Для студентов МГТУ им. Н.Э.Баумана по предмету Уравнения математической физики (УМФ)Типовой расчет УМФТиповой расчет УМФ
4,9952267
2025-05-262025-05-30СтудИзба
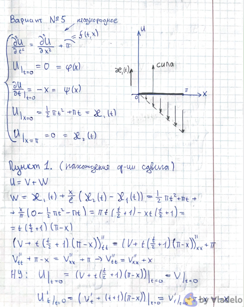
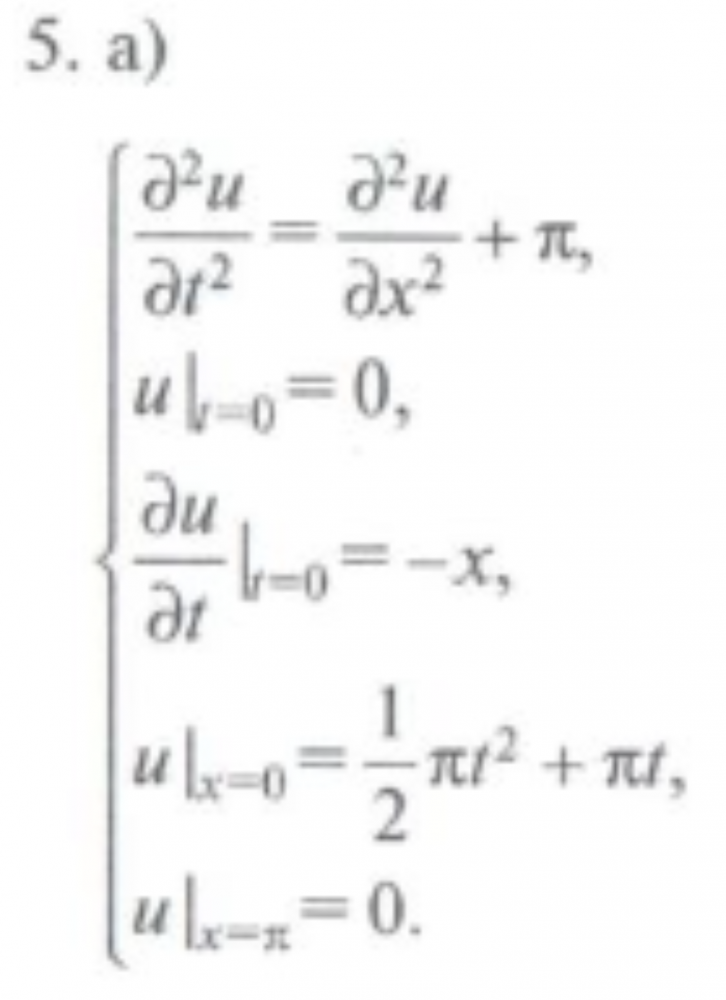
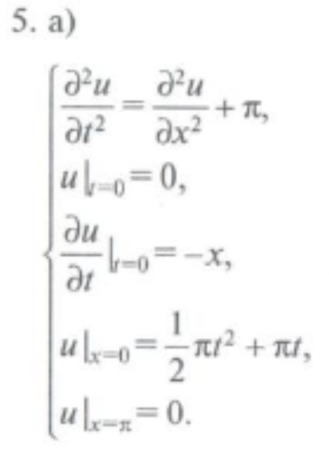
ДЗ 3: Типовой расчет УМФ вариант 5
Описание
Решенное ДЗ№3 по УМФ для Калинкина, 5 вариант
Покупая здесь, Вы получаете:- Подробно решенную задачу из второго типового расчета
- Аккуратный почерк и понятное решение
- Работа была защищена на максимальный балл Калинкину (ну и кадр 🤣 )


Характеристики домашнего задания
Учебное заведение
Семестр
Номер задания
Вариант
Программы
Теги
Просмотров
6
Качество
Скан рукописных листов
Размер
7,61 Mb
Преподаватели
Список файлов
Методичка.pdf
ДЗ№3 – УМФ.pdf
График.jpeg

Vladelo