Для студентов по предмету Управление техническими системами (УТС)Анализ системы автоматического управленияАнализ системы автоматического управления
4,9957489
2024-10-212024-10-21СтудИзба
ДЗ 1: Анализ системы автоматического управления
Описание
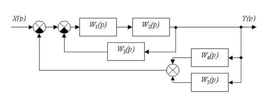
УСЛОВИЕ
- Задание № 1

- Задание № 2

- Задание № 3
- Задание № 4
ДЕМО ![]()
Показать/скрыть дополнительное описаниеАнализ системы автоматического управления.
Характеристики домашнего задания
Номер задания
Просмотров
3
Качество
Идеальное компьютерное
Размер
277,64 Kb
Список файлов
Анализ системы автоматического управления.docx

Если работа Вам была полезна, Пожалуйста, потратьте несколько секунд, чтобы оставить нам 5 ЗВЁЗД и положительный отзывы. Мы Вам глубоко признателены!