Для студентов МГТУ им. Н.Э.Баумана по предмету Теория вероятностей и математическая статистика (ТВиМС)Домашнее задание 2 часть 1Домашнее задание 2 часть 1
5,005485
2024-10-082025-09-27СтудИзба
ДЗ 2: Домашнее задание 2 часть 1 вариант 5
Описание
Полностью выполненное домашнее задание 2 часть 1 по ТВиМС со всеми правками
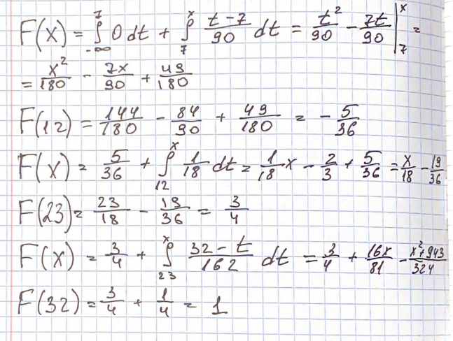
![]()
- Вся задания
- Все графики
- Все формулы

Файлы условия, демо
Характеристики домашнего задания
Учебное заведение
Номер задания
Вариант
Программы
Теги
Просмотров
10
Качество
Скан рукописных листов
Размер
5,18 Mb
Преподаватели
Список файлов
ДЗ2_1 тервер.pdf
Если работа вам понравилась, то оставьте, пожалуйста, отзыв
Комментарии
Нет комментариев
Стань первым, кто что-нибудь напишет!
МГТУ им. Н.Э.Баумана

bruklyn.ben


















