменты, когда сроки горят, а работ накопилось достаточно. Довольно удобный сайт с простой навигацией и огромным количеством материалов.
Студ. Изба как крупнейший сборник работ для студентов
Тут дофига бывает всего полезного. Печально, что бывают предметы по которым даже одного бесплатного решения нет, но это скорее вопрос к студентам. В остальном всё здорово.
Спасательный островок
Если уже не успеваешь разобраться или застрял на каком-то задание поможет тебе быстро и недорого решить твою проблему.
Всё и так отлично
Всё очень удобно. Особенно круто, что есть система бонусов и можно выводить остатки денег. Очень много качественных бесплатных файлов.
Отзыв о системе "Студизба"
Отличная платформа для распространения работ, востребованных студентами. Хорошо налаженная и качественная работа сайта, огромная база заданий и аудитория.
Отличный помощник
Отличный сайт с кучей полезных файлов, позволяющий найти много методичек / учебников / отзывов о вузах и преподователях.
Отлично помогает студентам в любой момент для решения трудных и незамедлительных задач
Хотелось бы больше конкретной информации о преподавателях. А так в принципе хороший сайт, всегда им пользуюсь и ни разу не было желания прекратить. Хороший сайт для помощи студентам, удобный и приятный интерфейс. Из недостатков можно выделить только отсутствия небольшого количества файлов.
Спасибо за шикарный сайт
Великолепный сайт на котором студент за не большие деньги может найти помощь с дз, проектами курсовыми, лабораторными, а также узнать отзывы на преподавателей и бесплатно скачать пособия.
Популярные преподаватели
Добавляйте материалы
и зарабатывайте!
Продажи идут автоматически
6878
Авторов
на СтудИзбе
270
Средний доход
с одного платного файла
Обучение Подробнее
{user_main_secret_data}