Для студентов МУ им. С.Ю. Витте по предмету Управление проектамиУправление проектамиУправление проектами
5,0056
2025-12-072026-01-09СтудИзба
🔑ГОТОВЫЕ ответы на тесты 1-3 по предмету Управление проектами. Витте✨
Ответы к экзамену: Управление проектами
Хит
Описание
ОТВЕТЫ на 95 вопросов по тестам 1-3 🔥 Вероятность совпадения вопросов очень велика, поэтому с этим файлом Вы точно сдадите эту дисциплину.
![]()

Список вопросов
К числу факторов внешней среды относят:
Проект имеет следующие запланированные показатели, представленные в таблице 5.
Рассчитайте дисконтированный доход проекта:
Рассчитайте дисконтированный доход проекта:Проект имеет следующие запланированные показатели, представленные в таблице 6.
Рассчитайте дисконтированную сумму капитальных затрат проекта:
Рассчитайте дисконтированную сумму капитальных затрат проекта:Проект имеет следующие запланированные показатели, представленные в таблице 3.
Рассчитайте дисконтированную сумму капитальных затрат проекта:
Рассчитайте дисконтированную сумму капитальных затрат проекта:«Двойственная» организационная структура управления проектом позволяет:
Установите соответствие между факторами окружения проекта и группами факторов:
(вставить слово) обычно реализуются на предприятиях по производству новинок различного рода, опытных установках, восстановительных работах.
Установите соответствие между видом проекта и его классификационным признаком:
(вставить слово) - это искусство руководства и координации людских и материальных ресурсов на протяжении жизненного цикла проекта путем применения современных методов и техники управления.
Установите соответствие между стадией процесса управления проектами и ее описанием:
(вставить слово) - это непрерывный процесс определения наилучшего способа действий для достижения поставленных целей проекта с учетом складывающейся обстановки.
При разработке деловой стратегии используют следующие основные подходы:
Подходы используемые при разработке деловой стратегии:
Установите соответствие между разделом плана коммуникации проекта и его содержанием:
Установите соответствие между четырьмя типами зависимостей предшествования—следования и их названием:
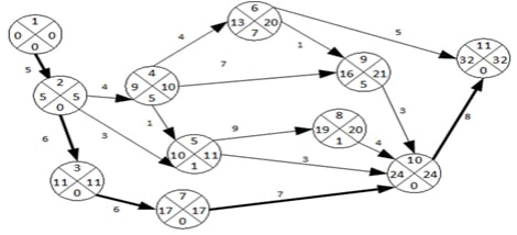
Сетевой график проекта выглядит следующим образом.
Определите коэффициент напряженности для работы (9, 10):
Определите коэффициент напряженности для работы (9, 10):
Денис является Генеральным директором и владельцем компании «Ника», занимающейся импортом и оптовой торговлей компьютерной техникой на северо-западе России. В компании работают два специалиста по закупке компьютеров за рубежом, получающие должностные оклады и месячные премии в размере до 40% оклада (решение о выплате премий принимает Генеральный директор), и пять коммерческих агентов, занятых продажами на внутреннем рынке и получающих комиссионные в размере 10% от суммы продаж. Цены на реализуемые компьютеры устанавливает так же Генеральный директор. Анализ финансовых результатов за последние шесть месяцев показал Денису, что прибыльность компании стала сокращаться, несмотря на постоянный рост объемов реализации и сохранение товарных запасов на одном уровне, и что, кроме того, увеличились сроки сбора дебиторской задолженности. В целях повышения эффективности бизнеса предпринимателем было принято решение расширить свой бизнес и открыть представительство компании в другом городе. Структурное разбиение работ планируется проводить по функциональным элементам менеджмента.
Установите последовательность основных коммуникационных требований у участников проекта в информации:
(Вставить слово) - основа для обеспечения коммуникационных требований.
(Вставить слово) - документ, содержащий обоснование и расчет стоимости проекта (контракта), обычно на основе объемов работ проекта, требуемых ресурсов и цен.
(вставить слово) - генерация, сбор и распространение информации для официального завершения фазы или проекта.
(вставить слово) - сложный процесс сравнения фактических и плановых показателей выполнения работ, а также внесения необходимых корректив действий для устранения нежелательных отклонений.
Управление (вставить слово) предполагает реализацию системы менеджмента качества и в процессах управления проектами.
