Для студентов КГЭУ по предмету Теория систем и системный анализ (ТСиСА)Решение задач математического программированияРешение задач математического программирования
5,0053
2025-10-012025-10-01СтудИзба
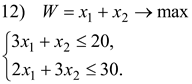
Лабораторная работа: Решение задач математического программирования вариант 12
Новинка
Описание

Отчет содержит только подробное решение со скриншотами.
Характеристики лабораторной работы
Учебное заведение
Вариант
Программы
Просмотров
0
Качество
Идеальное компьютерное
Размер
186,24 Kb
Список файлов
ТСиСА 3.xlsx
ТСиСА Лаб3.docx