Для студентов МГТУ им. Н.Э.Баумана по предмету Уравнения математической физики (УМФ)Приведение дифференциальных уравнений к каноническому виду (задания: 35, 44, препод. Сердюков В.И.)Приведение дифференциальных уравнений к каноническому виду (задания: 35, 44, препод. Сердюков В.И.)
2025-10-262025-10-26СтудИзба
ДЗ 1: Приведение дифференциальных уравнений к каноническому виду (задания: 35, 44, препод. Сердюков В.И.) вариант 35, 44
Описание
Домашнее задание по курсу "Уравнения математической физики", преподаватель - Сердюков В.И.
Условие задания:
Определить области, где тип дифференциального уравнения в частных производных второго порядка будет одним и тем же. Привести уравнение в каждой из этих областей к каноническому виду.
1. Определить тип уравнения.
2. Составить уравнение характеристик.
3. Заменить переменные.
4. Вычислить частные производные.
5. Получить уравнение в каноническом виде, подставив полученные производные в исходное уравнение.
В этом варианте домашнего задания представлены следующие дифференциальные уравнения (условия задания см. выше):
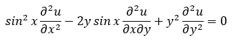
Задача №35:
![]()
Задача №44:
![]()
Условие задания:
Определить области, где тип дифференциального уравнения в частных производных второго порядка будет одним и тем же. Привести уравнение в каждой из этих областей к каноническому виду.
1. Определить тип уравнения.
2. Составить уравнение характеристик.
3. Заменить переменные.
4. Вычислить частные производные.
5. Получить уравнение в каноническом виде, подставив полученные производные в исходное уравнение.
В этом варианте домашнего задания представлены следующие дифференциальные уравнения (условия задания см. выше):
Задача №35:

Задача №44:

Файлы условия, демо
Характеристики домашнего задания
Учебное заведение
Номер задания
Просмотров
2
Качество
Идеальное компьютерное
Размер
617,93 Kb
Преподаватели
Список файлов
УМФ_ДЗ1_задачи 35(п)_44(с).docx
УМФ_ДЗ1_задачи 35(п)_44(с).docx
МГТУ им. Н.Э.Баумана




















