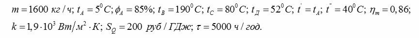
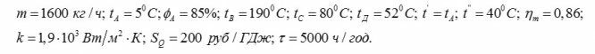
Определить поверхность нагрева воздухоподогревателя, если: - производительность установки по испаренной влаге m; - температура холодного воздуха перед сушилкой tA, относительная влажность φA; - температура воздуха после калорифера tВ; - температура о
Описание
Определить поверхность нагрева воздухоподогревателя, если:
- производительность установки по испаренной влаге m;
- температура холодного воздуха перед сушилкой tA, относительная влажность φA;
- температура воздуха после калорифера tВ;
- температура отработавшего воздуха после сушилки tC;
- температура отработавшего воздуха после воздухоподогревателя tД;
- температура нагреваемого воздуха:
перед воздухоподогревателем t′= tA;
после воздухоподогревателя t′′;
- коэффициент теплопередачи воздухоподогревателя k;
- коэффициент полезного использования тепла в воздухоподогревателе ηm.
Определить также годовое количество сэкономленного тепла и стоимость утилизированного тепла отработавшего воздуха.
Стоимость тепла SQ принять равной 200 руб/ГДж, а число часов работы сушилки за год τ=5000.
Дано:

Характеристики решённой задачи
Список файлов
