Для студентов МГТУ им. Н.Э.Баумана по предмету Теория вероятностей и математическая статистика (ТВиМС)Кратные интегралы и числовые рядыКратные интегралы и числовые ряды
5,0051
2022-09-292024-10-21СтудИзба
ДЗ 1: Кратные интегралы и числовые ряды вариант 9
Описание



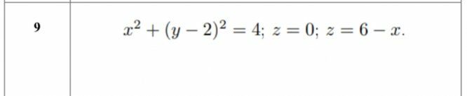
Задача 2 (2 балла). Вычислить объем тела, ограниченного поверхностями. Выполнить рисунок.
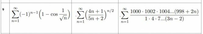
Задача 3 (3 балла). Исследовать сходимость рядов. В случае знакопеременного ряда исследовать на абсолютную и условную сходимость.
Файлы условия, демо
Характеристики домашнего задания
Учебное заведение
Номер задания
Вариант
Просмотров
103
Качество
Фото рукописных листов
Размер
11,96 Mb
Список файлов
9752458D-09F0-48C4-B557-5187CAE285AE.jpeg
3D0C9805-A878-48B4-8D9A-6D8E403A55C7.jpeg
335E6134-0E0B-4123-B722-1666FB1D4B04.jpeg
6A907BE5-986A-41B3-A5F8-C3443F2A5C38.jpeg