💯Теория вероятностей и математическая статистика.ти_ФРК / Сборник из 286 правильных ответов на отлично!
Описание
Тема 1. Элементарная теория вероятностей
Материалы к теме 1. Элементарная теория вероятностей
Тема 2. Классическая и статическая модели вероятности
Материалы к теме 2. Классическая и статистическая модели вероятности
Тема 3. Условная и полная вероятность
Материалы к теме 3. Условная и полная вероятность
Тема 4. Распределения дискретных случайных величин
Материалы к теме 4. Распределения дискретных случайных величин
Тема 5. Распределения непрерывных случайных величин
Материалы к теме 5. Распределения непрерывных случайных величин
Тема 6. Числовые характеристики случайных величин
Материалы к теме 6. Числовые характеристики случайных величин
Тема 7. Выборочный метод математической статистики
Материалы к теме 7. Выборочный метод математической статистики
Тема 8. Выборочные распределения
Материалы к теме 8. Выборочные распределения
Тема 9. Статистические оценки параметров распределения
Материалы к теме 9. Статистические оценки параметров распределения
Тема 10. Проверка статистических гипотез
Материалы к теме 10. Проверка статистических гипотез
Тема 11. Элементы корреляционного анализа
Материалы к теме 11. Элементы корреляционного анализа
В таблице показано распределение случайной величины Х, е ЕХ – математическое ожидание этой случайной величины равно …
-0,1
0
0,00016
0,1
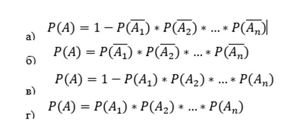
Вероятность появления хотя бы одного из событий A1, A2, ..., An, независимых в совокупности P(A), равна…
а
б
в
г
В теории вероятностей событие – это …
возможный результат опыта
явление или происшествие, которое произошло
факт, случай, который произошел наверняка
состояние объекта, которое может произойти в результате многократного проведения опыта
Закон распределения дискретной случайной величины Х задан таблицей если известно, что M(X) =1,9, x3 = …
-4
2
-2
3
1
Эксперимент состоит в подбрасывании один раз правильной шестигранной игральной кости. А влечет за собой В при условиях, что …
А = {выпало нечетное число очков}, B ={выпало число 3}
А = {выпало число 2}, B = {выпало четное число очков}
А = {выпало число 6}, B = {выпало число очков, меньше 6}
А = {выпало четное число очков}, B = {выпало число 2}
Закон распределения дискретной случайной величины Х задан таблицей. Размах вариации …
0,5
20
0,4
1
1,0
Каждый из трех экспертов независимо друг от друга дает заключение о непригодности устройства. Вероятность признать устройство непригодным для каждого из них составляет 0,5, 0,3 и 0,1. Вероятность, что все эксперты признают устройство непригодным …
0,015
0,9
0,23
0,5
1/3
0,985
Математическое ожидание равномерно распределенной величины равно …
а
б
в
г
Непрерывная случайная величина Х задана функцией распределения вероятностей Тогда вероятность P(4
5/9
1/2
4/9
11/12
Плотность вероятности случайной величины Х, распределенной по экспоненциальному закону с параметром λ = 2, имеет вид …
а
б
в
г
В корзине пять красных и четыре зеленых яблока. Некто берет наугад два яблока. Вероятность того, что среди вынутых двух яблок будет ровно одно зеленое и одно красное …
1/2
2/9
5/9
4/27
16/81
1/6
Появление ровно двух из трех событий А, В, С – это …
а
б
в
г
д
Экспедиция издательства отправила газеты в три почтовых отделения. Вероятность своевременной доставки газет в первое отделение равна 0,95, во второе – 0,9, в третье – 0,8. Вероятность события, что только одно отделение получит газеты вовремя …
0,032
0,95
0,684
0,001
… способами можно составить список из пяти студентов, если всего 25 студентов в группе.
