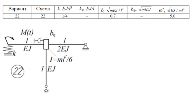
Для студентов МГТУ им. Н.Э.Баумана по предмету Теория колебанийВариант 22 - ДЗ №1 - Колебания линейных систем с одной степенью свободыВариант 22 - ДЗ №1 - Колебания линейных систем с одной степенью свободы
5,0054
2021-10-312021-11-26СтудИзба
ДЗ: Вариант 22 - ДЗ №1 - Колебания линейных систем с одной степенью свободы вариант 22
Описание
Характеристики домашнего задания
Предмет
Учебное заведение
Семестр
Вариант
Просмотров
165
Качество
Идеальное компьютерное
Размер
742,18 Kb
Список файлов
1.1.nb
123.docx
колебф.nb
Вопросы
Вопрос
Практически отсутствуют пояснения, нет кода. Вся работа - вывод результатов, а что откуда взялось и куда пойдёт... ???
МГТУ им. Н.Э.Баумана


