Управление отклонениями в основном сводится к борьбе с неприятностями, которая в общем случае может включать конкретные стадии:
Выберите наиболее полный и правильный ответ. Межличностный подход к формированию команды проекта – это:
Какие процедуры может в себя включать завершение проекта?
Выберите наиболее полный и правильный ответ. Стоимость проекта в кадровой сфере определяется:
Динамический процесс физиологического и психологического управления поведением человека, определяющий его направленность, организованность, активность и устойчивость – это:
Выберите наиболее полный и правильный ответ. К основным процессам планирования относят:
Выберите наиболее полный и правильный ответ. В состав текущих затрат входят:
Выберите наиболее полный и правильный ответ. Целеполагающий подход к формированию команды проекта – это:
Структура стоимости проекта в разрезе статей затрат обычно базируется на:
Проверка соответствия формализованной организационной деятельности по реализации проекта принятым стандартам управления проектами – это:
Предприятие осуществляет проект по выводу нового продукта на рынок. Предприятие планирует осуществлять следующие мероприятия в рамках маркетинга проекта: проведение маркетинговых исследований; разработка стратегии маркетинга; формирование концепции маркетинга; разработка программы маркетинга проекта; разработка бюджета маркетинга проекта; реализация мероприятия по маркетингу проекта.Предприятие на данный момент осуществляет следующие действия: систематизированный сбор, накопление и анализ данных о состоянии и тенденциях изменения рынков, сегментов и отдельных их участников и институтов.Предприятие на данный момент осуществляет следующие действия: совокупность глобальных (общезначимых для всего проекта) целевых установок (структуры целей, принципиальных методов их достижения), ориентирующих всю деятельность по маркетингу проекта в направлении достижения максимального рыночного результата.Предприятие на данный момент осуществляет следующие действия: тактический срез всей маркетинговой деятельности, в котором определяются среднесрочные, важные направления, целевые ориентиры, выбранные методы реализации определенной ранее стратегии.Предприятие на данный момент осуществляет следующие действия: планирует денежные поступления и выплаты, связанные с реализацией программы маркетинга, в рамках общего бюджетирования проекта.
Установите последовательность в составлении плана маркетинга:
Установите соответствие между видом контракта и его описанием:
Установите последовательность в структуре бизнес-плана:
(вставить слово) - конкурентные торги открытого или закрытого типа, конкурсная информация размещения заказа.
Для локальных проектов оценивается только их (вставить слово) эффективность.
Элемент организации закрытия контракта, заключающийся в регистрации заказчиком ранее представленной ему документации, представляет собой:
Участниками проектного финансирования являются:
Социальные и экологические эффекты учитываются при оценке эффективности:
Чтобы проект был эффективен для инвестора, норма дисконтировании должна быть:
Что входит в капитальные инвестиционные затраты на обрудование и ремонт помещения?
Величина гарантийного задатка при заключении контракта составляет:
Кто принимает решение по результатам торгов?
Проект имеет следующие запланированные показатели, представленные в таблице 4.
Рассчитайте чистую приведенную стоимость проекта:
Рассчитайте чистую приведенную стоимость проекта:Предприятие осуществляет проект по продвижению новой услуги на рынок. Программа маркетинга реализуемого проекта представляет собой комплекс практических, краткосрочных мероприятий по реализации сформулированных ранее стратегии и тактики (концепции) маркетинга проекта. Непосредственно программа базируется на концепции маркетинга. Разработанная программа маркетинга включает в себя следующие блоки: управление продукцией, управление ценой, управление продвижением, управление сбытом.Предприятие на данный момент осуществляет следующие действия: определяет требования к техническому обслуживанию, определяет требования к сопутствующим путям, определяет требования к дизайну и упаковке, определяет требования к качеству продукции проекта, определяет глубину продуктового набора, определяет ширину продуктового набора.Предприятие на данный момент осуществляет следующие действия: разработка системы скидок и условий платежа; формирование цены на продукцию.Предприятие на данный момент осуществляет следующие действия: разработка политики в отношении торговой марки; разработка мероприятий по стимулированию продаж; планирование персональных продаж; разработка PR-мероприятий; разработка рекламных мероприятий.Предприятие на данный момент осуществляет следующие действия: управление сбытом; управление продвижением; управление ценой; управление продукцией; определение торговых запасов; определение временных показателей реализации сделки – от заказа до поставки; определение плотности сети сбыта.