5
120
125
25
В корзине пять красных и четыре зеленых яблока. Некто берет наугад два яблока. Вероятность того, что среди вынутых двух яблок будет ровно два зеленых …
1/2
2/9
4/27
5/9
16/81
1/6
В круг радиуса 8 помещен меньший круг радиуса 5. Вероятность того, что точка, наудачу брошенная в больший круг, попадет также и в меньший круг, равна …
39/64
5/8
25/64
3/8
√5/√8
В урне 5 белых, 3 черных, 4 красных шаров. Вероятность того, что из урны вынут белый или черный шар, равна …
1/4
15/8
2/3
8/15
1/3
Функция распределения F(х) случайной величины Х в точке x – это…
вероятность того, что в результате опыта случайная величина примет значение, равное x
вероятность того, что в результате опыта случайная величина примет значение, меньшее, чем x
значение, которое принимает случайная величина в точке x
сумма значений случайной величины, которое она принимает в точках, меньших x
Условная вероятность А при условии В вычисляется по формуле …
P (A+B) = P (A) + P (B)
P (A+B) = P (A) + P (B) - P (A⋅B)
P (A⋅B) = P (A) ⋅ P(B/A)
P(B/A)= P (A⋅B) / P (A)
P (A⋅B) = P (A) P (B)
P (A/B) = P (A⋅B) / P (B)
Варианты – это …
наблюдаемые значения признака
вариационные (изменяемые) значения признака
вероятностные значения признака
значения вероятностей
значения случайной величины
Внутрь круга радиуса 5 наудачу брошена точка. Вероятность того, что точка окажется внутри вписанного в круг равностороннего треугольника, равна …
√3/4π
(4π-3√3)/4π
3√3/4π
3√3/2π
Гипотеза – это …
научное предположение об особенностях явлений, которые их определяют, требующее проверки и доказательства
упорядоченная и обоснованная система взглядов
идея, догадка или необоснованное предположение
Дан доверительный интервал (4,26; 9,49) для оценки среднего квадратического отклонения нормально распределенного количественного признака. Тогда при увеличении надежности (доверительной вероятности) оценки доверительный интервал может принять вид ..
(4,26; 9,61)
(4,14; 9,49)
(4,14; 9,61)
(4,06; 9,59)
Проводится n=150 независимых испытаний, в каждом из которых вероятность появления события A постоянна и равна 0,6. Тогда математическое ожидание M(X) и дисперсия D(X) дискретной случайной величины X – числа появлений события A в проведенных испытаниях – равны …
M(X) =90, D(X) =6
M(X) =90, D(X) =36
M(X) =6, D(X) =90
M(X) =36, D(X) =90
M(X) =90, D(X) =54
Случайная величина Х распределена по нормальному закону с математическим ожиданием, а=40 и дисперсией = 100. Вероятность того, что случайная величина Х примет значение, принадлежащее интервалу (20;60) …
0,9978
0,9889
0,9565
0,9545
Проведено пять измерений (без систематических ошибок) некоторой случайной величины (в мм): 4,5; 5,2; 6,1; 7,8, 8,3. Тогда несмещенная оценка математического ожидания равна …
6,42
6,1
6,4
6,38
Верно, что …
выборочная совокупность – часть генеральной
выборочная и генеральная совокупности равны по численности
генеральная совокупность – часть выборочной
выборочная и генеральная совокупности вместе образуют полную группу событий
Два стрелка стреляют по мишени. Вероятность попадания в цель у одного стрелка 0,7, у другого — 0,8. Вероятность того, что цель будет поражена, равна …
0,94
0,56
0,8
0,98
0,62
Если рассчитанная по выборке объемом 15 наблюдений выборочная дисперсия равна 28, то несмещенная оценка дисперсии …
25
29
28
30
Из пяти цифр 1, 2, 3, 4, 5 можно составить … различных двузначных чисел, учитывая, что цифры в числе разные.
