Для студентов МГТУ им. Н.Э.Баумана по предмету Теория упругостиИсследование деформированного состоянияИсследование деформированного состояния
5,005151
2022-11-032022-11-03СтудИзба
ДЗ 1: Исследование деформированного состояния вариант 12
Описание
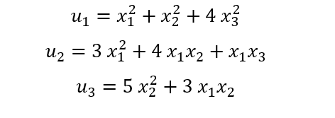
Для заданного поля перемещения

в точке A(1,1,0)
определим:
а) компоненты полного тензора деформаций;
б) собственные числа тензора деформаций и главные направления.в) относительное удлинение в точке А в направлении r.
Характеристики домашнего задания
Предмет
Учебное заведение
Семестр
Номер задания
Вариант
Просмотров
22
Размер
438,22 Kb
Список файлов
1.docx
1.xmcd
МГТУ им. Н.Э.Баумана



















