Для студентов МГТУ им. Н.Э.Баумана по предмету Теория вероятностей и математическая статистика (ТВиМС)Практика к экзамену билетыПрактика к экзамену билеты
5,00510
2025-06-142025-06-15СтудИзба
Ответы к экзамену 1-9: Практика к экзамену билеты
Описание
В файле содержится условие практических задач к экзамену по Теории вероятностей и математической статистике на 24 билета и решение!!! 9 из них (первые 9 решены, на остальные просто условие)
Решение представлено в следующем виде:
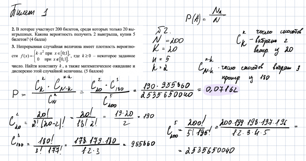
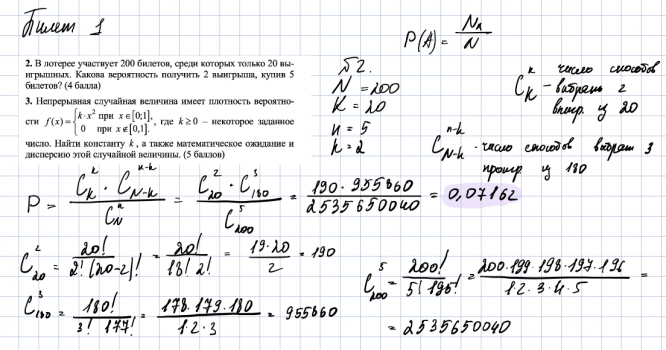
![]()
Решение представлено в следующем виде:

Характеристики ответов (шпаргалок) к экзамену
Учебное заведение
Номер задания
Программы
Просмотров
7
Качество
Скан рукописных листов
Размер
8,14 Mb
Преподаватели
Список файлов
Теорвер билеты 1-9 практика .pdf