25
10
60
20
120
Верно, что …
полигоном частот называют график зависимости частот от времени
для построения полигона частот на оси абсцисс откладывают частоты ni, а на оси ординат – соответствующие им варианты xi
для построения полигона частот на оси абсцисс откладывают варианты xi, а на оси ординат – соответствующие им частоты ni
полигоном частот называют график зависимости вариант от времени
Дисперсия случайной величины Х, распределенной равномерно на интервале (8;20), равна…
144
12
6
1/12
Значения критерия Стьюдента …
вычисляют по заданным степеням свободы и уровню значимости
берут из таблиц, согласно числу степеням свободы и уровню значимости
берут из таблиц, согласно уровню значимости
берут из нормального распределения по заданному уровню значимости
Если связь между признаками отсутствует, то парный коэффициент корреляции равен …
0
1
1/2
-1
Игральная кость бросается два раза. Вероятность того, что сумма выпавших очков не меньше девяти, равна …
5/18
1/6
13/18
5/12
Как называются условные вероятности?
Совместными
Несовместными
Несовместными в совокупности
Апостериорными
Априорными
Несовместное событие – это, когда...
цена товара более 100 рублей и цена товара менее 50 рублей
цена товара более 100 рублей и цена товара более 50 рублей
товар бракованный и цена товара более 50 рублей
товар не бракованный и цена товара более 100 рублей
По аксиоматическому определению вероятностью называется числовая функция, принимающая действительные значения и удовлетворяющая аксиомам …
неотрицательности
нормированности
аддитивности
коммутативности
эквивалентности
При наборе телефонного номера абонент забыл две последние цифры и набрал их наудачу, помня только, что эти цифры нечетные и разные. Вероятность того, что номер набран правильно, равна …
1/4
1/20
1/5
2/25
Формулировка теоремы Чебышева гласит, что при достаточно большом числе испытаний случайной величины Х...
дисперсия полученных результатов будет сколь угодно мало отличаться от её истинного значения
среднее арифметическое полученных результатов будет сколь угодно мало отличаться от её истинного значения
среднее квадратическое отклонение полученных результатов будет сколь угодно мало отличаться от её истинного значения
мода полученных результатов будет сколь угодно мало отличаться от её истинного значения
Вероятность, которую можно указать до опыта, называют …
априорной
апостериорной
гипотетической
гипотезой
достоверной
Для проверки значимости модели регрессии используется …
критерий Стьюдента
F-критерий Фишера
критерий Пирсона
метод наименьших квадратов
Измерили рост (в см) студентов одной учебной группы. Результаты измерений дали выборку (164; 186; 164; 190; 158; 181; 176; 180; 174; 157;176; 169; 164; 186). Медиана ряда равна …
173,3
175
33
164
Операция А+В означает, что …
событие А влечет за собой событие В
произошло хотя бы одно из двух событий А или В
совместно осуществились события А и В
если события совместные, то одновременное их наступление
если события несовместные, то одновременное их наступление
Предположим, что детали, выпускаемые в цеху, по размеру диаметра распределены по нормальному закону. Стандартная длина диаметра детали (математическое ожидание) равна 50 мм, среднее квадратическое отклонение равно 5мм. Вероятность того, что диаметр наудачу взятой детали отклониться от стандартной длины не более чем на 8 мм …
0,9648
0,9500
0,8904
0,6875
Случайная величина Х распределена по показательному закону с плотностью распределения вероятностей. Тогда ее математическое ожидание и дисперсия равны …
M(X) =1/3, D(X) =1/3
M(X) =1/3, D(X) =1/9
M(X) =1/9, D(X) =1/9
M(X) =1/9, D(X) =1/3
Статистическая гипотеза – это …
предположение, касающееся параметров или формы распределения генеральной совокупности
предположение, касающееся параметров или формы распределения выборочной совокупности
предположение, которое однозначно определяет функцию распределения
научное предположение об особенностях явлений, которые их определяют, требующее проверки и доказательства
Закон распределения случайной величины задан таблицей Значение х = …
0,1
0,5
0,2
1
Закон распределения случайной величины задан таблицей Размах вариации равен …
6
8
2
0
Закон распределения случайной величины Х задан таблицей Вероятность события X <44 равна …
0,2
0,4
0,8
0,1
Выборочной средней называется …
среднее арифметическое значений признака выборочной совокупности
среднее взвешенное значений признака выборочной совокупности
медианное значение признака выборочной совокупности
среднее арифметическое значений признака генеральной совокупности
Если все варианты xi исходного вариационного ряда увеличить в два раза, то выборочная дисперсия D …