Команда как организационная структура существует на время:
Программа Visio2000 используется для:
Установите последовательность групп процессов управления проектами:
Установите последовательность процесса управления проекта по стадиям:
Какие подходы применяются при управлении сбытом?
Что из перечисленного входит в модель жизненного цикла продукции?
(вставить слово) - совокупность действий, процедур, составляющих содержание одного завершенного цикла, акта бизнес-деятельности.
Проекты, где в качестве доминирующего фактора используют повышенное качество:
Что сочетается в управление проектами?
Управленческий подход, при котором отдельно взятые заказы и задания решаемые в рамках деятельности организации или предприятия, рассматриваются как отдельные проекты, к которым применяются принципы и методы управления проектами – это:
«Проект - это отдельное предприятие с определенными целями, часто включающими требования по времени, стоимости и качеству достигаемых результатов». Кому принадлежит эта цитата?
Установите соответствие между описанием и названием разделов бизнес-плана:
(вставить слово) - финансирование инвестиционных проектов, при котором источником обслуживания долговых обязательств являются денежные потоки, генерируемые проектом.
Установите соответствие между названием показателя и его условным обозначением:
(вставить слово) осуществляет финансирование проекта за счет своих или привлеченных средств.
Проекты, требующие нетрадиционных форм финансирования силами консорциума фирм – это:
На какие вопросы отвечает производственный план?
Какой бюджетной формы в управлении проектами из ниже перечисленных не существует?
Что из ниже перечисленного не является формой проектного финансирования?
Состав, структура и объем бизнес-плана определяются:
Что из перечисленного относится к принципам построения организационных структур управления проектами?
Какие методы традиционно использует стратегический анализ?
Что из перечисленного ниже можно отнести к видам конкурентной борьбы?
Что относится к оргтехнике офиса проекта?
Установите последовательность этапов формирование цены продукта проекта:
Установите последовательность модели жизненного цикла продукции:
Установите последовательность структуры программы маркетинга:
Установите соответствие между разделом проектной документации и его шифром:
(вставить слово) - совокупность текстовых и графических документов, обеспечивающих реализацию принятых в утвержденной проектной документации технических решений объекта капитального строительства, необходимых для производства строительных и монтажных работ, обеспечения строительства оборудованием, изделиями и материалами и/или изготовление строительных изделий.
(вставить слово) - распределенная компьютерная система на базе телекоммуникационных сетей, позволяющая пользоваться едиными программными средствами.
(вставить слово) - систематизированный сбор, накопление и анализ данных о состоянии и тенденциях изменения рынков, сегментов и отдельных их участников и институтов (потребителей, конкурентов, государственных органов), которые могут оказать влияние на положение компании или отдельных ее продуктов на рынке.
Установите соответствие между видами анализа и его содержанием:
В рамках схемы «управление — функция управляющей фирмы» заказчик поручает функции по управлению проектом управляющей фирме, специализирующейся:
Что относится к средствам безопасности?
Что относится к средствам связи?
Какой принципиальной организационной формы/структуры управления проектами не существует?
На что направлен анализ социально-экономической среды?
Программу AutoCAD используют для:
Установите последовательность реализации фаз жизненного цикла проекта:
(вставить слово) в качестве доминирующего фактора используют повышенное качество.
Стадия процесса управления проектом, результатом которой является санкционирование начала проекта или очередной фазы его жизненного цикла – это:
Подготовку стратегии проекта можно условно разделить на три процедуры:
Выделяется восемь функций управления проектами, сколько из них являются базовыми:
Непрерывный процесс определения наилучшего способа действий для достижения поставленных целей проекта с учетом складывающейся обстановки – это:
Каждый проект формируют три основных фактора, называемых "треугольником проекта":
Группа взаимосвязанных проектов и различных мероприятий, объединенных общей целью и условиями их выполнения – это:
Выберите интегрирующие функции:
Характеристики ответов (шпаргалок) к экзамену
Тип
Коллекция: Ответы к экзамену
Предмет
Учебное заведение
Просмотров
42
Качество
Идеальное компьютерное
Количество вопросов
Комментарии
Нет комментариев
Стань первым, кто что-нибудь напишет!
МУ им. С.Ю. Витте


















