ДЗ: Построение логических схем для функции в базисах И-НЕ и ИЛИ-НЕ вариант 1
Описание
Работа выполнена ровно по заданию с пояснениями к каждому шагу. СКНФ найдена с через алгебру логики. В папке с файлами есть pdf и docx версии работы + файл со схемами + приложение, через которое эти схемы открывать + инструкция (в том числе по установке, если приложение не переживет сжатия в zip)
Вариант N1
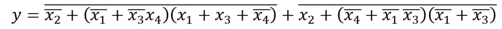
Задана логическая функция: 
1. Найти МДНФ заданной функции и совершенные аналитические формы (СДНФ и СКНФ), используя аксиомы алгебры логики.
2. Построить таблицу истинности заданной функции и по полученной таблице найти ее номер.
3. Преобразовать найденную МДНФ в базисы И-НЕ и ИЛИ-НЕ.
4. Построить в среде ПО LogiSim бесконтактные логические схемы по исходной записи Функции и ее МДНФ, а также в базисах И-НЕ и ИЛИ-НЕ.
5. Проверить построенные схемы на соответствие таблице истинности для одного из наборов.
6. Представить полученные результаты в виде отчета с приложенными снимками построенных логических схем.
МГТУ им. Н.Э.Баумана
LasyPig
