увеличится в четыре раза
увеличится в два раза
не изменится
увеличится на четыре единицы
Корреляционная связь считается сильной, если коэффициент корреляции …
1
больше 1
больше 0,7
-1
0
Полная группа событий – это …
события, сумма вероятностей которых равна 1
события, попарно несовместные
события, вероятность какого-либо из них равна обязательно равна 1
Соотношением вида P(K < - 2,09) = 0,025 можно определить …
левостороннюю критическую область
правостороннюю критическую область
двустороннюю критическую область
область принятия гипотезы
Геометрический способ задания вероятности применяется, когда …
пространство элементарных событий бесконечно, все события равновозможные и независимые
пространство элементарных событий замкнуто, все события независимы
пространство элементарных событий конечно, все события равновозможные
пространство элементарных событий конечно, все элементарные события независимы
Квадрат коэффициента корреляции называется …
коэффициентом детерминации
дисперсией
средне квадратическим отклонением
коэффициентом ковариации
коэффициентом регрессии
При большом числе испытаний и pnq>20, следует применять вероятностную схему …
Бернулли
Пуассона
Лапласа
Муавра-Лапласса
Среди определенной группы людей вероятность некоторой болезни 0,02. Тест, позволяющий выявить болезнь, несовершенен. На больном он дает позитивный результат в 98 случаях из 100, и, кроме того, он дает позитивный результат в 4 случаях из 100 на здоровом. Вероятность того, что человек, на котором тест дал положительный результат, действительно болен …
0,0008
1/3
0,0004
0,02
Условная вероятность Р(А/В) – это …
вероятность одновременного наступления событий А и В
вероятность события В, вычисленная в предположении, что событие А уже произошло
вероятность события А, вычисленная в предположении, что событие В уже произошло
вероятность наступления по крайней мере одного из событий А и В
вероятность события А, вычисленная в предположении, что событие В не может произойти
Дискретная случайная величина может принимать …
конечное или счетное множество значений
только бесконечное число значений
только конечное число значений
бесконечное множество, элементы которого возможно пронумеровать натуральными числами
Параметры уравнения a, a1 в линейном уравнении регрессии ŷ = a + a1x находят методом …
наименьших квадратов
обратной матрицы
наибольшего правдоподобия
множественной корреляции
Классический способ задания вероятности применяется, когда …
пространство элементарных событий бесконечно, все события равновозможные и независимые
пространство элементарных событий замкнуто, все события независимы
пространство элементарных событий конечно, все события равновозможные
пространство элементарных событий конечно, все элементарные события независимы
При увеличении объема выборки и одном и том же уровне значимости, ширина доверительного интервала …
может как уменьшиться, так и увеличиться
уменьшается
не изменяется
увеличивается
Сумма всех частостей совокупности равна …
1
численности выборки
сумме всех частот
математическому ожиданию совокупности
среднему квадратическому отклонению совокупности
Если линейный коэффициент корреляции равен единице, то связь между признаками …
функциональная
корреляционная
отсутствует
линейная
Ошибки выборки – это…
модуль разности между характеристиками выборочной и генеральной совокупности
отношение характеристики выборочной совокупности к генеральной
модуль разности между генеральной совокупностью и числом выборки
точечная оценка среднего значения выборки
Сумма двух событий – это …
событие, состоявшее в том, что произошло событие А и не произошло событие В
событие, состоящее в том, что события А и В произошли одновременно
событие, состоящее в том, что произошло событие А или событие В
событие, состоявшее в том, что ни одно из событий не произошло
Распределение Стьюдента зависит от …
только от объёма выборки n
объема выборки n и объёма генеральной совокупности
математического ожидания выборки
только от объема генеральной совокупности
Оценка параметра называется несмещенной, если …
она не зависит от объема испытаний
она приближается к оцениваемому параметру при увеличении объема испытаний
математическое ожидание выборочного параметра при любых объёмах выборки «достаточно близко» или совпадает с его генеральным значением
она имеет наименьшую возможную дисперсию
Простой вариационный ряд – это ряд, в котором варианты …
записаны в порядке их поступления в процессе отбора
сгруппированы
записаны в порядке возрастания
записаны в порядке убывания
Распределение выборочных средних x ̅ от генеральной средней, при достаточно большом числе n приближенно подчиняется … закону.
