Для студентов МГТУ им. Н.Э.Баумана по предмету Вариационное исчислениеЭкстремали функционалаЭкстремали функционала
5,0052
2023-03-022023-03-02СтудИзба
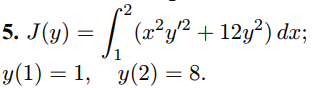
ДЗ 3, 4: Экстремали функционала вариант 5
Описание


Характеристики домашнего задания
Предмет
Учебное заведение
Вариант
Просмотров
67
Качество
Фото рукописных листов
Размер
3,13 Mb
Список файлов
4.5.jpg
3.5.jpg