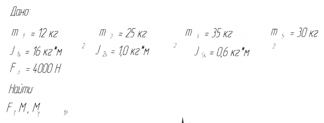
Для студентов МГТУ им. Н.Э.Баумана по предмету Теория механизмов и машин (ТММ)Типовой расчёт 1 и 2, Фи = 45Типовой расчёт 1 и 2, Фи = 45
5,0053
2020-02-032020-02-03СтудИзба
ДЗ: Типовой расчёт 1 и 2, Фи = 45 вариант 1
Описание
Характеристики домашнего задания
Учебное заведение
Семестр
Вариант
Просмотров
193
Качество
Идеальное компьютерное
Размер
279,61 Kb
Список файлов
ДЗ Фи 45
1var_1,2dz_45.dwg
1var_1,2dz_45.frw

Зарабатывай на студизбе! Просто выкладывай то, что так и так делаешь для своей учёбы: ДЗ, шпаргалки, решённые задачи и всё, что тебе пригодилось.
Начать зарабатывать
Начать зарабатывать