биномиальному
равномерному
пуассоновскому
нормальномуПоказать/скрыть дополнительное описание
Теория вероятностей и математическая статистика.ти_ФРК Тема 1. Элементарная теория вероятностей Материалы к теме 1. Элементарная теория вероятностей Тема 2. Классическая и статическая модели вероятности Материалы к теме 2. Классическая и статистическая модели вероятности Тема 3. Условная и полная вероятность Материалы к теме 3. Условная и полная вероятность Тема 4. Распределения дискретных случайных величин Материалы к теме 4. Распределения дискретных случайных величин Тема 5. Распределения непрерывных случайных величин Материалы к теме 5. Распределения непрерывных случайных величин Тема 6. Числовые характеристики случайных величин Материалы к теме 6. Числовые характеристики случайных величин Тема 7.
Выборочный метод математической статистики Материалы к теме 7. Выборочный метод математической статистики Тема 8. Выборочные распределения Материалы к теме 8. Выборочные распределения Тема 9. Статистические оценки параметров распределения Материалы к теме 9. Статистические оценки параметров распределения Тема 10. Проверка статистических гипотез Материалы к теме 10. Проверка статистических гипотез Тема 11. Элементы корреляционного анализа Материалы к теме 11. Элементы корреляционного анализа В таблице показано распределение случайной величины Х, е ЕХ – математическое ожидание этой случайной величины равно … -0,1 0 0,00016 0,1 Вероятность появления хотя бы одного из событий A1, A2, ..., An, независимых в совокупности P(A), равна… а б в г В теории вероятностей событие – это … возможный результат опыта явление или происшествие, которое произошло факт, случай, который произошел наверняка состояние объекта, которое может произойти в результате многократного проведения опыта Закон распределения дискретной случайной величины Х задан таблицей если известно, что M(X) =1,9, x3 = … -4 2 -2 3 1 Эксперимент состоит в подбрасывании один раз правильной шестигранной игральной кости.
А влечет за собой В при условиях, что … А = {выпало нечетное число очков}, B ={выпало число 3} А = {выпало число 2}, B = {выпало четное число очков} А = {выпало число 6}, B = {выпало число очков, меньше 6} А = {выпало четное число очков}, B = {выпало число 2} Закон распределения дискретной случайной величины Х задан таблицей. Размах вариации … 0,5 20 0,4 1 1,0 Каждый из трех экспертов независимо друг от друга дает заключение о непригодности устройства. Вероятность признать устройство непригодным для каждого из них составляет 0,5, 0,3 и 0,1. Вероятность, что все эксперты признают устройство непригодным … 0,015 0,9 0,23 0,5 1/3 0,985 Математическое ожидание равномерно распределенной величины равно … а б в г Непрерывная случайная величина Х задана функцией распределения вероятностей Тогда вероятность P(4 5/9 1/2 4/9 11/12 Плотность вероятности случайной величины Х, распределенной по экспоненциальному закону с параметром λ = 2, имеет вид … а б в г В корзине пять красных и четыре зеленых яблока.
