Для студентов МГТУ им. Н.Э.Баумана по предмету Уравнения математической физики (УМФ)Типовой расчет №2Типовой расчет №2
4,96529707
2021-02-132021-02-13СтудИзба
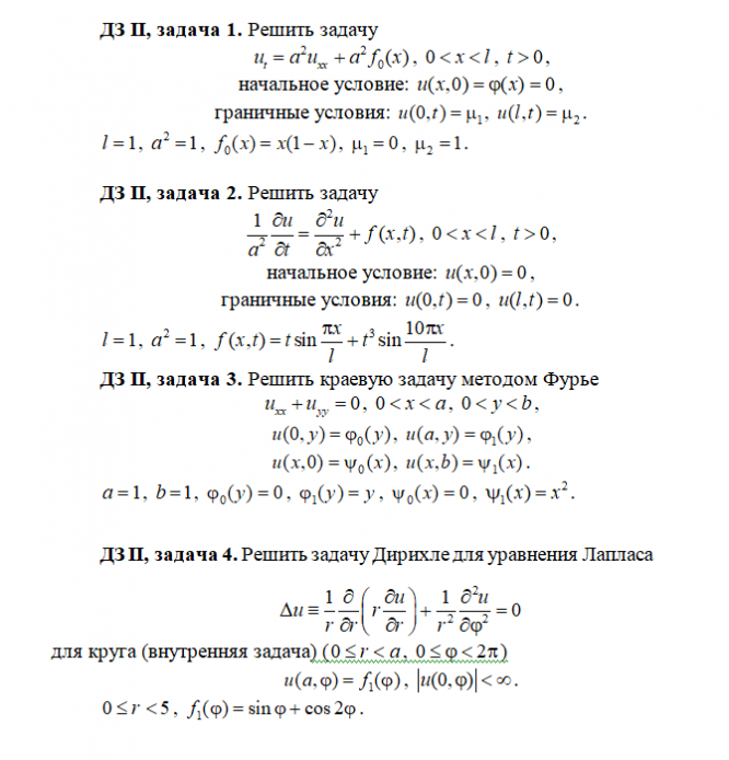
ДЗ 2: Типовой расчет №2 вариант 12
Описание
Характеристики домашнего задания
Учебное заведение
Номер задания
Вариант
Просмотров
27
Качество
Идеальное компьютерное
Размер
672,66 Kb
Список файлов
Вариант 12 ДЗ №2
Вариант 12 ДЗ №2.docx

Вам все понравилось? Получите кэшбэк - 40 рублей на Ваш счёт при покупке. Поставьте оценку и напишите положительный комментарий к купленному файлу. После Вы получите деньги на ваш счет.