Для студентов МГТУ им. Н.Э.Баумана по предмету Уравнения математической физики (УМФ)Типовой расчет №2Типовой расчет №2
4,9952267
2025-04-062025-04-08СтудИзба
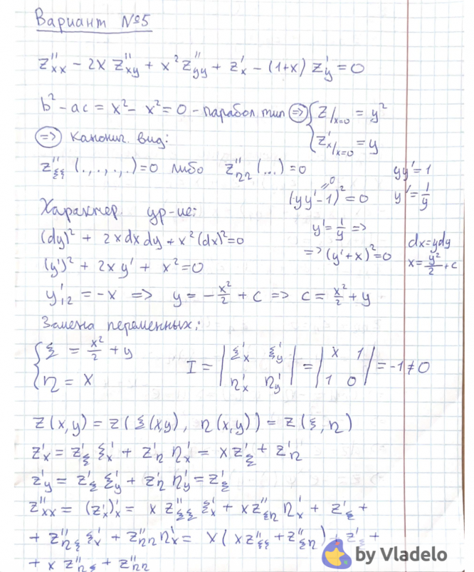
ДЗ 2: Типовой расчет №2 вариант 5
Описание
Решенное ДЗ№2 по УМФ для Калинкина, 5 вариант
Покупая здесь, Вы получаете:- Подробно решенную задачу из второго типового расчета
- Аккуратный почерк и понятное решение
- Работа была защищена на максимальный балл Калинкину (ну и кадр 🤣 )


Характеристики домашнего задания
Учебное заведение
Семестр
Номер задания
Вариант
Программы
Теги
Просмотров
5
Качество
Скан рукописных листов
Размер
1,63 Mb
Преподаватели
Список файлов
ДЗ№2 – УМФ.pdf

Vladelo