Для студентов МГТУ им. Н.Э.Баумана по предмету Уравнения математической физики (УМФ)Классификация уравнений математической физикиКлассификация уравнений математической физики
4,925131
2025-06-092025-06-09СтудИзба
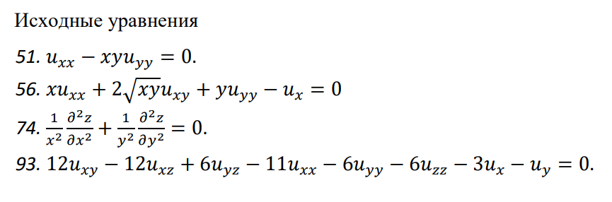
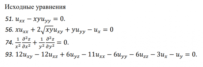
ДЗ 1: Классификация уравнений математической физики вариант 51, 56, 74, 93
Описание
Характеристики домашнего задания
Учебное заведение
Семестр
Номер задания
Программы
Просмотров
7
Качество
Идеальное компьютерное
Размер
1,23 Mb
Преподаватели
Список файлов
Урматфиз ДЗ1 Сердюков студизба.docx
Урматфиз ДЗ1 Сердюков.pdf
Комментарии
Нет комментариев
Стань первым, кто что-нибудь напишет!
МГТУ им. Н.Э.Баумана
LasyPig


















