Для студентов МГТУ им. Н.Э.Баумана по предмету Теория вероятностей и математическая статистика (ТВиМС)Домашнее задание 2 часть 1Домашнее задание 2 часть 1
5,0051
2024-09-052025-09-27СтудИзба
ДЗ 2: Домашнее задание 2 часть 1 вариант 10
-20%
Описание
Полностью выполненное домашнее задание 2 часть 1 по ТВиМС со всеми правками
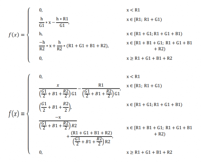
![]()
- Вся задания
- Все графики
- Все формулы
Файлы условия, демо
Характеристики домашнего задания
Учебное заведение
Номер задания
Вариант
Программы
Теги
Просмотров
40
Качество
Идеальное компьютерное
Размер
482,78 Kb
Преподаватели
Список файлов
ДЗ2_1 тервер.pdf
Если работа вам понравилась, то оставьте, пожалуйста, отзыв
МГТУ им. Н.Э.Баумана

bruklyn.ben



















