Для студентов МГТУ им. Н.Э.Баумана по предмету Вариационное исчислениеФункционалФункционал
4,295112
2025-11-192025-11-19СтудИзба
ДЗ 1: Функционал вариант 7
Новинка
Описание
3.7. Используя необходимые и достаточные условия экстремума функционала, исследовать функционал . Если функционал имеет слабый или сильный экстремум, то вычислить экстремальное значение.
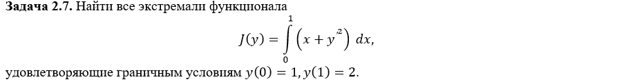
2.7. Найти все экстремали функционала удовлетворяющие граничным условиям y(0)=1, y(1)=2 .
1.7 Найти все экстремали функционала J(y), удовлетворяющие указанным граничным условиям.
![]()
2.7. Найти все экстремали функционала удовлетворяющие граничным условиям y(0)=1, y(1)=2 .
1.7 Найти все экстремали функционала J(y), удовлетворяющие указанным граничным условиям.

Характеристики домашнего задания
Предмет
Учебное заведение
Номер задания
Вариант
Просмотров
8
Качество
Идеальное компьютерное
Размер
30,48 Kb
Преподаватели
Список файлов
дз 7 вар.docx
Комментарии
Нет комментариев
Стань первым, кто что-нибудь напишет!
МГТУ им. Н.Э.Баумана



