Некто берет наугад два яблока. Вероятность того, что среди вынутых двух яблок будет ровно одно зеленое и одно красное … 1/2 2/9 5/9 4/27 16/81 1/6 Появление ровно двух из трех событий А, В, С – это … а б в г д Экспедиция издательства отправила газеты в три почтовых отделения. Вероятность своевременной доставки газет в первое отделение равна 0,95, во второе – 0,9, в третье – 0,8. Вероятность события, что только одно отделение получит газеты вовремя … 0,032 0,95 0,684 0,001 … способами можно составить список из пяти студентов, если всего 25 студентов в группе. 5 120 125 25 В корзине пять красных и четыре зеленых яблока. Некто берет наугад два яблока. Вероятность того, что среди вынутых двух яблок будет ровно два зеленых … 1/2 2/9 4/27 5/9 16/81 1/6 В круг радиуса 8 помещен меньший круг радиуса 5.
Вероятность того, что точка, наудачу брошенная в больший круг, попадет также и в меньший круг, равна … 39/64 5/8 25/64 3/8 √5/√8 В урне 5 белых, 3 черных, 4 красных шаров. Вероятность того, что из урны вынут белый или черный шар, равна … 1/4 15/8 2/3 8/15 1/3 Функция распределения F(х) случайной величины Х в точке x – это… вероятность того, что в результате опыта случайная величина примет значение, равное x вероятность того, что в результате опыта случайная величина примет значение, меньшее, чем x значение, которое принимает случайная величина в точке x сумма значений случайной величины, которое она принимает в точках, меньших x Условная вероятность А при условии В вычисляется по формуле … P (A+B) = P (A) + P (B) P (A+B) = P (A) + P (B) - P (A⋅B) P (A⋅B) = P (A) ⋅ P(B/A) P(B/A)= P (A⋅B) / P (A) P (A⋅B) = P (A) P (B) P (A/B) = P (A⋅B) / P (B) Варианты – это … наблюдаемые значения признака вариационные (изменяемые) значения признака вероятностные значения признака значения вероятностей значения случайной величины Внутрь круга радиуса 5 наудачу брошена точка.
Вероятность того, что точка окажется внутри вписанного в круг равностороннего треугольника, равна … √3/4π (4π-3√3)/4π 3√3/4π 3√3/2π Гипотеза – это … научное предположение об особенностях явлений, которые их определяют, требующее проверки и доказательства упорядоченная и обоснованная система взглядов идея, догадка или необоснованное предположение Дан доверительный интервал (4,26; 9,49) для оценки среднего квадратического отклонения нормально распределенного количественного признака. Тогда при увеличении надежности (доверительной вероятности) оценки доверительный интервал может принять вид .. (4,26; 9,61) (4,14; 9,49) (4,14; 9,61) (4,06; 9,59) Проводится n=150 независимых испытаний, в каждом из которых вероятность появления события A постоянна и равна 0,6.
Тогда математическое ожидание M(X) и дисперсия D(X) дискретной случайной величины X – числа появлений события A в проведенных испытаниях – равны … M(X) =90, D(X) =6 M(X) =90, D(X) =36 M(X) =6, D(X) =90 M(X) =36, D(X) =90 M(X) =90, D(X) =54 Случайная величина Х распределена по нормальному закону с математическим ожиданием, а=40 и дисперсией = 100. Вероятность того, что случайная величина Х примет значение, принадлежащее интервалу (20;60) … 0,9978 0,9889 0,9565 0,9545 Проведено пять измерений (без систематических ошибок) некоторой случайной величины (в мм): 4,5; 5,2; 6,1; 7,8, 8,3. Тогда несмещенная оценка математического ожидания равна … 6,42 6,1 6,4 6,38 Верно, что … выборочная совокупность – часть генеральной выборочная и генеральная совокупности равны по численности генеральная совокупность – часть выборочной выборочная и генеральная совокупности вместе образуют полную группу событий Два стрелка стреляют по мишени.
