Ответы к экзамену 1-20, Итоговый тест: Итоговая работа вариант 1, 2, 3, 4
Описание
Документ с ответами содержит материала на 27 листов, 4 варианта.
Если в схеме Бернулли р – малая величина и λ = np, то вероятность Pn;m того, что при n испытаниях событие А произойдет m раз можно найти по приближенной формуле:
| |
| |
| |
| |
Выборочная средняя распределения (ni – частота) равна:
| 5,0 |
| 1 |
| 4,5 |
| 5,45 |
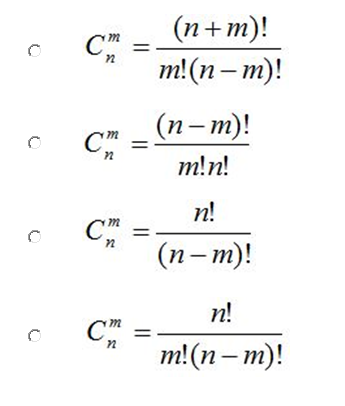
Число сочетаний из n элементов по m вычисляется по формуле:
| |
| |
| |
| |
Случайная величина, распределена по показательному закону f(x)=λe-λx. Произведена выборка, среднее значение которой равно 10. Тогда параметр λ оценивается числом:
| 0,1 |
| √10 |
| 10 |
| 1 |
Магазин при осмотре партии товара А обнаружил в этой партии 2% брака. Средняя арифметическая числа альтернативного признака (бракованного товара) равна:
| 0,98 |
| 0,02 |
| 0,92 |
| 0,08 |
Перестановками из n элементов называются такие комбинации,
| из которых каждое содержит все n элементов, и которые отличаются друг от друга только порядком расположения элементов |
| из которых каждое содержит все n элементов, и которые отличаются друг от друга составом элементов и порядком их следования |
| из которых каждое содержит все n элементов, и которые отличаются друг от друга только составом элементов |
| из которых каждое содержит не менее n элементов, и которые отличаются друг от друга составом элементов и порядком их следования |
Среднее квадратическое отклонение – это:
| квадратный корень из дисперсии |
| дисперсия минус квадрат среднего значения |
| половина дисперсии |
| квадрат дисперсии |
Случайная величина X характеризуется рядом распределения:
Тогда математическое ожидание случайной величины X равно:
| 1,32 |
| 1,5 |
| 1 |
| 0 |
Пусть X = (x1, x2,…., xn) – дискретная случайная величина, pi – вероятности появления xi. Тогда математическое ожидание M(X) случайной величины X рассчитывается о формуле:
| |
| |
| |
| |
Средний стаж работы рабочих АО составил 5 лет. Дисперсия стажа работы 4 года. Чему равен коэффициент вариации?
| 80% |
| 125% |
| 50% |
| 40% |
Вариационный ряд – это:
| ранжированный в порядке возрастания ряд вариантов |
| ранжированный в порядке возрастания или убывания ряд вариантов |
| ранжированный в порядке убывания ряд вариантов |
| ряд признаков, полученных в результате измерения какого-либо экономического процесса |
Вероятность того, что при n испытаниях событие А произойдет m раз, определяется по формуле Бернулли (q = 1 – p):
| Pn;m = Cmn pm qn–m |
| Pn;m = Cmn pm qn |
| Pn;m = Cmn pm–n qm |
| Pn;m = Cmn pn qm |
Коэффициент корреляции двух случайных величин X и Y принимает значения:
| на полуинтервале [1; ∞) |
| на отрезке [–1; 1] |
| на интервале (–1; 1) |
| на интервале (–∞; 1) |
При каком значении линейного коэффициента корреляции между признаками связь можно считать самой сильной:
| 0,111 |
| 0,645 |
| 0,434 |
| –0,981 |
Дисперсия случайной величины X определяется формулой:
| D(X) = M(X + M(X))2 |
| D(X) = M(X – M(X))2 |
| D(X) = M(X + M(X)) |
| D(X) = M(X – M(X)) |
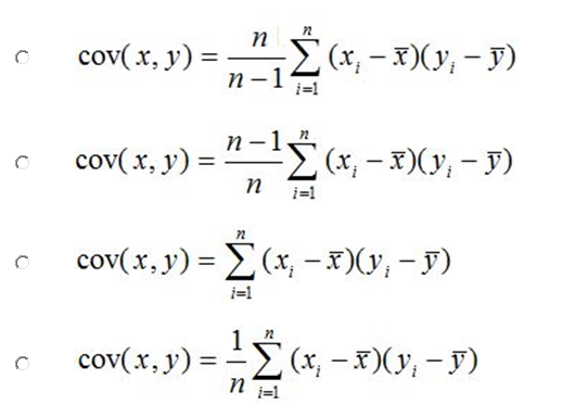
Ковариация между выборками x = (x1, x2,…xn) и y = (y1, y2,…,yn), вычисляется по формуле:
| |
| |
| |
| |
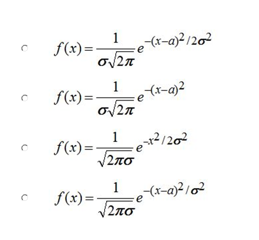
Нормальным (гауссовым) распределением вероятностей непрерывной случайной величины X называется распределение с плотностью вероятностей:
| |
| |
| |
| |
Плотность равномерного распределения дана формулой:
f(x) = 1/(b – a), если a ≤ x ≤ b, f(x) = 0, если x < 0 и x > b.
Тогда математическое ожидание случайной величины с таким распределением равно:
| (а + b)/4 |
| (а – b)/2 |
| (а – b)/4 |
| (а + b)/2 |
Характеристики ответов (шпаргалок) к экзамену
Список файлов

Комментарии