Вероятность попадания в цель у одного стрелка 0,7, у другого — 0,8. Вероятность того, что цель будет поражена, равна … 0,94 0,56 0,8 0,98 0,62 Если рассчитанная по выборке объемом 15 наблюдений выборочная дисперсия равна 28, то несмещенная оценка дисперсии … 25 29 28 30 Из пяти цифр 1, 2, 3, 4, 5 можно составить … различных двузначных чисел, учитывая, что цифры в числе разные. 25 10 60 20 120 Верно, что … полигоном частот называют график зависимости частот от времени для построения полигона частот на оси абсцисс откладывают частоты ni, а на оси ординат – соответствующие им варианты xi для построения полигона частот на оси абсцисс откладывают варианты xi, а на оси ординат – соответствующие им частоты ni полигоном частот называют график зависимости вариант от времени Дисперсия случайной величины Х, распределенной равномерно на интервале (8;20), равна… 144 12 6 1/12 Значения критерия Стьюдента … вычисляют по заданным степеням свободы и уровню значимости берут из таблиц, согласно числу степеням свободы и уровню значимости берут из таблиц, согласно уровню значимости берут из нормального распределения по заданному уровню значимости Если связь между признаками отсутствует, то парный коэффициент корреляции равен … 0 1 1/2 -1 Игральная кость бросается два раза.
Вероятность того, что сумма выпавших очков не меньше девяти, равна … 5/18 1/6 13/18 5/12 Как называются условные вероятности? Совместными Несовместными Несовместными в совокупности Апостериорными Априорными Несовместное событие – это, когда... цена товара более 100 рублей и цена товара менее 50 рублей цена товара более 100 рублей и цена товара более 50 рублей товар бракованный и цена товара более 50 рублей товар не бракованный и цена товара более 100 рублей По аксиоматическому определению вероятностью называется числовая функция, принимающая действительные значения и удовлетворяющая аксиомам … неотрицательности нормированности аддитивности коммутативности эквивалентности При наборе телефонного номера абонент забыл две последние цифры и набрал их наудачу, помня только, что эти цифры нечетные и разные.
Вероятность того, что номер набран правильно, равна … 1/4 1/20 1/5 2/25 Формулировка теоремы Чебышева гласит, что при достаточно большом числе испытаний случайной величины Х... дисперсия полученных результатов будет сколь угодно мало отличаться от её истинного значения среднее арифметическое полученных результатов будет сколь угодно мало отличаться от её истинного значения среднее квадратическое отклонение полученных результатов будет сколь угодно мало отличаться от её истинного значения мода полученных результатов будет сколь угодно мало отличаться от её истинного значения Вероятность, которую можно указать до опыта, называют … априорной апостериорной гипотетической гипотезой достоверной Для проверки значимости модели регрессии используется … критерий Стьюдента F-критерий Фишера критерий Пирсона метод наименьших квадратов Измерили рост (в см) студентов одной учебной группы.
Результаты измерений дали выборку (164; 186; 164; 190; 158; 181; 176; 180; 174; 157;176; 169; 164; 186). Медиана ряда равна … 173,3 175 33 164 Операция А+В означает, что … событие А влечет за собой событие В произошло хотя бы одно из двух событий А или В совместно осуществились события А и В если события совместные, то одновременное их наступление если события несовместные, то одновременное их наступление Предположим, что детали, выпускаемые в цеху, по размеру диаметра распределены по нормальному закону. Стандартная длина....
Список вопросов









Эти вопросы в других коллекциях
Характеристики ответов (шпаргалок) к экзамену





















